ệ xem ể chi ti t ế (có l i ờ gi i ả ) SỞ GIÁO D C Ụ VÀ ĐÀO T O Ạ KỲ THI TUY N Ể SINH L P Ớ 10 THPT VĨNH PHÚC NĂM H C Ọ 2019-2020 Đ C Ề HÍNH TH C Ứ Đ Ề THI MÔN: TOÁN Th i
ờ gian làm bài: 120 phút, không k gi ể ao đề I.PHẦN TRẮC NGHI M Ệ Câu 1. Cho khối h p ộ ch nh ữ t ậ có chi u ề dài 3 , m chi u r ề ng ộ 2m,và chi u cao ề 1m. Thể tích c a ủ khối h p ộ đã cho b ng ằ A. 3 3m B. 3 6m C. 3 2m D. 3 12m
P 5 10 40 Câu 2. Bi u ể th c ứ có giá tr b ị ng ằ A. 5 10 B. 5 6 C. 5 30 D. 5 2 Câu 3. T ng các ổ nghi m ệ c a ph ủ ư ng ơ trình : 2 x 6x 1 0 b ng ằ A. 6 B. 3 C. 3 D. 6 Câu 4. Tìm t t ấ cả các giá tr c ị a ủ x đ bi ể u ể th c
ứ P x 2 xác định A. x 2 B. x 2 C. x 2 D. x 2 II. PHẦN T L Ự UẬN (8,0 đi m ể ) x 2 y 3 Câu 5. (1,0 đi m ể ). Gi i ả h ph ệ ư ng t ơ rình: x y 6 1 2
(P) : y x Câu 6. (2,0 đi m ể ). Cho parabol 2 và đư ng ờ th ng ẳ
d : y x m (x là n, m ẩ là tham số) a) Tìm t a đ ọ gi ộ ao đi m ể c a ủ parabol (P) v i ớ đư ng t ờ h ng ẳ (d) khi m 4 b) Tìm t t ấ cả các giá tr c ị a t ủ ham s ố m đ đ ể ư ng ờ th ng ẳ d c t ắ parabol (P) t i ạ hai đi m
ể phân biệt A x , y ,B x , y x x y y 5. 1 1 2 2 th a ỏ mãn 1 2 1 2 Câu 7.(1,0 đi m ể ). Ngư i ờ th nh ứ t ấ đi đo n đ ạ ư ng ờ t đ ừ a đi ị m ể A đ n đ ế ịa đi m ể B cách nhau 78km. Sau khi ngư i ờ th nh ứ t ấ đi đư c ợ 1 gi t ờ hì ngư i ờ th hai ứ đi theo chi u ề ngư c ợ l i ạ vẫn trên đo n ạ đư ng đó t ờ B ừ về A. hai ngư i ờ g p ặ nhau đ ở a đi ị m ể C cách B m t ộ quãng đư ng ờ 36km. Tính v n t ậ ốc c a m ủ ỗi ngư i ờ , bi t ế r ng v ằ n ậ t c ố c a ng ủ ư i ờ thứ hai l n h ớ n ơ v n t ậ ốc c a ng ủ ư i ờ th nh ứ
ất là 4km / h và v n t ậ ốc c a ủ mỗi ngư i ờ trong suốt đo n ạ đư ng l ờ à không thay đ i ổ . Câu 8. (3,0 đi m
ể ). Cho tam giác nh n ọ ABC n i ộ ti p đ ế ư ng t ờ ròn O . G i ọ M là m t ộ đi m ể di đ ng t ộ rên cung nhỏ BC c a ủ đư ng t ờ
ròn (O) ( M không trùng v i ớ B,C).G i
ọ H , K, D theo th t ứ ự là chân các đư ng ờ vuông góc k t ẻ M ừ đ n ế các đo n ạ th ng ẳ
AB, AC, BC. a) Ch ng ứ minh t gi ứ ác AHMK n i ộ ti p đ ế ư ng ờ tròn b) Ch ng ứ minh MH.MC M K.MB c) Tìm v t ị rí đi m ể M đ
ể DH DK l n nh ớ ất M i
ọ thắc mắc vui lòng xin liên hệ hotline: 084 283 45 85
ệ xem ể chi ti t ế (có l i ờ gi i ả ) Câu 9. (1,0 đi m ể ) Cho ba số th c ự dư ng ơ a,b, . c Ch ng ứ minh:
2 6a 3b 6 2bc 16
2a b 2 bc
2b 2 a c 2 2 3 ĐÁP ÁN Câu 1.B Câu 2.D Câu 3.A Câu 4.C Câu 5. x 2 y 3 3y 3 x 5 x y 6 x 6 y y 1 V y ậ nghi m ệ c a h ủ ph ệ ư ng t ơ rình là ; x y 5; 1 Câu 6. Phư ng ơ trình hoành đ gi ộ ao đi m ể c a ủ hai đ t ồ h hàm ị số là: 1 1 2 2
x x m
x x m 0 2 2 (*) 1 x 2 y 2 2 2 x x 4 0
x 2x 8 0 a) Thay m 4 vào (*) ta đư c: ợ 2
x 4 y 8 V y ậ v i ớ m 4 thì (d) c t ắ (P) t i ạ hai đi m
ể M 2;2 , N 4;8 b) Số giao đi m ể c a ( ủ d) và (P) b ng s ằ nghi ố m ệ c a ủ phư ng t ơ rình (*) Để (d) c t ắ (P) t i ạ hai đi m ể phân bi t ệ thì (*) có hai nghi m ệ phân bi t ệ 1 1 2 1
4. . m 0 1 2m 0 m 2 2 Đư ng ờ th ng ( ẳ d) c t ắ (P) t i ạ hai đi m ể phân bi t
ệ A x ; y & B x ; y 1 1 2 2 1 2 y x 1 1 2 1 2 y x x , x 2 2 1 2 là hai nghi m ệ c a ủ phư ng t ơ rình (*) 2 b x x 2 1 2 a c
x x 2m 1 2 Theo đ nh l ị ý Vi-et ta có: a Theo đ bài ề ta có: M i
ọ thắc mắc vui lòng xin liên hệ hotline: 084 283 45 85
ệ xem ể chi ti t ế (có l i ờ gi i ả ) 1 2 2 x x y y 5 x x x x 5 1 2 1 2 1 2 1 2 4
4x x x x 2 20 0 1 2 1 2
4 2m 2m 2 2 20 0
4m 8m 20 0 m 1 6(tm) m 1 6(ktm) V y ậ m 1 6 là giá tr c ị n t ầ ìm Câu 7. G i ọ v n t ậ ốc c a ng ủ ư i ờ th nh ứ t
ấ là x(km / h) (x 0) V n ậ tốc c a ng ủ ư i ờ thứ hai h n v ơ n t ậ ốc c a ủ ngư i ờ th nh ứ t ấ là 4km / h V n ậ tốc c a ng ủ ư i
ờ thứ hai là: x 4(km / h) Quãng đư ng ng ờ ư i ờ th nh ứ t ấ đi đư c ợ cho đ n khi ế g p ng ặ ư i ờ th hai ứ là: 78 36 4 2(km) 42 (h) Th i ờ gian ngư i ờ th nh ứ t ấ đi đ n khi ế g p ặ ngư i ờ th 2 l ứ à : x 36 ( Th i ờ gian ngư i ờ th 2 đi ứ đ n ế khi g p ặ ngư i ờ th 1 l ứ à : x 4 gi ) ờ Theo đ bài ề ta có: ngư i ờ th hai ứ xu t ấ phát sau ngư i ờ th nh ứ t ấ 1 gi nên t ờ a có phư ng ơ trình 42 36 1
42(x 4) 36x x x 4 x x 4 2
42x 168 36x x 4x x 12 0
x 12(ktm) 2
x 2x 168 0 x 14 0 x 14( tm) V y ậ v n t ậ ốc c a ủ ngư i ờ th nh ứ t ấ là 14km / , h v n t ậ ốc c a ủ ngư i ờ th hai ứ là 18km / h Câu 8. M i
ọ thắc mắc vui lòng xin liên hệ hotline: 084 283 45 85
ệ xem ể chi ti t ế (có l i ờ gi i ả ) a) Ta có: 0 MH AB(gt) MHA 90 0 0 0
MHA MKA 90 90 180 0
MK AC(gt) MKA 90
Mà hai góc này ở vi trí đ i ố di n nên ệ AHMK là t gi ứ ác n i ộ ti p ế b) Dễ thấy t gi ứ ác ABMC n i ộ ti p ế HBM M
CA (góc ngoài b ng góc t ằ rong t i ạ đỉnh đối di n) ệ Xét H BM và KC M có: MHB MKC 0 90 HBM
KCM (g.g) HBM M C ( A cmt) HM BM KM CM (hai c p ặ c nh t ạ ư ng ơ ng ) ứ MH.MC M . B MK(dfcm) c) Nối D v i ớ H , D v i ớ K
Xét tứ giác BHMD có 0 0 0 BHM BDM 9 0 90 1 80 M i
ọ thắc mắc vui lòng xin liên hệ hotline: 084 283 45 85
Đề thi vào 10 môn Toán tỉnh Vĩnh Phúc năm 2020
692
346 lượt tải
MUA NGAY ĐỂ XEM TOÀN BỘ TÀI LIỆU
CÁCH MUA:
- B1: Gửi phí vào TK:
1133836868- CT TNHH DAU TU VA DV GD VIETJACK - Ngân hàng MB (QR) - B2: Nhắn tin tới Zalo VietJack Official ( nhấn vào đây ) để xác nhận thanh toán và tải tài liệu - giáo án
Liên hệ ngay Hotline hỗ trợ: 084 283 45 85
Đề thi được cập nhật liên tục trong gói này từ nay đến hết tháng 6/2023. Chúng tôi đảm bảo đủ số lượng đề đã cam kết hoặc có thể nhiều hơn, tất cả có BẢN WORD, LỜI GIẢI CHI TIẾT và tải về dễ dàng.
Để tải tài liệu gốc về máy bạn click vào nút Tải Xuống ở trên!
Thuộc bộ (mua theo bộ để tiết kiệm hơn):
- Tailieugiaovien.com.vn giới thiệu bộ 63 đề thi vào 10 môn Toán hệ không chuyên năm 2020 nhằm giúp Giáo viên có thêm tài liệu tham khảo đề luyện thi Toán ôn luyện
- File word có lời giải chi tiết 100%.
- Mua trọn bộ sẽ tiết kiệm hơn tải lẻ 50%.
Đánh giá
4.6 / 5(692 )5
4
3
2
1
Trọng Bình
Tài liệu hay
Giúp ích cho tôi rất nhiều
Duy Trần
Tài liệu chuẩn
Rất thích tài liệu bên VJ soạn (bám sát chương trình dạy)
TÀI LIỆU BỘ BÁN CHẠY MÔN Toán Học
Xem thêmTÀI LIỆU BỘ BÁN CHẠY Ôn vào 10
Xem thêmTài liệu bộ mới nhất

Đây là b nả xem thử, vui lòng mua tài li u đ xem chi ti t (có l i gi i)ệ ể ế ờ ả
S GIÁO D C VÀ ĐÀO T OỞ Ụ Ạ
VĨNH PHÚC
Đ CHÍNH TH C Ề Ứ
KỲ THI TUY N SINH L P 10 THPT Ể Ớ
NĂM H C 2019-2020Ọ
Đ THI MÔN: TOÁNỀ
Th i gian làm bài: 120 phút, không k giao đờ ể ề
I.PH N TR C NGHI MẦ Ắ Ệ
Câu 1. Cho kh i h p ch nh t có chi u dài ố ộ ữ ậ ề
3 ,m
chi u r ng ề ộ
2 ,m
và chi u cao 1m. Th ề ể
tích c a kh i h p đã cho b ngủ ố ộ ằ
A.
3
3m
B.
3
6m
C.
3
2m
D.
3
12m
Câu 2. Bi u th c ể ứ
5 10 40P
có giá tr b ngị ằ
A.
5 10
B.
5 6
C.
5 30
D.
5 2
Câu 3. T ng các nghi m c a ph ng trình : ổ ệ ủ ươ
2
6 1 0x x
b ngằ
A. 6 B.
3
C.
3
D.
6
Câu 4. Tìm t t c các giá tr c a ấ ả ị ủ
x
đ bi u th c ể ể ứ
2P x
xác đ nhị
A.
2x
B.
2x
C.
2x
D.
2x
II. PH N T LU N (8,0 đi m)Ầ Ự Ậ ể
Câu 5. (1,0 đi m). ể Gi i h ph ng trình: ả ệ ươ
2 3
6
x y
x y
Câu 6. (2,0 đi m). ể Cho parabol
2
1
( ) :
2
P y x
và đ ng th ng ườ ẳ
:d y x m
(x là n, m ẩ
là tham s )ố
a) Tìm t a đ giao đi m c a parabol (P) v i đ ng th ng (d) khi ọ ộ ể ủ ớ ườ ẳ
4m
b) Tìm t t c các giá tr c a tham s ấ ả ị ủ ố
m
đ đ ng th ng ể ườ ẳ
d
c t parabol (P) t i hai ắ ạ
đi m phân bi t ể ệ
1 1 2 2
, , ,A x y B x y
th a mãn ỏ
1 2 1 2
5.x x y y
Câu 7.(1,0 đi m). ể Ng i th nh t đi đo n đ ng t đ a đi m ườ ứ ấ ạ ườ ừ ị ể
A
đ n đ a đi m B cách ế ị ể
nhau 78km. Sau khi ng i th nh t đi đ c 1 gi thì ng i th hai đi theo chi u ng c ườ ứ ấ ượ ờ ườ ứ ề ượ
l i v n trên đo n đ ng đó t B v A. hai ng i g p nhau đ a đi m C cách B m t ạ ẫ ạ ườ ừ ề ườ ặ ở ị ể ộ
quãng đ ng 36km. Tính v n t c c a m i ng i, bi t r ng v n t c c a ng i th hai ườ ậ ố ủ ỗ ườ ế ằ ậ ố ủ ườ ứ
l n h n v n t c c a ng i th nh t là ớ ơ ậ ố ủ ườ ứ ấ
4 /km h
và v n t c c a m i ng i trong su t ậ ố ủ ỗ ườ ố
đo n đ ng là không thay đ i.ạ ườ ổ
Câu 8. (3,0 đi m). ể Cho tam giác nh n ọ
ABC
n i ti p đ ng tròn ộ ế ườ
.O
G i M là m t đi mọ ộ ể
di đ ng trên cung nh BC c a đ ng tròn (O) (ộ ỏ ủ ườ
M
không trùng v i ớ
, ).B C
G i ọ
, ,H K D
theo th t là chân các đ ng vuông góc k t M đ n các đo n th ng ứ ự ườ ẻ ừ ế ạ ẳ
, , .AB AC BC
a) Ch ng minh t giác ứ ứ
AHMK
n i ti p đ ng trònộ ế ườ
b) Ch ng minh ứ
. .MH MC MK MB
c) Tìm v trí đi m ị ể
M
đ ể
DH DK
l n nh tớ ấ
M iọ th c m c vui lòng xin liên hắ ắ ệ hotline: 084 283 45 85

Đây là b nả xem thử, vui lòng mua tài li u đ xem chi ti t (có l i gi i)ệ ể ế ờ ả
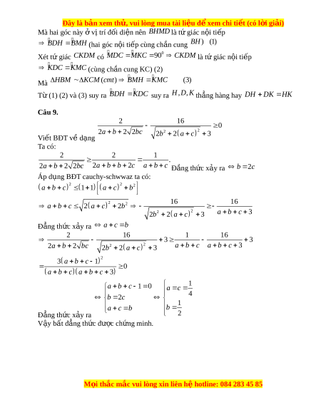
Câu 9. (1,0 đi m) ể Cho ba s th c d ng ố ự ươ
, , .a b c
Ch ng minh:ứ
2
2
2 6 3 6 2 16
2 2
2 2 3
a b bc
a b bc
b a c
ĐÁP ÁN
Câu 1.B
Câu 2.D
Câu 3.A
Câu 4.C
Câu 5.
2 3 3 3 5
6 6 1
x y y x
x y x y y
V y nghi m c a h ph ng trình là ậ ệ ủ ệ ươ
; 5;1x y
Câu 6.
Ph ng trình hoành đ giao đi m c a hai đ th hàm s là:ươ ộ ể ủ ồ ị ố
2 2
1 1
0
2 2
x x m x x m
(*)
a) Thay
4m
vào (*) ta đ c: ượ
2 2
2 2
1
4 0 2 8 0
4 8
2
x y
x x x x
x y
V y v i ậ ớ
4m
thì (d) c t ắ
( )P
t i hai đi m ạ ể
2;2 , 4;8M N
b) S giao đi m c a (d) và (P) b ng s nghi m c a ph ng trình (*)ố ể ủ ằ ố ệ ủ ươ
Đ (d) c t (P) t i hai đi m phân bi t thì (*) có hai nghi m phân bi t ể ắ ạ ể ệ ệ ệ
2
1 1
1 4. . 0 1 2 0
2 2
m m m
Đ ng th ng (d) c t (P) t i hai đi m phân bi t ườ ẳ ắ ạ ể ệ
1 1 2 2
; & ;A x y B x y
1 2
,x x
là hai nghi m c a ph ng trình (*)ệ ủ ươ
2
1 1
2
2 2
1
2
1
2
y x
y x
Theo đ nh lý Vi-et ta có: ị
1 2
1 2
2
2
b
x x
a
c
x x m
a
Theo đ bài ta có:ề
M iọ th c m c vui lòng xin liên hắ ắ ệ hotline: 084 283 45 85

Đây là b nả xem thử, vui lòng mua tài li u đ xem chi ti t (có l i gi i)ệ ể ế ờ ả
2 2
1 2 1 2 1 2 1 2
2
1 2 1 2
2
2
1
5 5
4
4 20 0
4 2 2 20 0 4 8 20 0
1 6( )
1 6( )
x x y y x x x x
x x x x
m m m m
m tm
m ktm
V y ậ
1 6m
là giá tr c n tìmị ầ
Câu 7.
G i v n t c c a ng i th nh t là ọ ậ ố ủ ườ ứ ấ
( / ) ( 0)x km h x
V n t c c a ng i th hai h n v n t c c a ng i th nh t là ậ ố ủ ườ ứ ơ ậ ố ủ ườ ứ ấ
4 /km h
V n t c c a ng i th hai là: ậ ố ủ ườ ứ
4( / )x km h
Quãng đ ng ng i th nh t đi đ c cho đ n khi g p ng i th hai là:ườ ườ ứ ấ ượ ế ặ ườ ứ
78 36 42( )km
Th i gian ng i th nh t đi đ n khi g p ng i th 2 là : ờ ườ ứ ấ ế ặ ườ ứ
42
( )h
x
Th i gian ng i th 2 đi đ n khi g p ng i th 1 là : ờ ườ ứ ế ặ ườ ứ
36
(
4x
gi )ờ
Theo đ bài ta có: ng i th hai xu t phát sau ng i th nh t 1 gi nên ta có ph ng ề ườ ứ ấ ườ ứ ấ ờ ươ
trình
2
2
42 36
1 42( 4) 36 4
4
42 168 36 4
12 0 12( )
2 168 0
14 0 14( )
x x x x
x x
x x x x
x x ktm
x x
x x tm
V y v n t c c a ng i th nh t là ậ ậ ố ủ ườ ứ ấ
14 / ,km h
v n t c c a ng i th hai là ậ ố ủ ườ ứ
18 /km h
Câu 8.
M iọ th c m c vui lòng xin liên hắ ắ ệ hotline: 084 283 45 85

Đây là b nả xem thử, vui lòng mua tài li u đ xem chi ti t (có l i gi i)ệ ể ế ờ ả
a) Ta có:
0
0 0 0
0
( ) 90
90 90 180
( ) 90
MH AB gt MHA
MHA MKA
MK AC gt MKA
Mà hai góc này vi trí đ i di n nên ở ố ệ
AHMK
là t giác n i ti pứ ộ ế
b) D th y t giác ễ ấ ứ
ABMC
n i ti p ộ ế
HBM MCA
(góc ngoài b ng góc trong t i ằ ạ
đ nh đ i di n)ỉ ố ệ
Xét
HBM
và
KCM
có:
0
90
( . )
( )
MHB MKC
HBM KCM g g
HBM MCA cmt
HM BM
KM CM
(hai c p c nh t ng ng )ặ ạ ươ ứ
. . ( )MH MC MB MK dfcm
c) N i D v i ố ớ
,H D
v i Kớ
Xét t giác ứ
BHMD
có
0 0 0
90 90 180BHM BDM
M iọ th c m c vui lòng xin liên hắ ắ ệ hotline: 084 283 45 85

Đây là b nả xem thử, vui lòng mua tài li u đ xem chi ti t (có l i gi i)ệ ể ế ờ ả
Mà hai góc này v trí đ i di n nên ở ị ố ệ
BHMD
là t giác n i ti pứ ộ ế
BDH BMH
(hai góc n i ti p cùng ch n cung ộ ế ắ
) (1)BH
Xét t giác ứ
CKDM
có
0
90MDC MKC CKDM
là t giác n i ti p ứ ộ ế
KDC KMC
(cùng ch n cung KC) (2)ắ
Mà
( ) (3)HBM KCM cmt BMH KMC
T (1) (2) và (3) suy ra ừ
BDH KDC
suy ra
, ,H D K
th ng hàng hay ẳ
DH DK HK
Câu 9.
Vi t BĐT v d ng ế ề ạ
2
2
2 16
0
2 2 2
2 2 3
a b bc
b a c
Ta có:
2 2 1
.
2 2
2 2 2
a b b c a b c
a b bc
Đ ng th c x y ra ắ ứ ả
2b c
Áp d ng BĐT cauchy-schwwaz ta có:ụ
2 2
2
2
2
2
2
1 1
16 16
2 2
3
2 2 3
a b c a c b
a b c a c b
a b c
b a c
Đ ng th c x y ra ẳ ứ ả
a c b
2
2
2 16 1 16
3 3
3
2 2
2 2 3
a b c a b c
a b bc
b a c
2
3 1
0
3
a b c
a b c a b c
Đ ng th c x y ra ẳ ứ ả
1
1 0
4
2
1
2
a b c
a c
b c
b
a c b
V y b t đ ng th c đ c ch ng minh.ậ ấ ẳ ứ ượ ứ
M iọ th c m c vui lòng xin liên hắ ắ ệ hotline: 084 283 45 85
