SỞ GIÁO D C Ụ VÀ ĐÀO T O Ạ KÌ THI TUY N Ể SINH VÀO L P Ớ 10 THPT THANH HÓA NĂM HỌC 2020-2021 Môn thi: Toán Đ C Ề HÍNH TH C Ứ Thời gian: 120 phút Ngày thi: 17/07/2020 Câu I. (2,0 đi m ể ) 4 x
8x x 2 x 0 ; x 1 P : 3 x 2 x 4 x 2 x 4 Cho bi u t ể h c ứ 1) Rút g n bi ọ u t ể h c P ứ 2) Tìm các giá tr c ị a ủ x đ ể P 4 Câu II. (2,0 đi m ể ) 1. Trong m t ặ ph ng t ẳ a ọ đ ộ Oxy, cho đư ng t ờ h ng
ẳ d có phư ng t ơ rình y a
x b . Tìm a,bđ đ ể ư ng ờ th ng ẳ d c t ắ tr c ụ tung t i ạ di m ể có tung đ ộ b ng ằ 2 và đi qua đi m ể M 2;3 x 3y 4 2. Gi i ả h ph ệ ư ng t ơ
rình: 2x 3y 1 Câu III.(2,0 đi m ể ) 1. Gi i ả phư ng t ơ rình: 2 x 5x 4 0 2. Cho phư ng t ơ rình 2
x 5x m 2 0
( m là tham số). Tìm các giá tr c ị a ủ m đ ph ể ư ng ơ trình có hai nghi m ệ phân bi t ệ x , x 1 2 th a ỏ mãn h t ệ h c: ứ 1 1 1 x 2 1 x 2 1 1 2 Câu IV.(3 đi m ể ) Cho tam giác nh n ọ ABC n i ộ ti p đ ế ư ng
ờ tròn O . Các đư ng cao ờ BD,CE (D thu c ộ AC, E thu c ộ AB) c a t ủ am giác kéo dài l n l ầ ư t ợ c t ắ đư ng ờ tròn (O) t i ạ các đi m
ể M và N (M khác B, N khác C) 1. Ch ng ứ minh t gi ứ ác BCDE n i ộ ti p đ ế ược trong m t ộ dư ng t ờ ròn 2. Ch ng
ứ minh MN song song v i ớ DE 3. Khi đư ng
ờ tròn (O) và dây BC cố định, đi m ể A di đ ng t ộ rên cung l n B ớ C
sao cho tam giác ABC nh n, ọ ch ng m ứ inh bán kính đư ng t ờ ròn ngo i ạ ti p ế
tam giác ADE không đổi và tìm v t ị rí c a ủ đi m ể A đ di ể n t ệ ích tam giác ADE đ t ạ giá tr l ị n nh ớ ất. Câu V. (1 đi m ể )
Cho ba số th c d ự ư ng
ơ x, y, z th a m ỏ ãn đi u ki ề n
ệ x y z xyz . Tìm giá tr nh ị ỏ y 2 z 2 x 2 Q 2 2 2 nhất c a bi ủ u ể th c ứ x y z
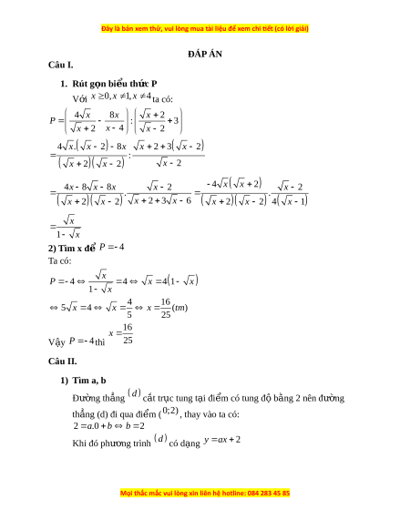
ĐÁP ÁN Câu I. 1. Rút g n bi ọ u t ể h c P ứ V i ớ x 0 , x 1 , x 4 ta có: 4 x
8x x 2 P : 3 x 2 x 4 x 2
4 x. x 2 8x x 2 3 x 2 :
x 2 x 2 x 2 4 x x x x x x 2 4 8 8 2 x 2 . .
x 2 x 2 x 2 3 x 6 x 2 x 2 4 x 1 x 1 x 2) Tìm x đ ể P 4 Ta có: x P 4 4 x 4 1 x 1 x 4 16 5 x 4 x x (tm) 5 25 16 x V y ậ P 4 thì 25 Câu II. 1) Tìm a, b Đư ng ờ th ng ẳ d c t ắ tr c ụ tung t i ạ đi m ể có tung đ b ộ ng ằ 2 nên đư ng ờ th ng ẳ (d) đi qua đi m ể (0;2) , thay vào ta có: 2 .
a 0 b b 2 Khi đó phư ng
ơ trình d có d ng ạ y a x 2
Đư ng ờ th ng ẳ d đi qua đi m
ể M 2;3 nên thay t a đ ọ đi ộ êm M và đư ng ờ 1 3 .2
a 2 a th ng ẳ (d) ta có: 2 1 y x 2 V y ậ phư ng t ơ rình đư ng t ờ h ng ẳ c n t ầ ìm là 2 b) gi i ả h ph ệ ư ng t ơ rình 3 x 3 x 3y 4 x 1 4 x
2x 3y 1 y y 1 3 V y ậ nghi m ệ c a h ủ ph ệ ư ng t ơ rình là ; x y 1; 1 Câu III. 1) Giải phư ng t ơ rình 2 x 5x 4 0 2 2 x 5x 4 0
x x 4x 4 0
x x 1 4 x 1 0 x 4
x 4 x 1 0 x 1 V y ậ S 1; 4 2) Tìm tham s m ố Để phư ng t ơ rình đã cho có hai nghi m ệ phân bi t ệ thì 33 2
0 5 4 m 2 0 25 4m 8 0 4m 33 m 4
x x 5 1 2 Khi đó áp đ ng ụ đ nh l ị ý Viet ta có: x x m 2 1 2
Đề thi vào 10 môn Toán tỉnh Thanh Hóa (Hệ không chuyên) năm 2021
592
296 lượt tải
MUA NGAY ĐỂ XEM TOÀN BỘ TÀI LIỆU
CÁCH MUA:
- B1: Gửi phí vào TK:
1133836868- CT TNHH DAU TU VA DV GD VIETJACK - Ngân hàng MB (QR) - B2: Nhắn tin tới Zalo VietJack Official ( nhấn vào đây ) để xác nhận thanh toán và tải tài liệu - giáo án
Liên hệ ngay Hotline hỗ trợ: 084 283 45 85
Đề thi được cập nhật liên tục trong gói này từ nay đến hết tháng 6/2023. Chúng tôi đảm bảo đủ số lượng đề đã cam kết hoặc có thể nhiều hơn, tất cả có BẢN WORD, LỜI GIẢI CHI TIẾT và tải về dễ dàng.
Để tải tài liệu gốc về máy bạn click vào nút Tải Xuống ở trên!
Thuộc bộ (mua theo bộ để tiết kiệm hơn):
- Tailieugiaovien.com.vn giới thiệu bộ 69 đề thi vào 10 môn Toán hệ không chuyên mới nhất năm 2021 nhằm giúp Giáo viên có thêm tài liệu tham khảo đề luyện thi Toán ôn luyện vào 1
- File word có lời giải chi tiết 100%.
- Mua trọn bộ sẽ tiết kiệm hơn tải lẻ 50%.
Đánh giá
4.6 / 5(592 )5
4
3
2
1
Trọng Bình
Tài liệu hay
Giúp ích cho tôi rất nhiều
Duy Trần
Tài liệu chuẩn
Rất thích tài liệu bên VJ soạn (bám sát chương trình dạy)
TÀI LIỆU BỘ BÁN CHẠY MÔN Toán Học
Xem thêmTÀI LIỆU BỘ BÁN CHẠY Ôn vào 10
Xem thêmTài liệu bộ mới nhất

Đây là bản xem thử, vui lòng mua tài liệu để xem chi ết (có lời giải)
S GIÁO D C VÀ ĐÀO T OỞ Ụ Ạ
THANH HÓA
Đ CHÍNH TH C Ề Ứ
KÌ THI TUY N SINH VÀO L P 10 THPTỂ Ớ
NĂM H C 2020-2021Ọ
Môn thi: Toán
Th i gian: 120 phútờ
Ngày thi: 17/07/2020
Câu I. (2,0 đi m)ể
Cho bi u th c ể ứ
0; 1
4 8 2
: 3
4
4
2 2
x x
x x x
P
x
x
x x
1) Rút g n bi u th c Pọ ể ứ
2) Tìm các giá tr c a ị ủ
x
đ ể
4P
Câu II. (2,0 đi m)ể
1. Trong m t ph ng t a đ ặ ẳ ọ ộ
,Oxy
cho đ ng th ng ườ ẳ
d
có ph ng trìnhươ
y ax b
. Tìm
,a b
đ đ ng th ng ể ườ ẳ
d
c t tr c tung t i di m có tung đ ắ ụ ạ ể ộ
b ng 2 và đi qua đi m ằ ể
2;3M
2. Gi i h ph ng trình: ả ệ ươ
3 4
2 3 1
x y
x y
Câu III.(2,0 đi m)ể
1. Gi i ph ng trình: ả ươ
2
5 4 0x x
2. Cho ph ng trình ươ
2
5 2 0x x m
(
m
là tham s ). Tìm các giá tr c a ố ị ủ
m
đ ph ng trình có hai nghi m phân bi t ể ươ ệ ệ
1 2
,x x
th a mãn h th c:ỏ ệ ứ
2 2
1 2
1 1
1
1 1x x
Câu IV.(3 đi m)ể
Cho tam giác nh n ọ
ABC
n i ti p đ ng tròn ộ ế ườ
O
. Các đ ng cao ườ
,BD CE
(D thu c ộ
,AC E
thu c ộ
)AB
c a tam giác kéo dài l n l t c t đ ng tròn (O) t i ủ ầ ượ ắ ườ ạ
các đi m ể
M
và N (M khác B,
N
khác
)C
1. Ch ng minh t giác ứ ứ
BCDE
n i ti p đ c trong m t d ng trònộ ế ượ ộ ườ
2. Ch ng minh ứ
MN
song song v i DEớ
3. Khi đ ng tròn (O) và dây ườ
BC
c đ nh, đi m A di đ ng trên cung l n BC ố ị ể ộ ớ
sao cho tam giác
ABC
nh n, ch ng minh bán kính đ ng tròn ngo i ti p ọ ứ ườ ạ ế
tam giác
ADE
không đ i và tìm v trí c a đi m A đ di n tích tam giácổ ị ủ ể ể ệ
ADE
đ t giá tr l n nh t.ạ ị ớ ấ
Câu V. (1 đi m)ể
Mọi thắc mắc vui lòng xin liên hệ hotline: 084 283 45 85

Đây là bản xem thử, vui lòng mua tài liệu để xem chi ết (có lời giải)
Cho ba s th c d ng ố ự ươ
, ,x y z
th a mãn đi u ki n ỏ ề ệ
x y z xyz
. Tìm giá tr nhị ỏ
nh t c a bi u th c ấ ủ ể ứ
2 2 2
2 2 2y z x
Q
x y z
Mọi thắc mắc vui lòng xin liên hệ hotline: 084 283 45 85

Đây là bản xem thử, vui lòng mua tài liệu để xem chi ết (có lời giải)
ĐÁP ÁN
Câu I.
1. Rút g n bi u th c Pọ ể ứ
V i ớ
0, 1, 4x x x
ta có:
4 8 2
: 3
4
2 2
4 . 2 8 2 3 2
:
2
2 2
4 2
4 8 8 2 2
. .
2 3 6
2 2 2 2 4 1
1
x x x
P
x
x x
x x x x x
x
x x
x x
x x x x x
x x
x x x x x
x
x
2) Tìm x đ ể
4P
Ta có:
4 4 4 1
1
4 16
5 4 ( )
5 25
x
P x x
x
x x x tm
V y ậ
4P
thì
16
25
x
Câu II.
1) Tìm a, b
Đ ng th ng ườ ẳ
d
c t tr c tung t i đi m có tung đ b ng 2 nên đ ng ắ ụ ạ ể ộ ằ ườ
th ng (d) đi qua đi m (ẳ ể
0;2)
, thay vào ta có:
2 .0 2a b b
Khi đó ph ng trình ươ
d
có d ng ạ
2y ax
Mọi thắc mắc vui lòng xin liên hệ hotline: 084 283 45 85

Đây là bản xem thử, vui lòng mua tài liệu để xem chi ết (có lời giải)
Đ ng th ng ườ ẳ
d
đi qua đi m ể
2;3M
nên thay t a đ điêm M và đ ng ọ ộ ườ
th ng (d) ta có: ẳ
1
3 .2 2
2
a a
V y ph ng trình đ ng th ng c n tìm là ậ ươ ườ ẳ ầ
1
2
2
y x
b) gi i h ph ng trìnhả ệ ươ
3 3
3 4 1
4
2 3 1 1
3
x
x y x
x
x y y
y
V y nghi m c a h ph ng trình là ậ ệ ủ ệ ươ
; 1;1x y
Câu III.
1) Gi i ph ng trình ả ươ
2
5 4 0x x
2 2
5 4 0 4 4 0 1 4 1 0
4
4 1 0
1
x x x x x x x x
x
x x
x
V y ậ
1; 4S
2) Tìm tham s mố
Đ ph ng trình đã cho có hai nghi m phân bi t thì ể ươ ệ ệ
2
33
0 5 4 2 0 25 4 8 0 4 33
4
m m m m
Khi đó áp đ ng đ nh lý Viet ta có: ụ ị
1 2
1 2
5
2
x x
x x m
Mọi thắc mắc vui lòng xin liên hệ hotline: 084 283 45 85

Đây là bản xem thử, vui lòng mua tài liệu để xem chi ết (có lời giải)
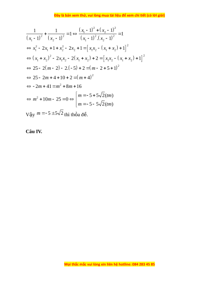
2 2
1 2
2 2 2 2
1 2 1 2
2
2 2
1 1 2 2 1 2 1 2
2
2
1 2 1 2 1 2 1 2 1 2
2
2
1 1
1 1
1 1
1 1 1 . 1
2 1 2 1 1
2 2 2 1
25 2 2 2. 5 2 2 5 1
25 2 4 10 2 4
x x
x x x x
x x x x x x x x
x x x x x x x x x x
m m
m m
2
2
2 41 8 16
5 5 2( )
10 25 0
5 5 2( )
m m m
m tm
m m
m tm
V y ậ
5 5 2m
thì th a đ .ỏ ề
Câu IV.
Mọi thắc mắc vui lòng xin liên hệ hotline: 084 283 45 85
