ệ xem ể chi ti t ế (có l i ờ gi i ả ) SỞ GIÁO D C Ụ VÀ ĐÀO T O Ạ Đ Ề TUY N Ể SINH VÀO L P Ớ 10 T N Ỉ H TRÀ VINH NĂM H C Ọ 2019-2020 Đ C Ề HÍNH TH C Ứ MÔN THI: TOÁN
Thời gian : 120 phút (không k gi ể ao đ ) ề
I. PHẦN CHUNG DÀNH CHO T T Ấ C C
Ả ÁC THÍ SINH (7,0 ĐI M) Ể Câu 1.(3,0 đi m ể ) 1. Rút g n bi ọ u t ể h c
ứ A 20 45 3 80 3 x 4 y 5 2. Gi i ả h ph ệ ư ng t ơ
rình 6x 7 y 8 3. Gi i ả phư ng t ơ rình 2 x x 12 0 Câu 2. (2,0 đi m ể ) 2 Cho hai hàm s
ố y x 3 và y 2x có đồ thị lần lư t
ợ là d và P
1. Vẽ d và P trên cùng m t ộ h t ệ r c t ụ a đ ọ ộ 2. Tìm t a đ ọ gi ộ ao đi m ể c a
ủ d và P b ng phép t ằ oán 2 Câu 3. (2,0 đi m ể ) Cho phư ng
ơ trình: x x 3m 11 0 (1) (v i ớ m là tham số) 1. V i ớ giá tr nào c ị a ủ m thì phư ng t ơ rình 1 có nghiệm kép 2. Tìm m đ ph ể ư ng t ơ rình 1 có hai nghiệm phân bi t ệ x , x 1 2 sao cho 2017x 2018x 20 19 1 2 II. PHẦN T C Ự H N Ọ (3,0 ĐI M) Ể Thí sinh ch n ọ m t ộ trong hai đ s ề au đây Đ 1: ề Câu 4. (3,0 đi m
ể ) Cho tam giác ABC có ba góc đ u nh ề n n ọ i ộ ti p đ ế ư ng ờ tròn tâm O, đư ng
ờ cao BD và CE c t ắ đư ng t ờ ròn (O) theo th t ứ t ự i ạ P và Q
P B,Q C 1) Ch ng ứ minh t gi ứ ác BCDE n i ộ ti p đ ế ư ng ờ tròn 2) G i ọ H là giao đi m ể c a
ủ BD và CE.Ch ng ứ minh H . B HP H C.HQ Đ 2: ề Câu 5. (3,0 đi m ể ) Cho đư ng t ờ ròn tâm O. T đi ừ m ể M n m ằ ngoài đư ng t ờ ròn tâm O vẽ hai ti p t ế uy n ế M , A MB v i ớ (O) ( , A B là hai ti p đi ế m ể ). V cát ẽ tuy n ế MCD không qua tâm O,C n m ằ gi a ữ M và D 1. Ch ng ứ minh t gi ứ ác MAOB n i ộ ti p đ ế ư ng ờ tròn 2. Ch ng ứ minh 2 MA M C.MD M i
ọ thắc mắc vui lòng xin liên hệ hotline: 084 283 45 85
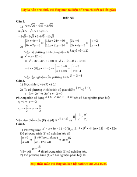
ệ xem ể chi ti t ế (có l i ờ gi i ả ) ĐÁP ÁN Câu 1.
1) A 20 45 3 80 4.5 9.5 3 16.5 2 5 3 5 3.4 5 1 1 5 3 x 4 y 5 18 x 24y 30 3 y 6 y 2 2) 6x 7 y 8 18x 21y 24 3x 4y 5 x 1 V y ậ h ph ệ ư ng t ơ rình có nghi m ệ là ; x y 1;2 3) 2 x x 12 0 2
x 3x 4x 12 0
x x 3 4 x 3 0 x 3 0 x 3
x 3 x 4 0 x 4 0 x 4 V y ậ t p nghi ậ m ệ c a ph ủ ư ng ơ trình S 3; 4 Câu 2. 1) H c ọ sinh t v ự ( ẽ P) và (d) 2) Ta có phư ng
ơ trình hoành độ giao đi m
ể P và d : 2 2
x 3 2x 2x x 3 0 Phư ng ơ trình có d ng
ạ a b c 2 1 3 0
nên có hai nghiệm phân bi t ệ x 1 y 2 1 3 9 x y 2 2 2 3 9 B ; V y ậ giao đi m ể c a (
ủ P) và (d) là A1; 2 và 2 2 Câu 3. 2 2 1) Phư ng
ơ trình x x 3m 11 0 (1) có
1 4. 3m 1 1 4 5 12m Để phư ng t ơ rình (1) có nghi m ệ kép thì a 0 1 0 (lu . on ...dung) 15 m 0 45 12m 0 4 15 m V y ậ v i ớ 4 thì phư ng ơ trình (1) có nghi m ệ kép. 2) Để phư ng t ơ rình (1) có hai nghi m ệ phân bi t ệ thì M i
ọ thắc mắc vui lòng xin liên hệ hotline: 084 283 45 85
ệ xem ể chi ti t ế (có l i ờ gi i ả ) a 0 1 0( l . uon ..dung) 15 m 0 45 12m 0 4 x x 1 1 2 (2) Theo h t ệ h c ứ Vi-et ta có: x x 3 m 11 1 2
Theo bài ra ta có: 2017x 2018x 2 019(3) 1 2 T ( ừ 2) và (3) ta có h ph ệ ư ng t ơ rình: x x 1
2017x 2017x 2017 x x 1 x 1 1 2 1 2 1 2 1 2017x 2018x 2019 2017x 2018x 2019 x 2 x 2 1 2 1 2 2 2
Thay x 1, x 2 x x 3 m 11 1 2 vào 1 2 ta đư c ợ 1 .2 3
m 11 3m 9 m 3 (tm) V y ậ m 3 là giá tr c ị n t ầ ìm Câu 4. 0
1) Xét tam giác ABC có BD AC,CE AB(gt) BDC B EC 90 0
Xét tứ giác BCDE có BDC B EC 90
(cmt) nên hai đỉnh D, E kề nhau cùng nhìn c nh ạ BC dư i
ớ các góc vuông, do đó t gi ứ ác BCDE là t gi ứ ác n i ộ ti p ( ế dhnb) 2) Xét đư ng ờ tròn (O) có QPB Q CB (hai góc n i ộ ti p cùng ch ế n ắ cung BQ) Xét H PQ và H
CB có: QHP BHC (đ i ố đ nh) ỉ
; QPH HCB(cmt) M i
ọ thắc mắc vui lòng xin liên hệ hotline: 084 283 45 85
ệ xem ể chi ti t ế (có l i ờ gi i ả ) HP HQ H PQ
HCB g.g H .
P HB HC.HQ(dfcm) HC HB M i
ọ thắc mắc vui lòng xin liên hệ hotline: 084 283 45 85
Đề thi vào 10 môn Toán tỉnh Trà Vinh năm 2020
521
261 lượt tải
MUA NGAY ĐỂ XEM TOÀN BỘ TÀI LIỆU
CÁCH MUA:
- B1: Gửi phí vào TK:
1133836868- CT TNHH DAU TU VA DV GD VIETJACK - Ngân hàng MB (QR) - B2: Nhắn tin tới Zalo VietJack Official ( nhấn vào đây ) để xác nhận thanh toán và tải tài liệu - giáo án
Liên hệ ngay Hotline hỗ trợ: 084 283 45 85
Đề thi được cập nhật liên tục trong gói này từ nay đến hết tháng 6/2023. Chúng tôi đảm bảo đủ số lượng đề đã cam kết hoặc có thể nhiều hơn, tất cả có BẢN WORD, LỜI GIẢI CHI TIẾT và tải về dễ dàng.
Để tải tài liệu gốc về máy bạn click vào nút Tải Xuống ở trên!
Thuộc bộ (mua theo bộ để tiết kiệm hơn):
- Tailieugiaovien.com.vn giới thiệu bộ 63 đề thi vào 10 môn Toán hệ không chuyên năm 2020 nhằm giúp Giáo viên có thêm tài liệu tham khảo đề luyện thi Toán ôn luyện
- File word có lời giải chi tiết 100%.
- Mua trọn bộ sẽ tiết kiệm hơn tải lẻ 50%.
Đánh giá
4.6 / 5(521 )5
4
3
2
1
Trọng Bình
Tài liệu hay
Giúp ích cho tôi rất nhiều
Duy Trần
Tài liệu chuẩn
Rất thích tài liệu bên VJ soạn (bám sát chương trình dạy)
TÀI LIỆU BỘ BÁN CHẠY MÔN Toán Học
Xem thêmTÀI LIỆU BỘ BÁN CHẠY Ôn vào 10
Xem thêmTài liệu bộ mới nhất

Đây là b nả xem thử, vui lòng mua tài li u đ xem chi ti t (có l i gi i)ệ ể ế ờ ả
S GIÁO D C VÀ ĐÀO T OỞ Ụ Ạ
T NH TRÀ VINH Ỉ
Đ CHÍNH TH C Ề Ứ
Đ TUY N SINH VÀO L P 10Ề Ể Ớ
NĂM H C 2019-2020Ọ
MÔN THI: TOÁN
Th i gian : 120 phút (không k giao đ )ờ ể ề
I. PH N CHUNG DÀNH CHO T T C CÁC THÍ SINH (7,0 ĐI M)Ầ Ấ Ả Ể
Câu 1.(3,0 đi m)ể
1. Rút g n bi u th c ọ ể ứ
20 45 3 80A
2. Gi i h ph ng trình ả ệ ươ
3 4 5
6 7 8
x y
x y
3. Gi i ph ng trình ả ươ
2
12 0x x
Câu 2. (2,0 đi m)ể
Cho hai hàm s ố
3y x
và
2
2y x
có đ th l n l t là ồ ị ầ ượ
d
và
P
1. V ẽ
d
và
P
trên cùng m t h tr c t a độ ệ ụ ọ ộ
2. Tìm t a đ giao đi m c a ọ ộ ể ủ
d
và
P
b ng phép toán ằ
Câu 3. (2,0 đi m) ể Cho ph ng trình: ươ
2
3 11 0 (1)x x m
(v i ớ
m
là tham s )ố
1. V i giá tr nào c a ớ ị ủ
m
thì ph ng trình ươ
1
có nghi m képệ
2. Tìm
m
đ ph ng trình ể ươ
1
có hai nghi m phân bi t ệ ệ
1 2
,x x
sao cho
1 2
2017 2018 2019x x
II. PH N T CH N (3,0 ĐI M)Ầ Ự Ọ Ể
Thí sinh ch n m t trong hai đ sau đâyọ ộ ề
Đ 1:ề
Câu 4. (3,0 đi m) ể Cho tam giác
ABC
có ba góc đ u nh n n i ti p đ ng tròn ề ọ ộ ế ườ
tâm O, đ ng cao ườ
BD
và
CE
c t đ ng tròn (O) theo th t t i ắ ườ ứ ự ạ
P
và
Q
,P B Q C
1) Ch ng minh t giác ứ ứ
BCDE
n i ti p đ ng trònộ ế ườ
2) G i H là giao đi m c a ọ ể ủ
BD
và
.CE
Ch ng minh ứ
. .HB HP HC HQ
Đ 2:ề
Câu 5. (3,0 đi m)ể
Cho đ ng tròn tâm O. T đi m M n m ngoài đ ng tròn tâm ườ ừ ể ằ ườ
O
v hai ẽ
ti p tuy n ế ế
,MA MB
v i (O) (ớ
,A B
là hai ti p đi m). V cát tuy n ế ể ẽ ế
MCD
không
qua tâm
,O C
n m gi a ằ ữ
M
và D
1. Ch ng minh t giác ứ ứ
MAOB
n i ti p đ ng trònộ ế ườ
2. Ch ng minh ứ
2
.MA MC MD
M iọ th c m c vui lòng xin liên hắ ắ ệ hotline: 084 283 45 85

Đây là b nả xem thử, vui lòng mua tài li u đ xem chi ti t (có l i gi i)ệ ể ế ờ ả
ĐÁP ÁN
Câu 1.
1)
20 45 3 80A
4.5 9.5 3 16.5
2 5 3 5 3.4 5 11 5
2)
3 4 5 18 24 30 3 6 2
6 7 8 18 21 24 3 4 5 1
x y x y y y
x y x y x y x
V y h ph ng trình có nghi m là ậ ệ ươ ệ
; 1;2x y
3)
2
12 0x x
2
3 4 12 0 3 4 3 0
3 0 3
3 4 0
4 0 4
x x x x x x
x x
x x
x x
V y t p nghi m c a ph ng trình ậ ậ ệ ủ ươ
3; 4S
Câu 2.
1) H c sinh t v (P) và (d)ọ ự ẽ
2) Ta có ph ng trình hoành đ giao đi m ươ ộ ể
P
và
d
:
2 2
3 2 2 3 0x x x x
Ph ng trình có d ng ươ ạ
2 1 3 0a b c
nên có hai nghi m phân bi tệ ệ
1
2
1 2
3 9
2 2
x y
x y
V y giao đi m c a (P) và (d) là ậ ể ủ
1; 2A
và
3 9
;
2 2
B
Câu 3.
1) Ph ng trình ươ
2
3 11 0(1)x x m
có
2
1 4. 3 11 45 12m m
Đ ph ng trình (1) có nghi m kép thì ể ươ ệ
0 1 0( .... )
15
0 45 12 0
4
a luon dung
m
m
V y v i ậ ớ
15
4
m
thì ph ng trình (1) có nghi m kép.ươ ệ
2) Đ ph ng trình (1) có hai nghi m phân bi t thìể ươ ệ ệ
M iọ th c m c vui lòng xin liên hắ ắ ệ hotline: 084 283 45 85

Đây là b nả xem thử, vui lòng mua tài li u đ xem chi ti t (có l i gi i)ệ ể ế ờ ả
0 1 0( ... )
15
0 45 12 0
4
a luon dung
m
m
Theo h th c Vi-et ta có:ệ ứ
1 2
1 2
1
(2)
3 11
x x
x x m
Theo bài ra ta có:
1 2
2017 2018 2019(3)x x
T (2) và (3) ta có h ph ng trình:ừ ệ ươ
1 2 1 2 1 2 1
1 2 1 2 2 2
1 2017 2017 2017 1 1
2017 2018 2019 2017 2018 2019 2 2
x x x x x x x
x x x x x x
Thay
1 2
1, 2x x
vào
1 2
3 11x x m
ta đ cượ
1 .2 3 11 3 9 3( )m m m tm
V y ậ
3m
là giá tr c n tìm ị ầ
Câu 4.
1) Xét tam giác
ABC
có
0
, ( ) 90BD AC CE AB gt BDC BEC
Xét t giác ứ
BCDE
có
0
90 ( )BDC BEC cmt
nên hai đ nh D, E k nhau cùng ỉ ề
nhìn c nh ạ
BC
d i các góc vuông, do đó t giác ướ ứ
BCDE
là t giác n i ti p (dhnb)ứ ộ ế
2) Xét đ ng tròn (O) có ườ
QPB QCB
(hai góc n i ti p cùng ch n cung BQ)ộ ế ắ
Xét
HPQ
và
HCB
có:
QHP BHC
(đ i đ nh); ố ỉ
( )QPH HCB cmt
M iọ th c m c vui lòng xin liên hắ ắ ệ hotline: 084 283 45 85

Đây là b nả xem thử, vui lòng mua tài li u đ xem chi ti t (có l i gi i)ệ ể ế ờ ả
. . . ( )
HP HQ
HPQ HCB g g HP HB HC HQ dfcm
HC HB
M iọ th c m c vui lòng xin liên hắ ắ ệ hotline: 084 283 45 85

Đây là b nả xem thử, vui lòng mua tài li u đ xem chi ti t (có l i gi i)ệ ể ế ờ ả
Câu 5.
1) Vì
,MA MB
là hai ti p tuy n c a ế ế ủ
O
nên
0 0
, 90 , 90MA OA MB OB MAO MBO
Xét t giác ứ
MAOB
có
0 0 0
90 90 180MAO MBO
mà hai góc v trí đ i nhauở ị ố
nên t giác ứ
MAOB
là t giác n i ti pứ ộ ế
2) Xét
O
có
MAC ADC
(góc t o b i ti p tuy n và dây cung và góc n i ạ ở ế ế ộ
ti p cùng ch n cung ế ắ
)AC
Xét
MAC
và
MDA
có:
M
chung;
( )MAC ADC cmt
2
( . ) . ( )
MA MC
MAC MDA g g MA MC MD dfcm
MD MA
M iọ th c m c vui lòng xin liên hắ ắ ệ hotline: 084 283 45 85
