111Equation Chapter 1 Section 1SỞ KỲ THI TUY N Ể SINH VÀO L P Ớ 10 THPT GIÁO D C Ụ VÀ ĐÀO T O Ạ NĂM HỌC 2021-2022 THANH HÓA Môn thi: Toán
Thời gian: 120 phút (không k t ể hời gian giao đ ) ề Đ C Ề HÍNH TH C Ứ Ngày thi: 04/06/2021 Câu I. (2,0 đi m ể ) x 2 x
3x 25 x 0 P Cho bi u t ể h c ứ x 5 x 5 x 25 x 2 5 1) Rút g n bi ọ u t ể h c ứ P 5 P 2) Tìm các giá tr c ị a ủ x đ ể 7 Câu II. (2,0 đi m ể ) 1) Trong m t ặ ph ng t ẳ a ọ đ ộ Oxy, cho đư ng t ờ h ng
ẳ d có phư ng t ơ rình y 2m
1 x m m là tham số). Tìm mđ đ ể ư ng t ờ h ng
ẳ d đi qua A1;5 4x 3y 11 2) Gi i ả h ph ệ ư ng t ơ
rình : 4x y 7 Câu III. (2,0 điêm) 1) Gi i ả phư ng t ơ rình 2 x 6x 5 0 2 2) Cho phư ng t ơ
rình x 2x m 1 0
m là tham số). Tìm các giá tr c ị a ủ m đ ể 4 3 4 3 phư ng ơ trình có hai nghi m ệ x , x
x x x x 1 2 th a ỏ mãn h t ệ h c ứ 1 1 2 2 Câu IV. (3,0 đi m ể ) Cho tam giác nh n ọ ABC n i ộ ti p đ ế ư ng
ờ tròn O .Các đư ng cao ờ
AD, BE,CF (D thu c ộ BC, E thu c ộ AC, F thu c ộ AB) c a t ủ am giác c t ắ nhau t i
ạ H, M là trung đi m ể c a ủ c nh ạ BC 1) Ch ng ứ minh AEHF là t gi ứ ác n i ộ ti p ế 2) Ch ng ứ minh các đư ng ờ th ng ẳ
ME,MF là các ti p t ế uy n c ế a đ ủ ư ng ờ tròn ngo i ạ ti p t ế gi ứ ác AEHF 3) Ch ng
ứ minh DE DF BC
1 x ; Câu V. (1,0 đi m ể ) Cho ba số th c
ự x, y, z thay đổi th a m ỏ ãn các đi u ki ề n ệ 4 1 1 4 3 z y , z 2 3
2 và 4x 3 3y 2 2z 1 . Tìm giá tr l ị n ớ nh t ấ c a ủ bi u t ể h c ứ Q 4x 1 3y 1 2z 1
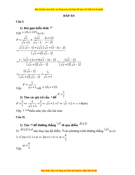
ĐÁP ÁN Câu I. 1) Rút g n bi ọ u t ể h c ứ P V i ớ x 0 , x 2 5 ta có : x 2 x 3x 25 P x 5 x 5 x 25
x. x 5 2 x. x 5 3x 25
x 5 x 5
x 5 x 2x 10 x 3x 25 5 x 25
x 5 x 5
x 5 x 5 5 x 5 5
x 5 x 5 x 5 5 P V y ậ x 5 v i ớ x 0 , x 2 5 5 P 2) Tìm các giá tr c ị a ủ x đ ể 7 5 5 5 P x 5 7 x 2 x 4( tm) 7 x 5 7 V y ậ x 4 th a m ỏ ãn yêu cầu bài toán Câu II.
1) Tìm m đ đ ể ư ng t ờ
hẳng d đi qua đi m ể A1;5
Vì A1;5 d nên thay t a đ ọ đi ộ m ể A vào phư ng ơ trình đư ng ờ th ng ẳ d ta có : 4 5 2m
1 .1 m 3m 1 5 m 3 4 m V y ậ 3
4x 3y 11 2) Giải h p ệ hư ng t ơ
rình : 4x y 7 4x 3y 11 4x y 7 x 2
Ta có: 4x y 7 4 y 4 y 1 V y ậ nghi m ệ c a h ủ ph ệ ư ng t ơ rình là ; x y 2; 1 Câu III. 1) Giải phư ng t ơ rình : 2 x 6x 5 0 Ta có: 2 6 4.1.5 1 6 0 nên phư ng ơ trình có hai nghi m ệ phân bi t ệ 6 16 x 5 1 2 6 16 x 1 2 2 V y ậ phư ng t ơ rình có t p nghi ậ m ệ S 1; 5 2 2) Cho phư ng t ơ
rình x 2x m 1 0
m là tham s )
ố . Tìm các giá tr c ị a ủ m đ ph ể ư ng t ơ rình có hai nghi m ệ x ; x 1 2 th a m ỏ ãn h t ệ h c ứ 4 3 4 3
x x x x 1 1 2 2 Phư ng ơ trình 2
x 2x m 1 0 có ' 1 m 1 2 m Phư ng ơ trình đã cho có nghi m ệ ' 0 2 m 0 m 2 x x 2 1 2 1 Khi đó, theo đ nh l ị
ý Vi et ta có: x x m 1 1 2 Do x , x 2 1 2 là nghiệm c a ủ phư ng t ơ
rình x 2x m 1 0 nên ta có : 2 x 2 x m 1 1 1 2 x 2 x m 1 2 2 . Theo bài ra ta có :
Đề thi vào 10 môn Toán tỉnh Thanh Hóa năm 2022
678
339 lượt tải
MUA NGAY ĐỂ XEM TOÀN BỘ TÀI LIỆU
CÁCH MUA:
- B1: Gửi phí vào TK:
1133836868- CT TNHH DAU TU VA DV GD VIETJACK - Ngân hàng MB (QR) - B2: Nhắn tin tới Zalo VietJack Official ( nhấn vào đây ) để xác nhận thanh toán và tải tài liệu - giáo án
Liên hệ ngay Hotline hỗ trợ: 084 283 45 85
Đề thi được cập nhật liên tục trong gói này từ nay đến hết tháng 6/2023. Chúng tôi đảm bảo đủ số lượng đề đã cam kết hoặc có thể nhiều hơn, tất cả có BẢN WORD, LỜI GIẢI CHI TIẾT và tải về dễ dàng.
Để tải tài liệu gốc về máy bạn click vào nút Tải Xuống ở trên!
Thuộc bộ (mua theo bộ để tiết kiệm hơn):
- Tailieugiaovien.com.vn giới thiệu bộ 63 đề thi chính thức vào 10 môn Toán năm 2022 nhằm giúp Giáo viên có thêm tài liệu tham khảo đề luyện thi Toán vào 10.
- File word có lời giải chi tiết 100%.
- Mua trọn bộ sẽ tiết kiệm hơn tải lẻ 50%.
Đánh giá
4.6 / 5(678 )5
4
3
2
1
Trọng Bình
Tài liệu hay
Giúp ích cho tôi rất nhiều
Duy Trần
Tài liệu chuẩn
Rất thích tài liệu bên VJ soạn (bám sát chương trình dạy)
TÀI LIỆU BỘ BÁN CHẠY MÔN Toán Học
Xem thêmTÀI LIỆU BỘ BÁN CHẠY Ôn vào 10
Xem thêmTài liệu bộ mới nhất

Đây là bản xem thử, vui lòng mua tài liệu để xem chi ết (có lời giải)
111Equation Chapter 1 Section 1SỞ
GIÁO D C VÀ ĐÀO T OỤ Ạ
THANH HÓA
Đ CHÍNH TH C Ề Ứ
KỲ THI TUY N SINH VÀO L P 10 THPTỂ Ớ
NĂM H C 2021-2022Ọ
Môn thi: Toán
Th i gian: 120 phút (không k th i gian giao đ )ờ ể ờ ề
Ngày thi: 04/06/2021
Câu I. (2,0 đi m)ể
Cho bi u th c ể ứ
0
2 3 25
25
25
5 5
x
x x x
P
x
x
x x
1) Rút g n bi u th c ọ ể ứ
P
2) Tìm các giá tr c a ị ủ
x
đ ể
5
7
P
Câu II. (2,0 đi m)ể
1) Trong m t ph ng t a đ ặ ẳ ọ ộ
,Oxy
cho đ ng th ng ườ ẳ
d
có ph ng trìnhươ
2 1y m x m m
là tham s ). Tìm ố
m
đ đ ng th ng ể ườ ẳ
d
đi qua
1;5A
2) Gi i h ph ng trình : ả ệ ươ
4 3 11
4 7
x y
x y
Câu III. (2,0 điêm)
1) Gi i ph ng trình ả ươ
2
6 5 0x x
2) Cho ph ng trình ươ
2
2 1 0x x m m
là tham s ). Tìm các giá tr c a ố ị ủ
m
đ ể
ph ng trình có hai nghi m ươ ệ
1 2
,x x
th a mãn h th c ỏ ệ ứ
4 3 4 3
1 1 2 2
x x x x
Câu IV. (3,0 đi m) ể
Cho tam giác nh n ọ
ABC
n i ti p đ ng tròn ộ ế ườ
.O
Các đ ng cao ườ
, ,AD BE CF
(D
thu c ộ
,BC E
thu c ộ
,AC F
thu c AB) c a tam giác c t nhau t i H, ộ ủ ắ ạ
M
là trung đi m ể
c a c nh ủ ạ
BC
1) Ch ng minh ứ
AEHF
là t giác n i ti pứ ộ ế
2) Ch ng minh các đ ng th ng ứ ườ ẳ
,ME MF
là các ti p tuy n c a đ ng tròn ế ế ủ ườ
ngo i ti p t giác ạ ế ứ
AEHF
3) Ch ng minh ứ
DE DF BC
Mọi thắc mắc vui lòng xin liên hệ hotline: 084 283 45 85

Đây là bản xem thử, vui lòng mua tài liệu để xem chi ết (có lời giải)
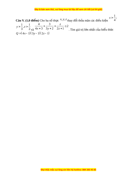
Câu V. (1,0 đi m) ể Cho ba s th c ố ự
, ,x y z
thay đ i th a mãn các đi u ki n ổ ỏ ề ệ
1
;
4
x
1 1
,
3 2
y z
và
4 3
2
4 3 3 2 2 1
z
x y z
. Tìm giá tr l n nh t c a bi u th cị ớ ấ ủ ể ứ
4 1 3 1 2 1Q x y z
Mọi thắc mắc vui lòng xin liên hệ hotline: 084 283 45 85

Đây là bản xem thử, vui lòng mua tài liệu để xem chi ết (có lời giải)
ĐÁP ÁN
Câu I.
1) Rút g n bi u th c ọ ể ứ
P
V i ớ
0, 25x x
ta có :
2 3 25
25
5 5
. 5 2 . 5 3 25
5 5
5 2 10 3 25 5 25
5 5 5 5
5 5
5
5
5 5
x x x
P
x
x x
x x x x x
x x
x x x x x x
x x x x
x
x
x x
V y ậ
5
5
P
x
v i ớ
0, 25x x
2) Tìm các giá tr c a ị ủ
x
đ ể
5
7
P
5 5 5
5 7 2 4( )
7 7
5
P x x x tm
x
V y ậ
4x
th a mãn yêu c u bài toán ỏ ầ
Câu II.
1) Tìm
m
đ đ ng th ng ể ườ ẳ
d
đi qua đi m ể
1;5A
Vì
1;5A d
nên thay t a đ đi m ọ ộ ể
A
vào ph ng trình đ ng th ng ươ ườ ẳ
d
ta có :
4
5 2 1 .1 3 1 5
3
m m m m
V y ậ
4
3
m
Mọi thắc mắc vui lòng xin liên hệ hotline: 084 283 45 85

Đây là bản xem thử, vui lòng mua tài liệu để xem chi ết (có lời giải)
2) Gi i h ph ng trình : ả ệ ươ
4 3 11
4 7
x y
x y
Ta có:
4 3 11 4 7 2
4 7 4 4 1
x y x y x
x y y y
V y nghi m c a h ph ng trình là ậ ệ ủ ệ ươ
; 2;1x y
Câu III.
1) Gi i ph ng trình : ả ươ
2
6 5 0x x
Ta có:
2
6 4.1.5 16 0
nên ph ng trình có hai nghi m phân bi tươ ệ ệ
1
2
6 16
5
2
6 16
1
2
x
x
V y ph ng trình có t p nghi m ậ ươ ậ ệ
1;5S
2) Cho ph ng trình ươ
2
2 1 0x x m m
là tham s ). Tìm các giá tr c aố ị ủ
m
đ ph ng trình có hai nghi m ể ươ ệ
1 2
;x x
th a mãn h th cỏ ệ ứ
4 3 4 3
1 1 2 2
x x x x
Ph ng trình ươ
2
2 1 0x x m
có
' 1 1 2m m
Ph ng trình đã cho có nghi m ươ ệ
' 0 2 0 2m m
Khi đó, theo đ nh lý ị
Vi et
ta có:
1 2
1 2
2
1
1
x x
x x m
Do
1 2
,x x
là nghi m c a ph ng trình ệ ủ ươ
2
2 1 0x x m
nên ta có :
2
1 1
2
2 2
2 1
2 1
x x m
x x m
. Theo bài ra ta có :
Mọi thắc mắc vui lòng xin liên hệ hotline: 084 283 45 85

Đây là bản xem thử, vui lòng mua tài liệu để xem chi ết (có lời giải)
4 3 4 3 4 4 3 3
1 1 2 2 1 2 1 2
2 2 2 2 2 2
1 2 1 2 1 2 1 1 2 2
1 2 1 2
1 2 1 2
1 2 1 2
1 2
1 2
1 2
0
0
2 2 2 2 1 2 1
2 2 2 1 0
2.2 2 2 .2 . 2.2 1 0
2 6 2 5 0
3 7 0
7
x x x x x x x x
x x x x x x x x x x
x x m x m x m
x x x x m m
m x x x x m
x x m m
x x
x x m
m
( )
3
ktm
Thay
1 2
x x
vào (1) ta đ c ượ
1
2
1
2 2
2( )
1
x
m tm
x m
V y ậ
2m
Câu IV.
Mọi thắc mắc vui lòng xin liên hệ hotline: 084 283 45 85
