Đây là bản xem th , vu ử i lòng mua tài li u ệ đ xe ể m chi ti t (c ế ó l i ờ gi i ả ) LÝ THUY T Ế THEO BÀI H C Ọ K T Ế N I Ố TRI TH C Ứ TOÁN 7 - T P Ậ 2 Chư ng I ơ . Tỉ l t
ệ hức và đại lư ng ợ t l ỉ ệ Bài 20. Tỉ l t ệ hức A. Lý thuy t ế 1. T l ỉ t ệ h c ứ a c Tỉ lệ th c ứ là đ ng t ẳ h c c ứ a ủ hai t s ỉ : ố b d Chú ý: a c • Tỉ lệ th c ứ b d còn đư c ợ vi t ế dư i ớ d ng a ạ : b = c : d • Ta vi t
ế các tỉ số đã cho dư i ớ d ng ạ t ỉs ố dư i ớ d ng ạ t ỉs ố gi a ữ các s ố nguyên để d s ễ o sánh. Ví d : ụ Các tỉ l t ệ h c ứ 10 2 + 15 3 hay đư c ợ vi t ế là 10 : 15 = 2 : 3 6 0,8 + 9 1,2 hay đư c ợ vi t ế 6 : 9 = 0,8 : 1,2 2. Tính ch t ấ c a t ủ l ỉ t ệ h c ứ a c • N u ế b d thì ad = bc. Ví d : ụ 10 2 + Ta có: 15 3 ⇒ 10 . 3 = 15 . 2 = 30 6 0,8
+ Ta có: 9 1,2 ⇒ 6 . 1,2 = 9 . 0,8 = 7,2 • N u ế ad = bc (v i
ớ a, b, c, d ≠ 0) thì ta có các t l ỉ t ệ h c: ứ M i
ọ thắc mắc vui lòng xin liên h h
ệ otline: 084 283 45 85
Đây là bản xem th , vu ử i lòng mua tài li u ệ đ xe ể m chi ti t (c ế ó l i ờ gi i ả ) a c a b d c d b b d ; c d ; b a ; c a Ví d : ụ Từ đ ng ẳ th c
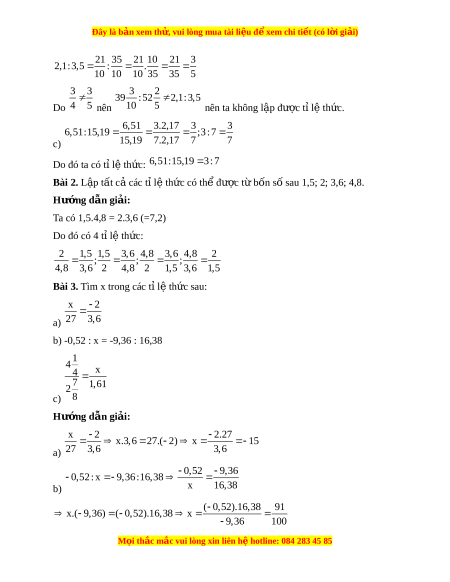
ứ 2 . 15 = 10 . 3 (cùng b ng ằ 30) ta có th ể l p ậ đư c ợ các t ỉlệ th c ứ sau: 2 3 2 10 15 3 15 10 ; ; ; 10 15 3 15 10 2 3 2 a c Nhận xét: T t ừ ỉ lệ th c: ứ b d (v i ớ a, b, c, d ≠ 0) suy ra: bc ad ad bc a ;b ;c ;d d c b a x 3 Ví d : ụ Tìm x trong t l ỉ t ệ h c s ứ au: 6 4 Hư ng d ớ ẫn gi i ả : Ta có: x 3 6.3 2.3.3 9 9 x.4 6.3 x 4,5 6 4 4 2.2 2 2 B. Bài t p t ậ l ự uy n ệ Bài 1. T các t ừ ỉ số sau đây có th l ể p ậ đư c t ợ ỉ l t ệ h c không? ứ a) 3,5 : 5,25 và 14 : 21 3 2 39 : 52 b) 10 5 và 2,1 : 3,5 c) 6,51 : 15,19 và 3 : 7 Hư ng d ớ ẫn gi i ả : 3,5 2 14 2 3,5: 5,25 ;14 : 21 a) Ta có: 5,25 3 21 3 Do đó ta có t l ỉ t ệ h c: ứ 3,5:5,25 14 : 21 3 2 393 262 393.5 3 39 : 52 : b) 10 5 10 5 10.262 4 M i
ọ thắc mắc vui lòng xin liên h h
ệ otline: 084 283 45 85
Đây là bản xem th , vu ử i lòng mua tài li u ệ đ xe ể m chi ti t (c ế ó l i ờ gi i ả ) 21 35 21 10 21 3 2,1: 3,5 : . 10 10 10 35 35 5 3 3 3 2 39 : 52 2 ,1: 3,5 Do 4 5 nên 10 5 nên ta không l p đ ậ ược tỉ l t ệ h c. ứ 6,51 3.2,17 3 3 6,51:15,19 ;3 : 7 c) 15,19 7.2,17 7 7 Do đó ta có t l ỉ t ệ h c: ứ 6,51:15,19 3 : 7 Bài 2. L p t ậ ất c các ả tỉ l t ệ h c có t ứ h đ ể ược t b ừ n s ố s ố au 1,5; 2; 3,6; 4,8. Hư ng d ớ ẫn gi i ả : Ta có 1,5.4,8 = 2.3,6 (=7,2) Do đó có 4 tỉ l t ệ h c: ứ 2 1,5 1,5 3,6 4,8 3,6 4,8 2 ; ; ; 4,8 3,6 2 4,8 2 1,5 3,6 1,5
Bài 3. Tìm x trong các t l ỉ t ệ h c s ứ au: x 2 a) 27 3,6 b) -0,52 : x = -9,36 : 16,38 1 4 x 4 7 1,61 2 c) 8 Hư ng d ớ ẫn gi i ả : x 2 2.27 x.3,6 2 7.( 2) x 15 a) 27 3,6 3,6 0,52 9,36
0,52 : x 9,36 :16,38 b) x 16,38 ( 0,52).16,38 91 x.( 9,36) ( 0,52).16,38 x 9,36 100 M i
ọ thắc mắc vui lòng xin liên h h
ệ otline: 084 283 45 85
Lý thuyết Bài 20: Tỉ lệ thức
293
147 lượt tải
MUA NGAY ĐỂ XEM TOÀN BỘ TÀI LIỆU
CÁCH MUA:
- B1: Gửi phí vào TK:
1053587071
- NGUYEN VAN DOAN - Ngân hàng Vietcombank (QR) - B2: Nhắn tin tới Zalo VietJack Official ( nhấn vào đây ) để xác nhận thanh toán và tải tài liệu - giáo án
Liên hệ ngay Hotline hỗ trợ: 084 283 45 85
Tài liệu được cập nhật liên tục trong gói này từ nay đến hết tháng 6/2023. Chúng tôi đảm bảo đủ số lượng đề đã cam kết hoặc có thể nhiều hơn, tất cả có BẢN WORD, LỜI GIẢI CHI TIẾT và tải về dễ dàng.
Để tải tài liệu gốc về máy bạn click vào nút Tải Xuống ở trên!
Thuộc bộ (mua theo bộ để tiết kiệm hơn):
- Tailieugiaovien.com.vn giới thiệu Bộ lý thuyết Toán 7 tập 2 Kết nối tri thức mới nhất năm 2023 nhằm giúp Giáo viên có thêm tài liệu tham khảo Lý thuyết môn Toán lớp 7.
- File word có lời giải chi tiết 100%.
- Mua trọn bộ sẽ tiết kiệm hơn tải lẻ 50%.
Đánh giá
4.6 / 5(293 )5
4
3
2
1

Trọng Bình
Tài liệu hay
Giúp ích cho tôi rất nhiều

Duy Trần
Tài liệu chuẩn
Rất thích tài liệu bên VJ soạn (bám sát chương trình dạy)
TÀI LIỆU BỘ BÁN CHẠY MÔN Toán Học
Xem thêmTÀI LIỆU BỘ BÁN CHẠY Lớp 7
Xem thêmTài liệu bộ mới nhất

Đây là b n xem th , vui lòng mua tài li u đ xem chi ti t (có l i gi i)ả ử ệ ể ế ờ ả
LÝ THUY T THEO BÀI H C K T N I TRI TH C TOÁN 7 - T P 2Ế Ọ Ế Ố Ứ Ậ
Ch ng I. T l th c và đ i l ng t lươ ỉ ệ ứ ạ ượ ỉ ệ
Bài 20. T l th cỉ ệ ứ
A. Lý thuy t ế
1. T l th c ỉ ệ ứ
T l th c là đ ng th c c a hai t s :ỉ ệ ứ ẳ ứ ủ ỉ ố
a c
b d
Chú ý:
• T l th c ỉ ệ ứ
a c
b d
còn đ c vi t d i d ng a : b = c : dượ ế ướ ạ
• Ta vi t các t s đã cho d i d ng t s d i d ng t s gi a các s nguyên đế ỉ ố ướ ạ ỉ ố ướ ạ ỉ ố ữ ố ể
d so sánh.ễ
Ví d :ụ Các t l th cỉ ệ ứ
+
10 2
15 3
hay đ c vi t là 10 : 15 = 2 : 3ượ ế
+
6 0,8
9 1,2
hay đ c vi t 6 : 9 = 0,8 : 1,2ượ ế
2. Tính ch t c a t l th cấ ủ ỉ ệ ứ
• N u ế
a c
b d
thì ad = bc.
Ví d :ụ
+ Ta có:
10 2
15 3
⇒ 10 . 3 = 15 . 2 = 30
+ Ta có:
6 0,8
9 1,2
⇒ 6 . 1,2 = 9 . 0,8 = 7,2
• N u ad = bc (v i a, b, c, d ≠ 0) thì ta có các t l th c:ế ớ ỉ ệ ứ
M i th c m c vui lòng xin liên h hotline: 084 283 45 85ọ ắ ắ ệ

Đây là b n xem th , vui lòng mua tài li u đ xem chi ti t (có l i gi i)ả ử ệ ể ế ờ ả
a c
b d
;
a b
c d
;
d c
b a
;
d b
c a
Ví d :ụ T đ ng th c 2 . 15 = 10 . 3 (cùng b ng 30) ta có th l p đ c các t lừ ẳ ứ ằ ể ậ ượ ỉ ệ
th c sau:ứ
2 3 2 10 15 3 15 10
; ; ;
10 15 3 15 10 2 3 2
Nh n xét:ậ T t l th c: ừ ỉ ệ ứ
a c
b d
(v i a, b, c, d ≠ 0) suy ra:ớ
bc ad ad bc
a ;b ;c ;d
d c b a
Ví d :ụ Tìm x trong t l th c sau: ỉ ệ ứ
x 3
6 4
H ng d n gi i:ướ ẫ ả Ta có:
x 3 6.3 2.3.3 9 9
x.4 6.3 x 4,5
6 4 4 2.2 2 2
B. Bài t p t luy n ậ ự ệ
Bài 1. T các t s sau đây có th l p đ c t l th c không?ừ ỉ ố ể ậ ượ ỉ ệ ứ
a) 3,5 : 5,25 và 14 : 21
b)
3 2
39 : 52
10 5
và 2,1 : 3,5
c) 6,51 : 15,19 và 3 : 7
H ng d n gi i:ướ ẫ ả
a) Ta có:
3,5 2 14 2
3,5: 5,25 ;14 : 21
5,25 3 21 3
Do đó ta có t l th c: ỉ ệ ứ
3,5: 5,25 14 : 21
b)
3 2 393 262 393.5 3
39 : 52 :
10 5 10 5 10.262 4
M i th c m c vui lòng xin liên h hotline: 084 283 45 85ọ ắ ắ ệ

Đây là b n xem th , vui lòng mua tài li u đ xem chi ti t (có l i gi i)ả ử ệ ể ế ờ ả
21 35 21 10 21 3
2,1:3,5 : .
10 10 10 35 35 5
Do
3 3
4 5
nên
3 2
39 : 52 2,1: 3,5
10 5
nên ta không l p đ c t l th c.ậ ượ ỉ ệ ứ
c)
6,51 3.2,17 3 3
6,51:15,19 ;3: 7
15,19 7.2,17 7 7
Do đó ta có t l th c: ỉ ệ ứ
6,51:15,19 3: 7
Bài 2. L p t t c các t l th c có th đ c t b n s sau 1,5; 2; 3,6; 4,8.ậ ấ ả ỉ ệ ứ ể ượ ừ ố ố
H ng d n gi i:ướ ẫ ả
Ta có 1,5.4,8 = 2.3,6 (=7,2)
Do đó có 4 t l th c:ỉ ệ ứ
2 1,5 1,5 3,6 4,8 3,6 4,8 2
; ; ;
4,8 3,6 2 4,8 2 1,5 3,6 1,5
Bài 3. Tìm x trong các t l th c sau: ỉ ệ ứ
a)
x 2
27 3,6
b) -0,52 : x = -9,36 : 16,38
c)
1
4
x
4
7
1,61
2
8
H ng d n gi i:ướ ẫ ả
a)
x 2 2.27
x.3,6 27.( 2) x 15
27 3,6 3,6
b)
0,52 9,36
0,52 : x 9,36 :16,38
x 16,38
( 0,52).16,38 91
x.( 9,36) ( 0,52).16,38 x
9,36 100
M i th c m c vui lòng xin liên h hotline: 084 283 45 85ọ ắ ắ ệ