ệ xem ể chi ti t ế (có l i ờ gi i ả ) SỞ GD&ĐT SƠN LA KỲ THI TUY N Ể SINH VÀO L P Ớ 10 Đ C Ề HÍNH TH C Ứ
TRƯỜNG THPT CHUYÊN, PTDT N I Ộ TRÚ NĂM H C Ọ 2019-2020 Môn thi: TOÁN Ngày thi: 05/6/2019 Câu 1. (3,0 đi m ể ) a) Gi i ả phư ng t ơ
rình :3 x 2 x 36 4x 3y 1 b) Gi i ả h ph ệ ư ng t ơ
rình: x 3y 2 x 2 P
. x 4 (x 0 ; x 4) c) Rút g n bi ọ u t ể h c : ứ x 2 x 2 Câu 2. (1,5 đi m ể ) Trong kỳ thi tuy n s ể inh vào l p 10 năm ớ h c ọ 2019-2020, s t ố hí sinh thi vào 2 trư ng ờ THPT Chuyên b ng ằ
3 số thi sinh thi vào trư ng ờ PTDT N i ộ trú. Bi t ế r ng ằ tổng số phòng thi c a c ủ hai ả a trư ng l ờ
à 80 phòng thi và mỗi phòng thi có đúng 24 thí sinh. H i ỏ s t ố hí sinh vào m i ỗ trư ng ờ b ng bao nhi ằ êu ? Câu 3. (1,5 đi m ể ) Cho Parabol P 2
: y x và đư ng ờ th ng ẳ
d y m 2 : 2
1 x m 2m (mlà tham số, m ) a) Xác đ nh t ị t ấ cả các giá tr c ị a ủ m đ đ ể ư ng ờ th ng ẳ d đi qua đi m ể I 1;3 b) Tìm m đ par ể abol P c t ắ đư ng ờ th ng ẳ d t i ạ hai đi m ể phân bi t ệ , A . B 2 2 G i ọ x , x , A B,
x x 6x x 2 020 1 2 là hoành đ hai ộ đi m ể tìm m sao cho 1 2 1 2 Câu 4. (3,0 đi m ể ) Cho đư ng t ờ ròn (O) đư ng kí ờ nh AB 2 R và C là m t ộ đi m ể n m ằ trên đư ng
ờ tròn sao cho CA C . B G i ọ I là trung đi m ể c a ủ O , A vẽ đư ng ờ th ng ẳ d vuông góc v i ớ AB t i ạ I, d c t ắ BC t i ạ M và c t ắ đo n ạ AC t i ạ P, AM c t ắ đư ng ờ tròn (O) t i ạ đi m ể th hai ứ K a) Ch ng ứ minh t gi ứ ác BPCI n i ộ ti p đ ế ư c t ợ rong m t ộ đư ng t ờ ròn. b) Ch ng ứ minh ba đi m
ể B, P, K th ng hàng ẳ c) Các ti p t ế uy n t ế i ạ A và C c a đ ủ ư ng ờ tròn O c t ắ nhau t i ạ Q, bi t ế BC . R Tính đ dài ộ
BK và diện tích t gi ứ ác QAIM theo R. M i
ọ thắc mắc vui lòng xin liên hệ hotline: 084 283 45 85
ệ xem ể chi ti t ế (có l i ờ gi i ả ) Câu 5. (1,0 đi m ể ) Gi i ả phư ng t ơ rình: 3 x x 3 x ĐÁP ÁN Câu 1.
a) 3 x 2 x 36 3x 6 x 36 2x 3 0 x 1 5 3 x 3 4x 3y 1 x 1 4x 1 x 3y 2 y y 1 b) 3 V y ậ h ph ệ ư ng t ơ rình có nghi m ệ duy nh t ấ ; x y 1; 1 x 2 x 0 c)P . x 4 x 2 x 2 x 4
x x 2 2 x 2 . x 4
x 2 x 2
x 2 x 2 x 4
. x 4 x 4 x 4 Câu 2. T ng s ổ ố thí sinh d t ự hi: 24.80 1 920 (thí sinh) G i
ọ x, y lần lư t
ợ là thí sinh thi THPT chuyên và PTDT n i ộ trú
(0 x y 1920, x, y ) x y 1920 x 768 2 (TM ) x y 0 y 1152 Ta có hệ phư ng ơ trình 3 V y
ậ THPT chuyên: 768 thí sinh, N i ộ trú: 1152 thí sinh Câu 3. x 1 I 1;3 a) Vì d qua y 3 3 2 m 2 1 .1 m 2m 2 3 2
m 2 m 2m m 1 2
m 4m 5 0 m 5 b) Ta có phư ng
ơ trình hoành độ giao đi m ể : M i
ọ thắc mắc vui lòng xin liên hệ hotline: 084 283 45 85
ệ xem ể chi ti t ế (có l i ờ gi i ả ) 2 x 2 m 2
1 x m 2m 2
x 2 m 2
1 x m 2m 0 (1) Để (d) c t ắ P t i ạ hai đi m ể phân bi t ệ thì phư ng ơ trình (1) có hai nghi m ệ phân biệt ' 0 m 2 1 2
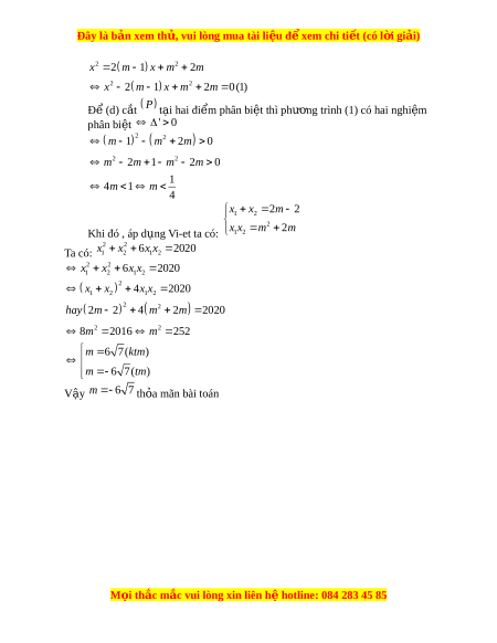
m 2m 0 2 2
m 2m 1 m 2m 0 1
4m 1 m 4 x x 2 m 2 1 2 2 Khi đó , áp d ng ụ Vi-et ta có: x x m 2m 1 2 2 2
Ta có: x x 6x x 2 020 1 2 1 2 2 2
x x 6x x 2020 1 2 1 2
x x 2 4x x 2020 1 2 1 2
hay 2m 22 4 2 m 2m 2020 2 2 8m 2016 m 252 m 6 7(ktm)
m 6 7 (tm) V y ậ m 6 7 th a m ỏ ãn bài toán M i
ọ thắc mắc vui lòng xin liên hệ hotline: 084 283 45 85
ệ xem ể chi ti t ế (có l i ờ gi i ả ) Câu 4.
a) Xét tứ giác BCPI có: 0 0 ACB 9 0 (góc n i ộ ti p ch ế n ắ n a đ ử ư ng ờ tròn) và PIB 9 0 gt Suy ra t gi ứ ác BCPI n i ộ ti p đ ế ư ng ờ tròn đư ng ờ kính BP. b) Xét M AB có:
MI AB và AC MB, suy ra MI, AC là hai đư ng cao. ờ Mà P là giao đi m ể c a ủ
MI, AC. Nên P là tr c t ự âm M . AB Ta l i ạ có: 0 BKA 9 0 (góc n i ộ ti p ch ế n n ắ a ử đư ng t ờ ròn).
Nên BK MA BK là đư ng cao ờ th 3 t ứ rong tam giác MA .
B Do đó BK đi qua đi m
ể P hay B, P, K th ng ẳ hàng.
c) Ta có: AQ / /MI (do cùng vuông góc v i
ớ AB) nên QAIM là hình thang vuông
BC R nên O BC đ u. D ề o đó: 0 ABC 6 0 M i
ọ thắc mắc vui lòng xin liên hệ hotline: 084 283 45 85
Đề thi vào 10 môn Toán tỉnh Sơn La năm 2020
559
280 lượt tải
MUA NGAY ĐỂ XEM TOÀN BỘ TÀI LIỆU
CÁCH MUA:
- B1: Gửi phí vào TK:
1133836868- CT TNHH DAU TU VA DV GD VIETJACK - Ngân hàng MB (QR) - B2: Nhắn tin tới Zalo VietJack Official ( nhấn vào đây ) để xác nhận thanh toán và tải tài liệu - giáo án
Liên hệ ngay Hotline hỗ trợ: 084 283 45 85
Đề thi được cập nhật liên tục trong gói này từ nay đến hết tháng 6/2023. Chúng tôi đảm bảo đủ số lượng đề đã cam kết hoặc có thể nhiều hơn, tất cả có BẢN WORD, LỜI GIẢI CHI TIẾT và tải về dễ dàng.
Để tải tài liệu gốc về máy bạn click vào nút Tải Xuống ở trên!
Thuộc bộ (mua theo bộ để tiết kiệm hơn):
- Tailieugiaovien.com.vn giới thiệu bộ 63 đề thi vào 10 môn Toán hệ không chuyên năm 2020 nhằm giúp Giáo viên có thêm tài liệu tham khảo đề luyện thi Toán ôn luyện
- File word có lời giải chi tiết 100%.
- Mua trọn bộ sẽ tiết kiệm hơn tải lẻ 50%.
Đánh giá
4.6 / 5(559 )5
4
3
2
1
Trọng Bình
Tài liệu hay
Giúp ích cho tôi rất nhiều
Duy Trần
Tài liệu chuẩn
Rất thích tài liệu bên VJ soạn (bám sát chương trình dạy)
TÀI LIỆU BỘ BÁN CHẠY MÔN Toán Học
Xem thêmTÀI LIỆU BỘ BÁN CHẠY Ôn vào 10
Xem thêmTài liệu bộ mới nhất

Đây là b nả xem thử, vui lòng mua tài li u đ xem chi ti t (có l i gi i)ệ ể ế ờ ả
S GD&ĐT S N LAỞ Ơ
Đ CHÍNH TH CỀ Ứ
KỲ THI TUY N SINH VÀO L P 10Ể Ớ
TR NG THPT CHUYÊN, PTDT N I TRÚƯỜ Ộ
NĂM H C 2019-2020Ọ
Môn thi: TOÁN
Ngày thi: 05/6/2019
Câu 1. (3,0 đi m)ể
a) Gi i ph ng trình :ả ươ
3 2 36x x
b) Gi i h ph ng trình: ả ệ ươ
4 3 1
3 2
x y
x y
c) Rút g n bi u th c : ọ ể ứ
2
. 4 ( 0; 4)
2 2
x
P x x x
x x
Câu 2. (1,5 đi m)ể
Trong kỳ thi tuy n sinh vào l p 10 năm h c 2019-2020, s thí sinh thi vào ể ớ ọ ố
tr ng THPT Chuyên b ng ườ ằ
2
3
s thi sinh thi vào tr ng ố ườ
PTDT
N i trú. Bi t r ngộ ế ằ
t ng s phòng thi c a c haia tr ng là 80 phòng thi và m i phòng thi có đúng ổ ố ủ ả ườ ỗ
24 thí sinh. H i s thí sinh vào m i tr ng b ng bao nhiêu ?ỏ ố ỗ ườ ằ
Câu 3. (1,5 đi m)ể
Cho Parabol
2
:P y x
và đ ng th ng ườ ẳ
2
: 2 1 2d y m x m m
(
m
là
tham s , ố
)m
a) Xác đ nh t t c các giá tr c a ị ấ ả ị ủ
m
đ đ ng th ng ể ườ ẳ
d
đi qua đi m ể
1;3I
b) Tìm
m
đ parabol ể
P
c t đ ng th ng ắ ườ ẳ
d
t i hai đi m phân bi t ạ ể ệ
, .A B
G i ọ
1 2
,x x
là hoành đ hai đi m ộ ể
, ,A B
tìm
m
sao cho
2 2
1 2 1 2
6 2020x x x x
Câu 4. (3,0 đi m)ể
Cho đ ng tròn (O) đ ng kính ườ ườ
2AB R
và C là m t đi m n m trên ộ ể ằ
đ ng tròn sao cho ườ
.CA CB
G i I là trung đi m c a ọ ể ủ
,OA
v đ ng th ng ẽ ườ ẳ
d
vuông góc v i ớ
AB
t i I, d c t ạ ắ
BC
t i M và c t đo n AC t i P, AM c t đ ng ạ ắ ạ ạ ắ ườ
tròn (O) t i đi m th hai Kạ ể ứ
a) Ch ng minh t giác BPCI n i ti p đ c trong m t đ ng tròn.ứ ứ ộ ế ượ ộ ườ
b) Ch ng minh ba đi m ứ ể
, ,B P K
th ng hàngẳ
c) Các ti p tuy n t i A và C c a đ ng tròn ế ế ạ ủ ườ
O
c t nhau t i Q, bi t ắ ạ ế
.BC R
Tính đ dài ộ
BK
và di n tích t giác ệ ứ
QAIM
theo R.
M iọ th c m c vui lòng xin liên hắ ắ ệ hotline: 084 283 45 85

Đây là b nả xem thử, vui lòng mua tài li u đ xem chi ti t (có l i gi i)ệ ể ế ờ ả
Câu 5. (1,0 đi m)ể
Gi i ph ng trình: ả ươ
3 3x x x
ĐÁP ÁN
Câu 1.
a)
3 2 36 3 6 36 2 30 15x x x x x x
b)
3 3
4 3 1 1
4 1
3 2 1
3
x
x y x
x
x y y
y
V y h ph ng trình có nghi m duy nh t ậ ệ ươ ệ ấ
; 1;1x y
0
2
) . 4
4
2 2
2 2 2
. 4
2 2
2 2 4
. 4 4
4
x
x
c P x
x
x x
x x x
x
x x
x x x
x x
x
Câu 2.
T ng s thí sinh d thi: ổ ố ự
24.80 1920
(thí sinh)
G i ọ
,x y
l n l t là thí sinh thi THPT chuyên và PTDT n i trúầ ượ ộ
(0 1920, , )x y x y
Ta có h ph ng trình ệ ươ
1920
768
( )
2
1152
0
3
x y
x
TM
y
x y
V y THPT chuyên: 768 thí sinh, N i trú: 1152 thí sinhậ ộ
Câu 3.
a) Vì
d
qua
1
1;3
3
x
I
y
2
2
2
3 2 1 .1 2
3 2 2 2
1
4 5 0
5
m m m
m m m
m
m m
m
b) Ta có ph ng trình hoành đ giao đi m:ươ ộ ể
M iọ th c m c vui lòng xin liên hắ ắ ệ hotline: 084 283 45 85

Đây là b nả xem thử, vui lòng mua tài li u đ xem chi ti t (có l i gi i)ệ ể ế ờ ả
2 2
2 2
2 1 2
2 1 2 0 (1)
x m x m m
x m x m m
Đ (d) c t ể ắ
P
t i hai đi m phân bi t thì ph ng trình (1) có hai nghi m ạ ể ệ ươ ệ
phân bi t ệ
' 0
2
2
2 2
1 2 0
2 1 2 0
1
4 1
4
m m m
m m m m
m m
Khi đó , áp d ng Vi-et ta có: ụ
1 2
2
1 2
2 2
2
x x m
x x m m
Ta có:
2 2
1 2 1 2
6 2020x x x x
2 2
1 2 1 2
2
1 2 1 2
2
2
2 2
6 2020
4 2020
2 2 4 2 2020
8 2016 252
6 7( )
6 7( )
x x x x
x x x x
hay m m m
m m
m ktm
m tm
V y ậ
6 7m
th a mãn bài toánỏ
M iọ th c m c vui lòng xin liên hắ ắ ệ hotline: 084 283 45 85

Đây là b nả xem thử, vui lòng mua tài li u đ xem chi ti t (có l i gi i)ệ ể ế ờ ả
Câu 4.
a) Xét t giác ứ
BCPI
có:
0
90ACB
(góc n i ti p ch n n a đ ng tròn) và ộ ế ắ ử ườ
0
90PIB gt
Suy ra t giác ứ
BCPI
n i ti p đ ng tròn đ ng kính BP.ộ ế ườ ườ
b) Xét
MAB
có:
MI AB
và
,AC MB
suy ra
,MI AC
là hai đ ng cao. Mà ườ
P
là giao đi m c a ể ủ
MI, AC. Nên
P
là tr c tâm ự
.MAB
Ta l i có: ạ
0
90BKA
(góc n i ti p ch n n a đ ng tròn).ộ ế ắ ử ườ
Nên
BK MA BK
là đ ng cao th 3 trong tam giác ườ ứ
.MAB
Do đó
BK
đi qua
đi m P hay ể
, ,B P K
th ng hàng.ẳ
c) Ta có:
/ /AQ MI
(do cùng vuông góc v i ớ
)AB
nên
QAIM
là hình thang
vuông
BC R
nên
OBC
đ u. Do đó: ề
0
60ABC
M iọ th c m c vui lòng xin liên hắ ắ ệ hotline: 084 283 45 85

Đây là b nả xem thử, vui lòng mua tài li u đ xem chi ti t (có l i gi i)ệ ể ế ờ ả
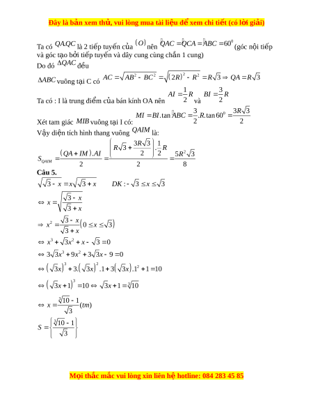
Ta có
.QA QC
là 2 ti p tuy n c a ế ế ủ
O
nên
0
60QAC QCA ABC
(góc n i ti p ộ ế
và góc t o b i ti p tuy n và dây cung cùng ch n 1 cung)ạ ở ế ế ắ
Do đó
QAC
đ u ề
ABC
vuông t i C có ạ
2
2 2 2
2 3 3AC AB BC R R R QA R
Ta có : I là trung đi m c a bán kính OA nên ể ủ
1
2
AI R
và
3
2
BI R
Xét tam giác
MIB
vuông t i I có: ạ
0
3 3 3
.tan . .tan 60
2 2
R
MI BI ABC R
V y di n tích hình thang vuông ậ ệ
QAIM
là:
2
3 3 1
3 .
2 2
.
5 3
2 2 8
QAIM
R
R R
QA IM AI
R
S
Câu 5.
2
3 2
3 2
3 2
2
3
3
3
3
3 3 : 3 3
3
3
3
0 3
3
3 3 0
3 3 9 3 3 9 0
3 3. 3 .1 3 3 .1 1 10
3 1 10 3 1 10
10 1
( )
3
10 1
3
x x x DK x
x
x
x
x
x x
x
x x x
x x x
x x x
x x
x tm
S
M iọ th c m c vui lòng xin liên hắ ắ ệ hotline: 084 283 45 85
