ệ xem ể chi ti t ế (có l i ờ gi i ả ) SỞ GIÁO D C Ụ VÀ ĐÀO T O Ạ Đ Ề THI TUY N Ể SINH L P Ớ 10 THPT THÁI BÌNH NĂM HỌC 2019-2020 Môn: TOÁN Đ C Ề HÍNH TH C Ứ Th i
ờ gian làm bài: 120 phút (không k gi ể ao đ ) ề Câu 1. (2,0 đi m ể ) x x 1 1 x 2 x 1 A B (x 0 , x 1 ) Cho x 1 và
x 1 x x 1 x x 1 a) Tính giá tr c ị a ủ bi u ể th c ứ A khi x 2 b) Rút g n bi ọ u t ể h c ứ B
c) Tìm x sao cho bi u t ể h c ứ C . A B nh n gi ậ á tr l ị à s nguyên. ố Câu 2. (2,0 đi m ể ) 4x y 3 a) Gi i ả h ph ệ ư ng t ơ rình 2x y 1 (không sử d ng m ụ áy tính c m ầ tay) b) M t ộ m nh v ả ư n ờ hình ch nh ữ t ậ có di n t ệ ích 2 150m . Bi t ế r ng, chi ằ u dài ề m nh ả vư n ờ h n chi ơ u r ề ng m ộ nh v ả ư n ờ là 5 . m Tính chi u r ề ng m ộ nh ả vư n. ờ Câu 3. (2,0 đi m ể ) Cho hàm số y
m 4 x m 4 (m là tham số) a) Tìm m đ hàm ể số đã cho là hàm s b ố c ậ nh t ấ đ ng bi ồ n t ế rên . b) Ch ng ứ minh r ng v ằ i ớ m i ọ giá tr c ị a
ủ m thì đồ thi hàm s đã ố cho luôn c t ắ parabol P 2 : y x t i ạ hai đi m ể phân bi t ệ . G i ọ x , x 1 2 là hoành đ các ộ giao đi m ể , tìm m
sao cho x x 1 x x 1 1 8 1 1 2 2 c) G i ọ đồ th hàm ị s đã cho l ố à đư ng t ờ h ng ẳ d .Ch ng ứ minh kho ng cách ả t ừ đi m ể O 0;0 đ n
ế d không l n h ớ n ơ 65 Câu 4. (3,5 đi m ể ) Cho đư ng t ờ ròn tâm O đư ng kí ờ nh A .
B Kẻ dây cung CD vuông góc v i ớ AB t i ạ H (H n m ằ gi a
ữ A và O, H khác A và O). L y đi ấ m ể G thu c ộ đo n
ạ CH (G khác C và H), tia AG c t ắ đư ng t ờ ròn t i ạ E khác A a) Ch ng ứ minh t gi ứ ác BEGH là t gi ứ ác n i ộ ti p ế b) G i ọ K là giao đi m ể c a hai ủ đư ng ờ th ng ẳ BE và CD. Ch ng
ứ minh KC.KD KE .KB c) Đo n ạ th ng ẳ AK c t ắ đư ng ờ tròn tâm O t i ạ F khác A. Ch ng ứ minh G là tâm đư ng t ờ ròn n i ộ ti p t ế am giác HEF d) G i
ọ M , N lần lư t
ợ là hình chi u vuông góc c ế a ủ A và B lên đư ng t ờ h ng ẳ EF.Ch ng ứ minh HE HF M N. Câu 5. (0,5 đi m ể ) M i
ọ thắc mắc vui lòng xin liên hệ hotline: 084 283 45 85
ệ xem ể chi ti t ế (có l i ờ gi i ả )
Cho a,b,c là các số th c ự dư ng t ơ h a
ỏ mãn: a b c ab bc ca 6 3 3 3 a b c 3 Ch ng ứ minh r ng: ằ b c a ĐÁP ÁN Câu 1. a) Đi u ki ề ện x 0 , x 1 Khi x 2
(tmdk) ta thay vào bi u t ể h c ứ A ta đư c: ợ 3 2 2 1 2 2 1 3 2 3 2 3 2 2 A 2 2 1 2 1 2 1 2 1 2 1 2 1 b) Đi u ki ề ện: x 0 , x 1 1 x 2 x 1 B
x 1 x x 1 x x 1
x x 1 x 2 x 1 x 1 x x
x 1 x x 1
x 1 x x 1 x 1 x x
x 1 x x 1 x x 1 c) Đi u ki ề ện : x 0 , x 1 Ta có: x x 1 x x x 1 1 1 C . A B C . 1 x 1 x x 1 x 1 x 1 x 1 x C 0 x 1 x 0 , x 1 x 1 0 0 C 1 x 1 C 1 1 V i ớ x 1 x 1 x
C C 0 0 x 0 x 0 tm x 1 V y ậ x 0 thì C . A B nh n gi ậ á trị nguyên Câu 2. M i
ọ thắc mắc vui lòng xin liên hệ hotline: 084 283 45 85
ệ xem ể chi ti t ế (có l i ờ gi i ả ) 2 2 x x 4x y 3 6x 4 3 3 a) 2x y 1 2x y 1 2 1 2. y 1 y 3 3 2 1 ; x y ; V y ậ h ph ệ ư ng t ơ rình có nghi m ệ duy nh t ấ 3 3 b) G i ọ chi u r ề ng m ộ nh ả vư n hì ờ nh ch nh ữ t
ậ là x m x 0 Khi đó chi u ề dài m nh v ả ư n l
ờ à x 5 m Di n t ệ ích m nh ả vư n l
ờ à: x 5 m Di n t ệ ích m nh ả vư n hì ờ nh ch nh ữ t ậ là 2
150m nên ta có phư ng ơ trình:
x x 5 150 2
x 5x 150 0 2
x 15x 10x 150 0
x x 15 10 x 15 0
x 10 x 15 0 x 10( tm)
x 15(ktm) V y ậ chi u r ề ng c ộ a m ủ nh ả vư n l ờ à 10m Câu 3.
a) Hàm số đã cho là hàm số b c ậ nh t ấ đ ng bi ồ n t ế rên khi m 4 0 m 4 m 4 m 4 0 m 4 b) G i ọ đồ th hàm ị s ố y
m 4 x m 4 là đư ng ờ th ng ẳ d Xét phư ng
ơ trình hoành độ giao đi m ể c a ( ủ d) và (P): 2 x m 2
4 x m 4 x m 4 x m 4 0( *) Số giao đi m ể c a ( ủ d) và (P) đ ng t ồ h i ờ cũng là s nghi ố m ệ c a ph ủ ư ng t ơ rình (*) Có các h s ệ ố a 1
,b m 4 ,c m 4 Ta có: m
2 m m m m m m m 2 2 2 4 4 4 8 16 4 16 4 4 28 2 28 Ta có: 0 m Nên (d) c t ắ (P) t i ạ hai đi m ể phân bi t ệ . M i
ọ thắc mắc vui lòng xin liên hệ hotline: 084 283 45 85
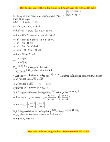
ệ xem ể chi ti t ế (có l i ờ gi i ả ) x x m 4 1 2 Áp d ng ụ h t ệ h c ứ Vi et cho phư ng t ơ
rình (*) ta có: x x m 4 1 2 Theo đ r ề a ta có:
x x 1 x x 1 1 8 1 1 2 2 2 2
x x x x 18 0 1 1 2 2 2 2
x x 2x x x x 18 0 1 2 1 2 1 2
m 4 2 2 m 4 m 4 18 0 2
m 8m 16 2m 8 m 4 18 0 2
m 7m 10 0 2
m 2m 5m 10 0
m m 2 5 m 2 0
m 2 m 5 0 m 2( tm) m 5 (tm) V y ậ m 2; 5 th a gi ỏ á trị bài toán
c) Ta có: d : y
m 4 x m 4 +)Xét TH: m 4 0 m 4
ta có: d : y 8 là đư ng t ờ h ng ẳ song song v i ớ tr c ụ hoành
d O, d 8 64 65
d O, d 65 vs m 4 +)Xét TH: m 4 0 m 4 ta có: Goi A là giao đi m ể c a ủ đư ng t ờ h ng ẳ d v i ớ tr c
ụ Ox A x ;0 A m 4 m 4
0 m 4 x m 4 x A ,0 A A m 4 m 4 m 4 m 4
OA xA m 4 m 4 G i ọ B là giao đi m ể c a ủ đư ng t ờ h ng ẳ d v i ớ tr c
ụ Oy B 0; yB y m m m B m B 4 .0 4 4 0; 4
OB y m 4 B M i
ọ thắc mắc vui lòng xin liên hệ hotline: 084 283 45 85
Đề thi vào 10 môn Toán tỉnh Thái Bình năm 2020
532
266 lượt tải
MUA NGAY ĐỂ XEM TOÀN BỘ TÀI LIỆU
CÁCH MUA:
- B1: Gửi phí vào TK:
1133836868- CT TNHH DAU TU VA DV GD VIETJACK - Ngân hàng MB (QR) - B2: Nhắn tin tới Zalo VietJack Official ( nhấn vào đây ) để xác nhận thanh toán và tải tài liệu - giáo án
Liên hệ ngay Hotline hỗ trợ: 084 283 45 85
Đề thi được cập nhật liên tục trong gói này từ nay đến hết tháng 6/2023. Chúng tôi đảm bảo đủ số lượng đề đã cam kết hoặc có thể nhiều hơn, tất cả có BẢN WORD, LỜI GIẢI CHI TIẾT và tải về dễ dàng.
Để tải tài liệu gốc về máy bạn click vào nút Tải Xuống ở trên!
Thuộc bộ (mua theo bộ để tiết kiệm hơn):
- Tailieugiaovien.com.vn giới thiệu bộ 63 đề thi vào 10 môn Toán hệ không chuyên năm 2020 nhằm giúp Giáo viên có thêm tài liệu tham khảo đề luyện thi Toán ôn luyện
- File word có lời giải chi tiết 100%.
- Mua trọn bộ sẽ tiết kiệm hơn tải lẻ 50%.
Đánh giá
4.6 / 5(532 )5
4
3
2
1
Trọng Bình
Tài liệu hay
Giúp ích cho tôi rất nhiều
Duy Trần
Tài liệu chuẩn
Rất thích tài liệu bên VJ soạn (bám sát chương trình dạy)
TÀI LIỆU BỘ BÁN CHẠY MÔN Toán Học
Xem thêmTÀI LIỆU BỘ BÁN CHẠY Ôn vào 10
Xem thêmTài liệu bộ mới nhất

Đây là b nả xem thử, vui lòng mua tài li u đ xem chi ti t (có l i gi i)ệ ể ế ờ ả
S GIÁO D C VÀ ĐÀO T OỞ Ụ Ạ
THÁI BÌNH
Đ CHÍNH TH CỀ Ứ
Đ THI TUY N SINH L P 10 THPT Ề Ể Ớ
NĂM H C 2019-2020Ọ
Môn: TOÁN
Th i gian làm bài: 120 phút (không k giao đ )ờ ể ề
Câu 1. (2,0 đi m)ể
Cho
1
1
x x
A
x
và
1 2 1
( 0, 1)
1 1 1
x x
B x x
x x x x x
a) Tính giá tr c a bi u th c A khi ị ủ ể ứ
2x
b) Rút g n bi u th c ọ ể ứ
B
c) Tìm
x
sao cho bi u th c ể ứ
.C A B
nh n giá tr là s nguyên.ậ ị ố
Câu 2. (2,0 đi m)ể
a) Gi i h ph ng trình ả ệ ươ
4 3
2 1
x y
x y
(không s d ng máy tính c m tay)ử ụ ầ
b) M t m nh v n hình ch nh t có di n tích ộ ả ườ ữ ậ ệ
2
150m
. Bi t r ng, chi u dài m nh ế ằ ề ả
v n h n chi u r ng m nh v n là ườ ơ ề ộ ả ườ
5 .m
Tính chi u r ng m nh v n.ề ộ ả ườ
Câu 3. (2,0 đi m)ể
Cho hàm s ố
4 4y m x m
(
m
là tham s )ố
a) Tìm
m
đ hàm s đã cho là hàm s b c nh t đ ng bi n trên ể ố ố ậ ấ ồ ế
.
b) Ch ng minh r ng v i m i giá tr c a ứ ằ ớ ọ ị ủ
m
thì đ thi hàm s đã cho luôn c t parabolồ ố ắ
2
:P y x
t i hai đi m phân bi t. G i ạ ể ệ ọ
1 2
,x x
là hoành đ các giao đi m, tìm ộ ể
m
sao cho
1 1 2 2
1 1 18x x x x
c) G i đ th hàm s đã cho là đ ng th ng ọ ồ ị ố ườ ẳ
.d
Ch ng minh kho ng cách t ứ ả ừ
đi m ể
0;0O
đ n ế
d
không l n h n ớ ơ
65
Câu 4. (3,5 đi m)ể
Cho đ ng tròn tâm ườ
O
đ ng kính ườ
.AB
K dây cung ẻ
CD
vuông góc v i ớ
AB
t i Hạ
(H n m gi a ằ ữ
A
và O, H khác A và O). L y đi m G thu c đo n ấ ể ộ ạ
(CH G
khác C và H), tia
AG c t đ ng tròn t i E khác Aắ ườ ạ
a) Ch ng minh t giác ứ ứ
BEGH
là t giác n i ti pứ ộ ế
b) G i K là giao đi m c a hai đ ng th ng ọ ể ủ ườ ẳ
BE
và CD. Ch ng minh ứ
. .KC KD KE KB
c) Đo n th ng AK c t đ ng tròn tâm O t i F khác A. Ch ng minh G là tâm đ ng tròn ạ ẳ ắ ườ ạ ứ ườ
n i ti p tam giác ộ ế
HEF
d) G i ọ
,M N
l n l t là hình chi u vuông góc c a A và B lên đ ng th ng ầ ượ ế ủ ườ ẳ
.EF
Ch ng ứ
minh
.HE HF MN
Câu 5. (0,5 đi m)ể
M iọ th c m c vui lòng xin liên hắ ắ ệ hotline: 084 283 45 85

Đây là b nả xem thử, vui lòng mua tài li u đ xem chi ti t (có l i gi i)ệ ể ế ờ ả
Cho
, ,a b c
là các s th c d ng th a mãn: ố ự ươ ỏ
6a b c ab bc ca
Ch ng minh r ng: ứ ằ
3 3 3
3
a b c
b c a
ĐÁP ÁN
Câu 1.
a) Đi u ki n ề ệ
0, 1x x
Khi
2( )x tmdk
ta thay vào bi u th c A ta đ c:ể ứ ượ
3 2 2 1
2 2 1 3 2 3 2 3 2 2
2 2 1
2 1
2 1 2 1
2 1 2 1
A
b) Đi u ki n: ề ệ
0, 1x x
1 2 1
1 1 1
1 2 1 1
1 1 1 1
1
1
1 1
x x
B
x x x x x
x x x x x
x x
x x x x x x
x x
x
x x
x x x
c) Đi u ki n : ề ệ
0, 1x x
Ta có:
1 1 1 1
. . 1
1 1 1 1 1
x x x x x
C A B C
x x x x x x
V i ớ
0
1
0, 1 1 0 0 1
1
1 1
1 1
x
C
x
x x x C
x
C
x x
0 0 0 0
1
x
C C x x t m
x
V y ậ
0x
thì
.C A B
nh n giá tr nguyênậ ị
Câu 2.
M iọ th c m c vui lòng xin liên hắ ắ ệ hotline: 084 283 45 85

Đây là b nả xem thử, vui lòng mua tài li u đ xem chi ti t (có l i gi i)ệ ể ế ờ ả
2 2
4 3 6 4
3 3
)
2 1 2 1 2 1
2. 1
3 3
x x
x y x
a
x y x y
y y
V y h ph ng trình có nghi m duy nh t ậ ệ ươ ệ ấ
2 1
; ;
3 3
x y
b) G i chi u r ng m nh v n hình ch nh t là ọ ề ộ ả ườ ữ ậ
0x m x
Khi đó chi u dài m nh v n là ề ả ườ
5x m
Di n tích m nh v n là: ệ ả ườ
5x m
Di n tích m nh v n hình ch nh t là ệ ả ườ ữ ậ
2
150m
nên ta có ph ng trình:ươ
2
2
5 150
5 150 0
15 10 150 0
15 10 15 0
10 15 0
10( )
15( )
x x
x x
x x x
x x x
x x
x tm
x kt m
V y chi u r ng c a m nh v n là ậ ề ộ ủ ả ườ
10m
Câu 3.
a) Hàm s đã cho là hàm s b c nh t đ ng bi n trên ố ố ậ ấ ồ ế
khi
4 0 4
4
4 0 4
m m
m
m m
b) G i đ th hàm s ọ ồ ị ố
4 4y m x m
là đ ng th ng ườ ẳ
d
Xét ph ng trình hoành đ giao đi m c a (d) và (P):ươ ộ ể ủ
2 2
4 4 4 4 0(*)x m x m x m x m
S giao đi m c a (d) và (P) đ ng th i cũng là s nghi m c a ph ng trình (*)ố ể ủ ồ ờ ố ệ ủ ươ
Có các h s ệ ố
1, 4 , 4a b m c m
Ta có:
2 2
2 2
4 4 4 8 16 4 16 4 4 28 2 28m m m m m m m m
Ta có:
0 m
Nên (d) c t (P) t i hai đi m phân bi t.ắ ạ ể ệ
M iọ th c m c vui lòng xin liên hắ ắ ệ hotline: 084 283 45 85

Đây là b nả xem thử, vui lòng mua tài li u đ xem chi ti t (có l i gi i)ệ ể ế ờ ả
Áp d ng h th c Vi et cho ph ng trình (*) ta có: ụ ệ ứ ươ
1 2
1 2
4
4
x x m
x x m
Theo đ ra ta có:ề
1 1 2 2
2 2
1 1 2 2
2 2
1 2 1 2 1 2
1 1 18
18 0
2 18 0
x x x x
x x x x
x x x x x x
2
2
4 2 4 4 18 0
8 16 2 8 4 18 0
m m m
m m m m
2
7 10 0m m
2
2 5 10 0
2 5 2 0
2 5 0
2( )
5( )
m m m
m m m
m m
m t m
m tm
V y ậ
2;5m
th a giá tr bài toánỏ ị
c) Ta có:
: 4 4d y m x m
+)Xét TH:
4 0 4m m
ta có:
: 8d y
là đ ng th ng song song v i tr c hoànhườ ẳ ớ ụ
, 8 64 65
, 65 4
d O d
d O d vs m
+)Xét TH:
4 0 4m m
ta có:
Goi
A
là giao đi m c a đ ng th ng ể ủ ườ ẳ
d
v i tr c Ox ớ ụ
;0
A
A x
4 4
0 4 4 ,0
4 4
4 4
4 4
A A
A
m m
m x m x A
m m
m m
OA x
m m
G i B là giao đi m c a đ ng th ng ọ ể ủ ườ ẳ
d
v i tr c ớ ụ
0;
B
Oy B y
4 .0 4 4 0; 4
4
B
B
y m m m B m
OB y m
M iọ th c m c vui lòng xin liên hắ ắ ệ hotline: 084 283 45 85

Đây là b nả xem thử, vui lòng mua tài li u đ xem chi ti t (có l i gi i)ệ ể ế ờ ả
Áp d ng h th c l ng cho ụ ệ ứ ượ
OAB
vuông t i O có đ ng cao OH ta có:ạ ườ
2 2
2 2 2
1 1 1 1 1
44
4
OH OA OB
mm
m
2 2 2
2
2 2 2 2
2
4 4 1 4
1 1
4 4 4 4 1
m m m
OH
OH
m m m m
Gi s kho ng cách t O đ n đ ng th ng ả ử ả ừ ế ườ ẳ
d
không l n h nớ ơ
65 ; 65d O d
2
2
2
2 2 2
2 2
2
2
65 65
4
65
4 1
4 65 4 1 ( 4 1 0)
8 16 65 520 1105
64 528 1089 0
8 33 0
OH OH
m
m
m m do m
m m m m
m m
m
Ta có:
2
2
8 33 0 65 , 65m m OH m d O d OH
,d O d
không l n ớ
65
v i m i ớ ọ
4m
M iọ th c m c vui lòng xin liên hắ ắ ệ hotline: 084 283 45 85
