Đây là bản xem th , vu ử i lòng mua tài li u ệ đ xe ể m chi ti t ế (có l i ờ gi i ả ) KỲ THI TUY N Ể SINH VÀO L P Ớ 10 THPT SỞ GIÁO D C Ụ VÀ ĐÀO T O Ạ NĂM H C Ọ : 2023 - 2024 KHÁNH HÒA Môn thi: TOÁN Ngày thi: 05/06/2023 Đ Ề THI CHÍNH TH C Ứ Th i
ờ gian: 120 phút (không k t ể h i ờ gian phát đ ) ề Câu 1 (2,00 đi m) ể Không s d ử ng m ụ áy tính c m ầ tay a) Rút g n bi ọ u t ể h c
ứ A 25 16 4. x y 8 b) Giải h ph ệ ư ng
ơ trình 2x y 1 . d y x Câu 2 (2,50 đi m) ể Trong mặt ph ng ẳ t a
ọ độ Oxy, cho đư ng ờ th ng ẳ : 6 2023 và parabol P 2 : y x . P a) V pa ẽ rabol . d P b) Ch ng
ứ minh cắt tại hai điểm phân biệt. d P c) G i ọ x x x x x x .
1 và 2 là hoành độ giao đi m ể c a ủ và . Tính 1 2 và 1 2 Từ đó lập phư ng ơ trình bậc hai n ẩ t có hai nghi m
ệ t x 2x
t x 2x . 1 1 2 và 2 2 1 Câu 3 (2,00 đi m) ể a) Hư ng ở ng ứ phong trào "Ngày Ch nh ủ t ậ xanh" do T nh đoà ỉ n phát đ ng, ộ Trư ng ờ THCS X ch n 15 h ọ c ọ sinh chia thành hai t ổ tham gia tr ng ồ cây. T ổ 1 tr ng ồ đư c ợ 30 cây, t ổ II tr ng ồ đư c ợ 36 cây. Bi t ế r ng ằ m i ỗ h c ọ sinh ở tổ I tr ng ồ đư c ợ nhi u ề h n ơ m i ỗ h c ọ sinh ở t ổ II là 1 cây. H i ỏ m i ỗ t ổ có bao nhiêu h c ọ sinh?
b) Gạch xây 3 lỗ (như hình v ) ẽ đư c ợ làm b ng ằ đ t ấ nung, thư ng ờ đư c ợ s ử d ng ụ
trong các công trình xây d ng ự có d ng ạ hình h p ộ chữ nh t ậ v i ớ chi u ề dài 220 mm, chi u ề r ng ộ 105 mm, chi u ề cao 60 mm. M i
ỗ lỗ là hình trụ có tr c ụ song song v i ớ chi u c ề ao viên gạch, đư ng kí ờ nh đáy là 14 mm. Tính th t ể ích ph n đ ầ t ấ 2 nung c a ủ m t ộ viên g c ạ h. Bi t ế V a b ; c V r h
lần lượt là công th c ứ tính hình h p ộ chữ nh t
ậ và hình trụ (trong đó a, b, c là ba kích thư c ớ c a ủ hình h p ộ ch nh ữ
ật, r là bán kính đư ng
ờ tròn đáy, h là chiều cao hình tr ; ụ lấy 3 ,14 ). O Câu 4 (3,00 đi m) ể Cho đư ng ờ tròn đư ng ờ kính AB và đi m ể C thuộc đư ng
ờ tròn sao cho AC BC (C AB H AB khác A). V ẽ CH vuông góc v i ớ . a) Ch ng m ứ
inh ABC là tam giác vuông. Tính AC, biết AB = 4 cm, AH = 1 cm. AB E AB b) Trên tia đ i ố c a ủ tia CA lấy đi m
ể D sao cho CD C .
A Vẽ DE vuông góc v i ớ . Ch ng ứ minh BECD là t gi ứ ác n i ộ ti p. ế c) G i ọ I là giao đi m
ể của DE và BC, K là đi m ể đ i ố x ng ứ c a
ủ I qua C, ti p ế tuy n ế của t i
ạ C cắt KA tại O M. Ch ng
ứ minh KA là tiếp tuyến c a
ủ và đi qua trung đi m ể của CH. Câu 5 (0,50 đi m)
ể Trong quá trình thi t ế k ế công viên thi u ế nhi, kĩ s ư s ử d ng ụ mảnh đất hình chữ nh t ậ có di n
ệ tích 600 m2 để làm bãi đỗ xe. M t ộ c nh ạ c a ủ M i ọ thắc m c
ắ vui lòng xin liên h h
ệ otline: 084 283 45 85
Đây là bản xem th , vu ử i lòng mua tài li u ệ đ xe ể m chi ti t ế (có l i ờ gi i ả ) mảnh đất đư c ợ xây b ng ằ tư ng ờ g c ạ h v i ớ m i ỗ mét chi u ề dài chi phí h t ế 280 000 đ ng, ồ ba c nh ạ còn l i ạ được rào bằng m t ộ loại thép v i ớ mỗi mét chi u ề dài chi phí h t ế 140 000 đ ng, ồ trong đó có m c ở ng ổ r ng 5 ộ m (nh hì ư nh v ). ẽ Tìm chu vi c a ủ m nh đ ả t
ấ sao cho chi phí làm hàng rào là ít nh t ấ .
------------ HẾT ------------ L i ờ giải tham kh o đ ả ư c ơ th c ư hi n ệ b i
ơ team Zalo Gv Nha Trang: Nguy n ê Ba Vinh, Kim Hu ,
ệ Quyên Quyên, Ntt, Minh Lan và Lê Th N i g c ọ Huyên Câu 1 (2,00 đi m) ể Không s d ử ng m ụ áy tính c m ầ tay a) Rút g n bi ọ u t ể h c
ứ A 25 16 4. x y 8 b) Giải h ph ệ ư ng
ơ trình 2x y 1 . L i ờ giải
a) A 25 16 4 5 4 2 7 . x y 8 3 x 9 x 3 . b) 2x y 1 y 8 x y 5 d y x Câu 2 (2,50 đi m) ể Trong mặt ph ng ẳ t a
ọ độ Oxy, cho đư ng ờ th ng ẳ : 6 2023 và parabol P 2 : y x . P a) V pa ẽ rabol . d P b) Ch ng
ứ minh cắt tại hai điểm phân biệt. d P c) G i ọ x x x x x x .
1 và 2 là hoành độ giao đi m ể c a ủ và . Tính 1 2 và 1 2 Từ đó l p ậ phư ng ơ
trình bậc hai ẩn t có hai nghi m
ệ t x 2x
t x 2x . 1 1 2 và 2 2 1 L i ờ giải a) Bảng giá trị x 2 1 0 1 2 2 y x . 4 1 0 1 4 Đ t ồ h ị M i ọ thắc m c
ắ vui lòng xin liên h h
ệ otline: 084 283 45 85
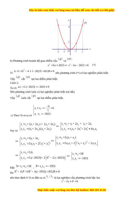
Đây là bản xem th , vu ử i lòng mua tài li u ệ đ xe ể m chi ti t ế (có l i ờ gi i ả ) d P b) Phư ng
ơ trình hoành độ giao đi m ể c a ủ và : 2 2 x 6
x 2023 x 6x 2023 0 * 2 6 4 1 2023 8128 0 Vì nên phư ng t ơ rình (*) có hai nghi m ệ phân biệt. d P
Vậy cắt tại hai điểm phân bi t ệ . Cách 2: Ta có: . a c 1
.( 2023) 2023 0 Nên phư ng ơ trình luôn có hai nghi m ệ phân bi t ệ trái dấu d P
Vậy luôn cắt tại hai điểm phân biệt. 6
x x 6 1 2 1 x x 2023. c) Theo Vi-et ta có 1 2
t +t = (x + 2x ) + (x + 2x )
t +t = x + 2x + x + 2x 1 2 1 2 2 1 1 2 1 2 2 1 t .t (
x + 2x ).(x + 2x ) 2 2
t .t x x + 2x + 2x 4x x Suy ra: 1 2 1 2 2 1 1 2 1 2 1 2 1 2
t +t =3x + 3x
t +t =3.(x + x ) 1 2 1 2 1 2 1 2 2 t .t 5 x x + 2 t .t 5
x x + 2 x + x 2x x 1 2 1 2 1 2 2 2 x + x 1 2 1 2 1 2 1 2 t +t =3.6 1 2 t +t =18 1 2 2 t .t 5.
( 2023)+ 2 6 2.( 2023) t .t 1951 1 2 1 2 Đặt S= t +t =18 P= t .t 1951 1 2 ; 1 2 2 2 Do S 4.P 1 8 4.( 1951) 8128 0 nên theo đ nh
ị lí Vi-et đảo ta có t ; t 1 2 là hai nghi m ệ c a ủ phư ng ơ trình b c ậ hai 2
t S.t P 0 M i ọ thắc m c
ắ vui lòng xin liên h h
ệ otline: 084 283 45 85
Đây là bản xem th , vu ử i lòng mua tài li u ệ đ xe ể m chi ti t ế (có l i ờ gi i ả ) 2
t 18t 1951 0 Vậy phư ng t ơ
rình bậc hai ẩn t cần tìm là: 2
t 18t 1951 0 Câu 3: (2,00 Đi m) ể a) Hư ng ở ng
ứ phong trào “ Ngày chủ nhật xanh” do T nh ỉ đoàn phát đ ng. ộ Trư ng ờ THCS X ch n 15 ọ h c
ọ sinh chia thành hai tổ tham gia tr ng ồ cây. T 1 t ổ r ng ồ đư c ợ 30 cây, t II t ổ r ng ồ đư c ợ 36 cây. Bi t ế rằng m i ỗ h c ọ sinh ở t I t ổ r ng đ ồ ư c ợ nhi u h ề n m ơ i ỗ h c ọ sinh t ở ổ II là 1 cây. H i ỏ m i ỗ t c ổ ó bao nhiêu h c ọ sinh? L i ờ giải: Cach 1: L p â h p ệ hư n ơ g trinh * G i ọ x; y (H c
ọ sinh) lần lượt là s h ố c ọ sinh c a ủ t I và ổ t II. ( ổ
x, y N và x, y < 15) Theo đ t
ề a có: x y 1 5 (1) 30 S c ố ây mỗi h c ọ sinh t I t ổ r ng đ ồ ư c ợ là: x (cây) 36 S c ố ây mỗi h c ọ sinh t II t ổ r ng đ ồ ư c ợ là: y (cây) 30 36 1 M i ỗ h c ọ sinh t ở I t ổ r ng ồ đư c ợ nhi u h ề n m ơ ỗi h c ọ sinh t ở II l ổ à 1 cây nên ta có x y (2) x y 1 5 x 1 5 y x 1 5 y 30 36 30 36
30 y 3615 y y 15 y 1 1 y 15 y y 15 y Từ (1) và (2) ta có h ph ệ ư ng t ơ rình: x y 15 y y x 1 5 y x 1 5 y 2
30y 540 36y 1 5 y y 2
y 51y 540 0 x 1 5 y x 1 5 y y 9 (tm) x 15 9 6
( y 9)( y 60) 0 y 60(ktm) y 9 Vây: S h ố c
ọ sinh của tổ I là 6 (H c ọ sinh) S h ố c ọ sinh c a ủ t II l ổ à 9 (H c ọ sinh) Cach 2: L p â phư n ơ g trinh b c â hai S h ố c ọ sinh S c ố ây / 1hs S c ố ây tr ng đ ồ ư c ợ 30 T I ổ x 30 x 36 T II ổ 15 - x 36 15 x M i ọ thắc m c
ắ vui lòng xin liên h h
ệ otline: 084 283 45 85
Đề thi vào 10 Toán Tỉnh Khánh Hòa năm 2023-2024
589
295 lượt tải
MUA NGAY ĐỂ XEM TOÀN BỘ TÀI LIỆU
CÁCH MUA:
- B1: Gửi phí vào TK:
1053587071
- NGUYEN VAN DOAN - Ngân hàng Vietcombank (QR) - B2: Nhắn tin tới Zalo VietJack Official ( nhấn vào đây ) để xác nhận thanh toán và tải tài liệu - giáo án
Liên hệ ngay Hotline hỗ trợ: 084 283 45 85
Đề thi được cập nhật liên tục trong gói này từ nay đến hết tháng 3/2024. Chúng tôi đảm bảo đủ số lượng đề đã cam kết hoặc có thể nhiều hơn, tất cả có BẢN WORD, LỜI GIẢI CHI TIẾT và tải về dễ dàng.
Để tải tài liệu gốc về máy bạn click vào nút Tải Xuống ở trên!
Thuộc bộ (mua theo bộ để tiết kiệm hơn):
- Tailieugiaovien.com.vn giới thiệu Đề thi chính thức môn Toán vào 10 Tỉnh Khánh Hòa năm 2023-2024 nhằm giúp Giáo viên có thêm tài liệu tham khảo ra đề thi Toán vào 10.
- File word có lời giải chi tiết 100%.
- Mua trọn bộ sẽ tiết kiệm hơn tải lẻ 50%.
Đánh giá
4.6 / 5(589 )5
4
3
2
1

Trọng Bình
Tài liệu hay
Giúp ích cho tôi rất nhiều

Duy Trần
Tài liệu chuẩn
Rất thích tài liệu bên VJ soạn (bám sát chương trình dạy)
TÀI LIỆU BỘ BÁN CHẠY MÔN Toán Học
Xem thêmTÀI LIỆU BỘ BÁN CHẠY Ôn vào 10
Xem thêmTài liệu bộ mới nhất

!""#
$%&%%'(
$)#%#*+ &&%!", -./#%-#
&01% 23/3453/36
172#&
&2/89/:93/34
Th i gian: 120 phút (không k th i gian phát đ )ờ ể ờ ề
.3// Không s d ng máy tính c m tayử ụ ầ
a) Rút g n bi u th c ọ ể ứ
25 16 4.A
b) Gi i h ph ng trình ả ệ ươ
8
2 1
x y
x y
.
338/ Trong m t ph ng t a đ ặ ẳ ọ ộ Oxy, cho đ ng th ng ườ ẳ
: 6 2023d y x
và parabol
2
: .P y x
a) V parabol ẽ
.P
b) Ch ng minh ứ
d
c t ắ
P
t i hai đi m phân bi t.ạ ể ệ
c) G i ọ
1
x
và
2
x
là hoành đ giao đi m c a ộ ể ủ
d
và
.P
Tính
1 2
x x
và
1 2
.x x
T đó l p ph ng trìnhừ ậ ươ
b c hai n ậ ẩ t có hai nghi m ệ
1 1 2
2t x x
và
2 2 1
2 .t x x
43//
a) H ng ng phong trào "Ngày Ch nh t xanh" do T nh đoàn phát đ ng, Tr ng THCS X ch n 15 h cưở ứ ủ ậ ỉ ộ ườ ọ ọ
sinh chia thành hai t tham gia tr ng cây. T 1 tr ng đ c 30 cây, t II tr ng đ c 36 cây. Bi t r ngổ ồ ổ ồ ượ ổ ồ ượ ế ằ
m i h c sinh t I tr ng đ c nhi u h n m i h c sinh t II là 1 cây. H i m i t có bao nhiêu h cỗ ọ ở ổ ồ ượ ề ơ ỗ ọ ở ổ ỏ ỗ ổ ọ
sinh?
b) G ch xây 3 l (nh hình v ) đ c làm b ng đ t nung, th ng đ c s d ngạ ỗ ư ẽ ượ ằ ấ ườ ượ ử ụ
trong các công trình xây d ng có d ng hình h p ch nh t v i chi u dài 220ự ạ ộ ữ ậ ớ ề
mm, chi u r ng 105 mm, chi u cao 60 mm. M i l là hình tr có tr c songề ộ ề ỗ ỗ ụ ụ
song v i chi u cao viên g ch, đ ng kính đáy là 14 mm. Tính th tích ph n đ tớ ề ạ ườ ể ầ ấ
nung c a m t viên g ch. Bi t ủ ộ ạ ế
2
;V a b c V r h
l n l t là công th cầ ượ ứ
tính hình h p ch nh t và hình tr (trong đó ộ ữ ậ ụ a, b, c là ba kích th c c a hìnhướ ủ
h p ch nh t, ộ ữ ậ r là bán kính đ ng tròn đáy, ườ h là chi u cao hình tr ; l y ề ụ ấ
3,14
).
64// Cho đ ng trònườ
O
đ ng kính ườ AB và đi m ể C thu c đ ng tròn sao cho ộ ườ
AC BC
(C
khác A). V ẽ CH vuông góc v i ớ
.AB H AB
a) Ch ng minh ứ
ABC
là tam giác vuông. Tính AC, bi t ế AB = 4 cm, AH = 1 cm.
b) Trên tia đ i c a tia ố ủ CA l y đi m ấ ể D sao cho
.CD CA
V ẽ DE vuông góc v i ớ
.AB E AB
Ch ngứ
minh BECD là t giác n i ti p.ứ ộ ế
c) G i ọ I là giao đi m c a ể ủ DE và BC, K là đi m đ i x ng c a ể ố ứ ủ I qua C, ti p tuy n c a t i ế ế ủ ạ C c t ắ KA t iạ
M. Ch ng minhứ KA là ti p tuy n c a ế ế ủ
O
và đi qua trung đi m c a ể ủ CH.
8/8/ Trong quá trình thi t k công viên thi u nhi, kĩ s s d ngế ế ế ư ử ụ
m nh đ t hình ch nh t có di n tích 600 mả ấ ữ ậ ệ
2
đ làm bãi đ xe. M t c nh c aể ỗ ộ ạ ủ
1 ; <2/=63=468=8
#% %>&%#%

m nh đ t đ c xây b ng t ng g ch v i m i mét chi u dài chi phí h t 280 000 đ ng, ba c nh còn l iả ấ ượ ằ ườ ạ ớ ỗ ề ế ồ ạ ạ
đ c rào b ng m t lo i thép v i m i mét chi u dài chi phí h t 140 000 đ ng, trong đó có m c ng r ng 5ượ ằ ộ ạ ớ ỗ ề ế ồ ở ổ ộ
m (nh hình v ). Tìm chu vi c a m nh đ t sao cho chi phí làm hàng rào là ít nh t.ư ẽ ủ ả ấ ấ
555555555555 H TẾ 555555555555
, ? < @<&#A2
& BC!$% D;D;&1,,;# & %;
.3// Không s d ng máy tính c m tayử ụ ầ
a) Rút g n bi u th c ọ ể ứ
25 16 4.A
b) Gi i h ph ng trình ả ệ ươ
8
2 1
x y
x y
.
,
a)
25 16 4 5 4 2 7.A
b)
8 3 9 3
.
2 1 8 5
x y x x
x y y x y
3 38/ Trong m t ph ng t a đ ặ ẳ ọ ộ Oxy, cho đ ng th ng ườ ẳ
: 6 2023d y x
và parabol
2
: .P y x
a) V parabol ẽ
.P
b) Ch ng minh ứ
d
c t ắ
P
t i hai đi m phân bi t.ạ ể ệ
c) G i ọ
1
x
và
2
x
là hoành đ giao đi m c a ộ ể ủ
d
và
.P
Tính
1 2
x x
và
1 2
.x x
T đó l p ph ngừ ậ ươ
trình b c hai n ậ ẩ t có hai nghi m ệ
1 1 2
2t x x
và
2 2 1
2 .t x x
,
a) B ng giá trả ị
x
2
1
0 1 2
2
.y x
4 1 0 1 4
Đ th ồ ị
1 ; <2/=63=468=8

b) Ph ng trình hoành đ giao đi m c a ươ ộ ể ủ
d
và
:P
2 2
6 2023 6 2023 0 *x x x x
Vì
2
6 4 1 2023 8128 0
nên ph ng trình (*) có hai nghi m phân bi t.ươ ệ ệ
V y ậ
d
c t ắ
P
t i hai đi m phân bi t.ạ ể ệ
Cách 2:
Ta có:
. 1.( 2023) 2023 0a c
Nên ph ng trìnhươ luôn có hai nghi m phân bi tệ ệ trái d uấ
V y ậ
d
luôn c tắ
P
t i hai đi m phân bi t.ạ ể ệ
c) Theo Vi-et ta có
1 2
1 2
6
6
1
2023.
x x
x x
Suy ra:
1 2 1 2 2 1
1 2 1 2 2 1
t +t = ( + 2 ) + ( + 2 )
t .t ( + 2 ).( + 2 )
x x x x
x x x x
1 2 1 2 2 1
2 2
1 2 1 2 1 2 1 2
t +t = + 2 + + 2
t .t + 2 + 2 4
x x x x
x x x x x x
1 2 1 2
2 2
1 2 1 2 1 2
t +t =3 + 3
t .t 5 + 2 +
x x
x x x x
1 2 1 2
2
1 2 1 2 1 2 1 2
t +t =3.( + )
t .t 5 + 2 + 2
x x
x x x x x x
1 2
2
1 2
t +t =3.6
t .t 5.( 2023)+ 2 6 2.( 2023)
1 2
1 2
t +t =18
t .t 1951
Đ t ặ
1 2
S= t +t =18
;
1 2
P= t .t 1951
Do
2 2
S 4. 18 4.( 1951) 8128 0P
nên theo đ nh lí Vi-et đ o ta có ị ả
1 2
t ; t
là hai nghi m c a ph ng trình b c haiệ ủ ươ ậ
2
. 0t S t P
1 ; <2/=63=468=8

2
18 1951 0t t
V y ph ng trình b c hai n t c n tìm là: ậ ươ ậ ẩ ầ
2
18 1951 0t t
423//
a) H ng ng phong trào “ Ngày ch nh t xanh” do T nh đoàn phát đ ng. Tr ng THCS X ch n 15 ưở ứ ủ ậ ỉ ộ ườ ọ
h c sinh chia thành hai t tham gia tr ng cây. T 1 tr ng đ c 30 cây, t II tr ng đ c 36 cây. Bi t ọ ổ ồ ổ ồ ượ ổ ồ ượ ế
r ng m i h c sinh t I tr ng đ c nhi u h n m i h c sinh t II là 1 cây. H i m i t có bao ằ ỗ ọ ở ổ ồ ượ ề ơ ỗ ọ ở ổ ỏ ỗ ổ
nhiêu h c sinh?ọ
L i gi i:ờ ả
C.2, E E AF
G i x; y (H c sinh) l n l t là s h c sinh c a t I và t II. (ọ ọ ầ ượ ố ọ ủ ổ ổ
*
,x y N
và x, y < 15)
Theo đ ta có: ề
15x y
(1)
S cây m i h c sinh t I tr ng đ c là: ố ỗ ọ ổ ồ ượ
30
x
(cây)
S cây m i h c sinh t II tr ng đ c là: ố ỗ ọ ổ ồ ượ
36
y
(cây)
M i h c sinh t I tr ng đ c nhi u h n m i h c sinh t II là 1 cây nên ta cóỗ ọ ở ổ ồ ượ ề ơ ỗ ọ ở ổ
30 36
1
x y
(2)
T (1) và (2) ta có h ph ng trình: ừ ệ ươ
15
30 36
1
x y
x y
15
30 36
1
15
x y
y y
15
30 36 15 15
15 15
x y
y y y y
y y y y
2
15
30 540 36 15
x y
y y y y
2
15
51 540 0
x y
y y
15
15
9( )
( 9)( 60) 0
60( )
x y
x y
y tm
y y
y ktm
15 9 6
9
x
y
! 2 S h c sinh c a t I là 6 (H c sinh)ố ọ ủ ổ ọ
S h c sinh c a t II là 9 (H c sinh)ố ọ ủ ổ ọ
C32, EE AF
S h c sinhố ọ S cây / 1hsố S cây tr ng đ cố ồ ượ
T Iổ x
30
x
30
T IIổ 15 - x
36
15 x
36
1 ; <2/=63=468=8

Ph ng trình: ươ
30 36
1
15x x
G i ọ s ố h c sinh c a T Iọ ủ ổ là
x
(h c sinhọ )
*
; 15x N x
Khi đó, s ố h c sinh c a T IIọ ủ ổ là
15 x
(h c sinhọ )
M i h c sinh t I tr ng đ c ỗ ọ ổ ồ ượ
30
x
(cây)
M i h c sinh t I tr ng đ c ỗ ọ ổ ồ ượ
36
15 x
(cây)
Theo đ bài,ề ta có ph ng trìnhươ :
30 36
1
15x x
30.(15 ) 36 1. .(15 )x x x x
2
450 30 36 15x x x x
2
15 450 30 36 0x x x x
2
81 450 0x x
1
2
75(L)
...
6 ( / )
x
x t m
V y t I có 6 h c sinhậ ổ ọ ; t II có 9 h c sinh.ổ ọ
b) G ch xây 3 l (Nh hình v ) đ c làm b ng đ t nung, th ngạ ỗ ư ẽ ượ ằ ấ ườ
đ c s d ng trong các công trình có d ng hình h p ch nh tượ ử ụ ạ ộ ữ ậ v iớ
chi u dài 220 mm, chi u r ng 105 mm, chi u cao 60 mm. M iề ề ộ ề ỗ l ỗ
là hình tr có tr c song song v i chi u cao viên g ch, đ ngụ ụ ớ ề ạ ườ
kính đáy là 14 mm. Tính th tích ph n đ t nung c a m t viênể ầ ấ ủ ộ
g ch. Bi t V = abc; ạ ế
2
.V r h
l n l t là công th c tính thầ ượ ứ ể tích
hình h p ch nh t và hình tr (trong đó a, b, c là ba kích th cộ ữ ậ ụ ướ c aủ
hình h p ch nh t, r là bán kính đ ng tròn đáy, h là chi u caoộ ữ ậ ườ ề
hình tr , l y ụ ấ
3,14
)
L i gi i:ờ ả
Th tích viên g ch hình h p ch nh t khi ch a khoét l là:ể ạ ộ ữ ậ ư ỗ
1
. . 220.105.60 1386000V a b c
(mm
3
)
Th tích m i l hình tr trong viên g ch là:ể ỗ ỗ ụ ạ
2
2
2
40
. .60 9231,6
2
V r h
(mm
3
)
Th tích ph n đ t nung c a viên g ch là:ể ầ ấ ủ ạ
1 ; <2/=63=468=8