UBND T N Ỉ H THÁI NGUYÊN KỲ THI TUY N Ể SINH L P Ớ 10 NĂM H C Ọ 2020-2021 SỞ GIÁO D C Ụ VÀ ĐÀO T O Ạ
MÔN TOÁN (Dành cho t t c ấ th ả í sinh) Th i
ơ gian làm bài: 120 phút Đ C Ề HÍNH TH C Ứ
Câu 1. Không dùng máy tính c m ầ tay, rút g n bi ọ u t ể h c
ứ A 50 32 2 x y 4
Câu 2. Không dùng máy tính c m ầ tay, gi i ả h ph ệ ư ng
ơ trình: 2x y 5
y f x 3 1 x 1
Câu 3. Cho hàm số b c ậ nh t ấ
a) Hàm số trên là đ ng bi ồ n hay ngh ế ch bi ị n t ế rên ? Vì sao ?
f 0 ; f 3 1 b) Tính các giá tr : ị 2 Câu 4. Tìm t a đ ọ gi ộ ao đi m ể c a ủ hai đ t ồ h hàm ị s
ố y 2x và y x 3 3x 3 x 3 1 x 2 x x 0 P :
x 2 x 1 x 2 x 1 x 1 x 1 Câu 5. Cho bi u t ể h c ứ a) Rút g n bi ọ u t ể h c ứ P b) Tìm giá tr c ị a ủ x đ ể P 0 Câu 6. Ông Minh d đ ự nh đi ị b ng xe m ằ áy t đ ừ a đi ị m ể A đ n đ ế a đi ị m ể B cách nhau 80km trong th i ờ gian đ nh t ị rư c. ớ Khi đi đư c ợ 20k , m t i ạ địa đi m ể C, xe c a ủ ông h ng ỏ nên ông ph i ả d ng l ừ i ạ để s a xe ử mất 10 phút. Sau khi s a ử xe xong, đ đ ể m ả b o t ả h i ờ
gian như đã định, ông Minh tăng v n t
ậ ốc thêm 5km / h trên quãng đư ng ờ đi từ C đ n ế . B Hãy tính v n ậ t c ố xe c a ông ủ
Minh trên quãng đư ng ờ t ừ A đ n ế C
Câu 7. Cho tam giác ABC vuông t i ạ , A đư ng ờ cao AH.Bi t ế AB 3 cm, BC 5 c . m Tính độ dài c nh ạ AC và đư ng ờ cao AH.
Câu 8. Cho hai đư ng t ờ ròn O ;10cm O ;15cm 1 và 2 c t ắ nhau t i ạ hai đi m ể phân bi t ệ Ti p t ế uy n chung ngoài ế AB c t ắ đư ng t ờ h ng ẳ O O
A O , B O . 1 2 1 2 t i ạ đi m ể C v i ớ Tính đ dài ộ đo n ạ th ng ẳ O O CO 40 . cm 1 2 bi t ế 1
Câu 9. Cho tam giác ABC cân t i ạ , A các đư ng cao ờ AM , BN c t ắ nhau t i ạ H.Ch ng ứ minh MN là ti p t ế uy n c ế a ủ đư ng t ờ ròn đư ng kí ờ nh AH
Câu 10. Cho tam giác ABC có ba góc nh n ọ n i ộ ti p đ ế ư ng t ờ
ròn O , các đư ng ờ cao
AD, BE,CF c t ắ nhau t i ạ H.Đư ng ờ th ng ẳ AD c t ắ đư ng t ờ ròn O t i ạ M khác A a) Ch ng
ứ minh tam giác BHM cân
b) G i
ọ P,Q lần lư t ợ là đi m ể đ i ố x ng ứ v i
ớ M qua AB và AC. Ch ng m ứ inh ba đi m ể
P, H ,Q th ng ẳ hàng. ĐÁP ÁN Câu 1. A 50 32 2 5 2 4 2 2 2 2 Câu 2. Ta có: x y 4 3 x 9 x 3 2x y 5 y 4 x y 1 V y ậ h có nghi ệ m ệ duy nh t ấ ; x y 3; 1 Câu 3. a) Đ ng ồ bi n hay ngh ế ch bi ị n ế
y f (x) 3 1 x 1 Xét hàm số
có a 3 1 0 nên hàm số
y f (x)
3 1 x 1đồng bi n t ế rên
b) Tính các giá trị f 0 3 1.0 1 1
y f x 3 1 x 1 f 3 1
3 1. 3 1 1 3 1 1 3 Xét hàm số có: f 3 1 3 V y ậ f 0 1 và Câu 4. Ta có phư ng
ơ trình hoành độ giao đi m ể c a hai ủ đ t ồ h hàm ị s đã cho l ố à : 2 2
2x x 3 2x x 3 0 Phư ng ơ trình có d ng
ạ a b c 2 1 3 0
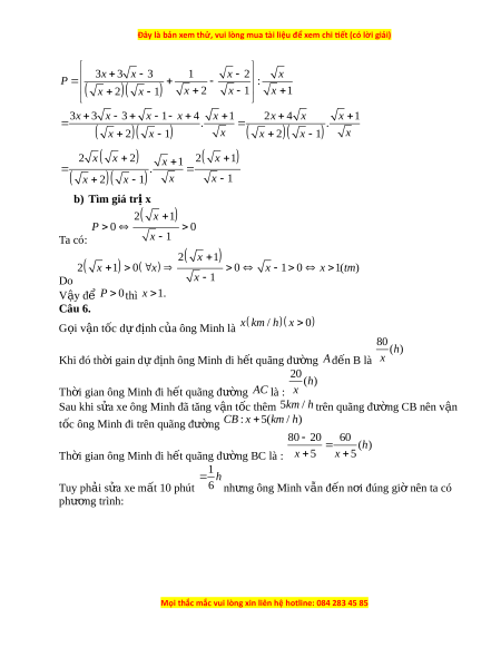
nên có hai nghiệm phân bi t ệ x 1 y 2 3 9 x y 2 2 3 9 1; 2 ; ; V y ậ t a đ ọ gi ộ ao đi m ể là 2 2 Câu 5. a) Rút g n P ọ V i ớ x 0, x 1 ta có:
3x 3 x 3 1 x 2 x P :
x 2 x 1 x 2 x 1 x 1
3x 3 x 3 x 1 x 4 x 1 2x 4 x x 1 . .
x 2 x 1 x
x 2 x 1 x
2 x x 2 2 x x 1 1 .
x 2 x 1 x x 1 b) Tìm giá tr x ị 2 x 1 P 0 0 Ta có: x 1 2 x 1
2 x 1 0 x 0
x 1 0 x 1(tm) Do x 1 V y ậ đ
ể P 0thì x 1. Câu 6. G i ọ v n t ậ ốc d đ ự ịnh c a ông M ủ
inh là x km / h x 0 80 (h) Khi đó th i ờ gain dự đ nh ông M ị inh đi h t ế quãng đư ng ờ A đ n B ế là x 20 (h) Th i ờ gian ông Minh đi h t ế quãng đư ng ờ AC là : x
Sau khi sửa xe ông Minh đã tăng v n t
ậ ốc thêm 5km / h trên quãng đư ng ờ CB nên v n ậ
tốc ông Minh đi trên quãng đư ng
ờ CB : x 5(km / h) 80 20 60 (h) Th i ờ gian ông Minh đi h t ế quãng đư ng B ờ C là : x 5 x 5 1 h Tuy ph i
ả sửa xe mất 10 phút 6 nh ng ông M ư inh vẫn đ n n ế i ơ đúng giờ nên ta có phư ng ơ trình:
80 20 60 1 60 60 1
6.60 x 5 6.60x x x 5 x x x 5 6 x x 5 6 2 2
1800 x 5x x 45x 40x 1800 0
x x 45 40 x 45 0
x 40 x 45 0 x 45 0
x 45(ktm) x 40 0 x 40( tm) V y ậ v n t ậ ốc c a
ủ ông Minh trên quãng đư ng ờ
AC là 40km / h Câu 7. Áp d ng ụ đ nh l ị ý Pytago vào AB C vuông t i ạ A ta có: 2 2 2 2
AC BC AB 5 3 4 cm Áp d ng ụ h t ệ h c ứ lư ng cho ợ AB C vuông t i ạ A có đư ng ờ cao AH ta có: A . B AC 3.4
AH.BC A . B AC AH 2 , 4 cm BC 5 V y ậ AC 4 c , m AH 2 , 4cm Câu 8.
Đề thi vào 10 môn Toán tỉnh Thái Nguyên (Hệ không chuyên) năm 2021
632
316 lượt tải
MUA NGAY ĐỂ XEM TOÀN BỘ TÀI LIỆU
CÁCH MUA:
- B1: Gửi phí vào TK:
1133836868- CT TNHH DAU TU VA DV GD VIETJACK - Ngân hàng MB (QR) - B2: Nhắn tin tới Zalo VietJack Official ( nhấn vào đây ) để xác nhận thanh toán và tải tài liệu - giáo án
Liên hệ ngay Hotline hỗ trợ: 084 283 45 85
Đề thi được cập nhật liên tục trong gói này từ nay đến hết tháng 6/2023. Chúng tôi đảm bảo đủ số lượng đề đã cam kết hoặc có thể nhiều hơn, tất cả có BẢN WORD, LỜI GIẢI CHI TIẾT và tải về dễ dàng.
Để tải tài liệu gốc về máy bạn click vào nút Tải Xuống ở trên!
Thuộc bộ (mua theo bộ để tiết kiệm hơn):
- Tailieugiaovien.com.vn giới thiệu bộ 69 đề thi vào 10 môn Toán hệ không chuyên mới nhất năm 2021 nhằm giúp Giáo viên có thêm tài liệu tham khảo đề luyện thi Toán ôn luyện vào 1
- File word có lời giải chi tiết 100%.
- Mua trọn bộ sẽ tiết kiệm hơn tải lẻ 50%.
Đánh giá
4.6 / 5(632 )5
4
3
2
1
Trọng Bình
Tài liệu hay
Giúp ích cho tôi rất nhiều
Duy Trần
Tài liệu chuẩn
Rất thích tài liệu bên VJ soạn (bám sát chương trình dạy)
TÀI LIỆU BỘ BÁN CHẠY MÔN Toán Học
Xem thêmTÀI LIỆU BỘ BÁN CHẠY Ôn vào 10
Xem thêmTài liệu bộ mới nhất

Đây là bản xem thử, vui lòng mua tài liệu để xem chi ết (có lời giải)
UBND T NH THÁI NGUYÊNỈ
S GIÁO D C VÀ ĐÀO T OỞ Ụ Ạ
Đ CHÍNH TH C Ề Ứ
KỲ THI TUY N SINH L P 10 NĂM H C 2020-2021Ể Ớ Ọ
MÔN TOÁN (Dành cho t t c thí sinh)ấ ả
Th i gian làm bài: 120 phút ơ
Câu 1. Không dùng máy tính c m tay, rút g n bi u th c ầ ọ ể ứ
50 32 2A
Câu 2. Không dùng máy tính c m tay, gi i h ph ng trình: ầ ả ệ ươ
4
2 5
x y
x y
Câu 3. Cho hàm s b c nh t ố ậ ấ
3 1 1y f x x
a) Hàm s trên là đ ng bi n hay ngh ch bi n trên ố ồ ế ị ế
?
Vì sao ?
b) Tính các giá tr : ị
0 ; 3 1f f
Câu 4. Tìm t a đ giao đi m c a hai đ th hàm s ọ ộ ể ủ ồ ị ố
2
2y x
và
3y x
Câu 5. Cho bi u th c ể ứ
0
3 3 3 1 2
:
1
2 1 1
2 1
x
x x x x
P
x
x x x
x x
a) Rút g n bi u th c ọ ể ứ
P
b) Tìm giá tr c a ị ủ
x
đ ể
0P
Câu 6. Ông Minh d đ nh đi b ng xe máy t đ a đi m A đ n đ a đi m ự ị ằ ừ ị ể ế ị ể
B
cách nhau
80km
trong th i gian đ nh tr c. Khi đi đ c ờ ị ướ ượ
20 ,km
t i đ a đi m C, xe c a ông h ng ạ ị ể ủ ỏ
nên ông ph i d ng l i đ s a xe m t ả ừ ạ ể ử ấ
10
phút. Sau khi s a xe xong, đ đ m b o th i ử ể ả ả ờ
gian nh đã đ nh, ông Minh tăng v n t c thêm ư ị ậ ố
5 /km h
trên quãng đ ng đi t ườ ừ
C
đ nế
.B
Hãy tính v n t c xe c a ông ậ ố ủ
Minh
trên quãng đ ng t A đ n ườ ừ ế
C
Câu 7. Cho tam giác
ABC
vuông t i ạ
,A
đ ng cao ườ
.AH
Bi t ế
3 , 5 .AB cm BC cm
Tính
đ dài c nh ộ ạ
AC
và đ ng cao ườ
.AH
Câu 8. Cho hai đ ng tròn ườ
1
;10O cm
và
2
;15O cm
c t nhau t i hai đi m phân bi tắ ạ ể ệ
Ti p tuy n chung ngoài ế ế
AB
c t đ ng th ng ắ ườ ẳ
1 2
O O
t i đi m ạ ể
C
v i ớ
1
,A O
2
.B O
Tính đ dài đo n th ng ộ ạ ẳ
1 2
O O
bi t ế
1
40 .CO cm
Câu 9. Cho tam giác
ABC
cân t i ạ
,A
các đ ng cao ườ
,AM BN
c t nhau t i ắ ạ
.H
Ch ng ứ
minh
MN
là ti p tuy n c a đ ng tròn đ ng kính ế ế ủ ườ ườ
AH
Câu 10. Cho tam giác
ABC
có ba góc nh n n i ti p đ ng tròn ọ ộ ế ườ
,O
các đ ng caoườ
, ,AD BE CF
c t nhau t i ắ ạ
.H
Đ ng th ng ườ ẳ
AD
c t đ ng tròn ắ ườ
O
t i ạ
M
khác A
a) Ch ng minh tam giác ứ
BHM
cân
Mọi thắc mắc vui lòng xin liên hệ hotline: 084 283 45 85

Đây là bản xem thử, vui lòng mua tài liệu để xem chi ết (có lời giải)
b) G i ọ
,P Q
l n l t là đi m đ i x ng v i ầ ượ ể ố ứ ớ
M
qua
AB
và
.AC
Ch ng minh ba đi mứ ể
, ,P H Q
th ng hàng. ẳ
ĐÁP ÁN
Câu 1.
50 32 2 5 2 4 2 2 2 2A
Câu 2. Ta có:
4 3 9 3
2 5 4 1
x y x x
x y y x y
V y h có nghi m duy nh t ậ ệ ệ ấ
; 3;1x y
Câu 3.
a) Đ ng bi n hay ngh ch bi nồ ế ị ế
Xét hàm s ố
( ) 3 1 1y f x x
có
3 1 0a
nên hàm số
( ) 3 1 1y f x x
đ ng bi n trên ồ ế
b) Tính các giá trị
Xét hàm s ố
3 1 1y f x x
có:
0 3 1 .0 1 1
3 1 3 1 . 3 1 1 3 1 1 3
f
f
V y ậ
0 1f
và
3 1 3f
Câu 4.
Ta có ph ng trình hoành đ giao đi m c a hai đ th hàm s đã cho là :ươ ộ ể ủ ồ ị ố
2 2
2 3 2 3 0x x x x
Ph ng trình có d ng ươ ạ
2 1 3 0a b c
nên có hai nghi m phân bi tệ ệ
1 2
3 9
2 2
x y
x y
V y t a đ giao đi m là ậ ọ ộ ể
3 9
1; 2 ; ;
2 2
Câu 5.
a) Rút g n Pọ
V i ớ
0, 1x x
ta có:
Mọi thắc mắc vui lòng xin liên hệ hotline: 084 283 45 85

Đây là bản xem thử, vui lòng mua tài liệu để xem chi ết (có lời giải)
3 3 3 1 2
:
2 1 1
2 1
3 3 3 1 4 1 2 4 1
. .
2 1 2 1
2 2 2 1
1
.
1
2 1
x x x x
P
x x x
x x
x x x x x x x x
x x
x x x x
x x x
x
x x
x x
b) Tìm giá tr xị
Ta có:
2 1
0 0
1
x
P
x
Do
2 1
2 1 0 0 1 0 1( )
1
x
x x x x tm
x
V y đ ậ ể
0P
thì
1.x
Câu 6.
G i v n t c d đ nh c a ông Minh là ọ ậ ố ự ị ủ
/ 0x km h x
Khi đó th i gain d đ nh ông Minh đi h t quãng đ ng ờ ự ị ế ườ
A
đ n B là ế
80
( )h
x
Th i gian ông Minh đi h t quãng đ ng ờ ế ườ
AC
là :
20
( )h
x
Sau khi s a xe ông Minh đã tăng v n t c thêm ử ậ ố
5 /km h
trên quãng đ ng CB nên v n ườ ậ
t c ông Minh đi trên quãng đ ng ố ườ
: 5( / )CB x km h
Th i gian ông Minh đi h t quãng đ ng BC là : ờ ế ườ
80 20 60
( )
5 5
h
x x
Tuy ph i s a xe m t 10 phút ả ử ấ
1
6
h
nh ng ông Minh v n đ n n i đúng gi nên ta có ư ẫ ế ơ ờ
ph ng trình:ươ
Mọi thắc mắc vui lòng xin liên hệ hotline: 084 283 45 85

Đây là bản xem thử, vui lòng mua tài liệu để xem chi ết (có lời giải)
2 2
80 20 60 1 60 60 1
6.60 5 6.60 5
5 6 5 6
1800 5 45 40 1800 0
45 40 45 0 40 45 0
45 0 45( )
40 0 40( )
x x x x
x x x x x
x x x x x
x x x x x
x x ktm
x x tm
V y v n t c c a ông Minh trên quãng đ ng ậ ậ ố ủ ườ
AC
là
40 /km h
Câu 7.
Áp d ng đ nh lý Pytago vào ụ ị
ABC
vuông t i A ta có:ạ
2 2 2 2
5 3 4AC BC AB cm
Áp d ng h th c l ng cho ụ ệ ứ ượ
ABC
vuông t i A có đ ng cao ạ ườ
AH
ta có:
. 3.4
. . 2,4
5
AB AC
AH BC AB AC AH cm
BC
V y ậ
4 , 2,4AC cm AH cm
Câu 8.
Mọi thắc mắc vui lòng xin liên hệ hotline: 084 283 45 85

Đây là bản xem thử, vui lòng mua tài liệu để xem chi ết (có lời giải)
Ta có:
1 1
2 2
10
15
A O O A cm
B O O B cm
AB
là ti p tuy n chung ngoài c a hai đ ng tròn ế ế ủ ườ
1
1 2
2
/ /
O A BC
AO BO
O B BC
1 1
2 2
CO AO
CO BO
(đ nh lý Ta let)ị
2 1 2
2
40 10 2
60 60 40 20
15 3
CO cm O O cm
CO
V y ậ
1 2
20O O cm
Câu 9.
Mọi thắc mắc vui lòng xin liên hệ hotline: 084 283 45 85
