Đây là bản xem th , vu ử i lòng mua tài li u ệ đ xe ể m chi ti t (c ế ó l i ờ gi i ả ) Bài 4. Th t ứ t ự h c hi ự n các ệ
phép tính. Quy t c chuy ắ n v ể ế A. Lý thuy t ế
1. Thứ tự thực hi n các phép t ệ ính • V i ớ các bi u ể th c ứ ch ỉcó phép c ng ộ và phép tr ừ ho c
ặ ch ỉcó phép nhân và phép chia ta th c hi ự n các phép t ệ ính theo th t ứ t ự t ừ rái sang ph i ả . • V i ớ các bi u ể th c không có d ứ u ngo ấ c, t ặ a th c ự hi n t ệ heo th t ứ : ự Lũy th a ừ Nhân và chia C ng và t ộ rừ • V i ớ các bi u ể th c có d ứ u ngo ấ c, t ặ a th c ự hi n t ệ rong ngo c ặ trư c, ớ ngoài ngo c ặ sau.
Ví d : ụ + Tính giá tr c ị a ủ bi u t ể h c: ứ 1,5 – 23 + 7,5 : 3 1,5 – 23 + 7,5 : 3
= 1,5 – 8 + 2,5 (Th c hi ự n l ệ ũy th a; ừ nhân chia trư c) ớ = – 6,5 + 2,5 = – 4 3 1 5 7 1 2 : + Tính giá tr c ị a ủ bi u t ể h c:
ứ 2 11 22 4 14 7 3 1 5 7 1 2 : 2 11 22 4 14 7 M i
ọ thắc mắc vui lòng xin liên h h
ệ otline: 084 283 45 85
Đây là bản xem th , vu ử i lòng mua tài li u ệ đ xe ể m chi ti t (c ế ó l i ờ gi i ả ) 3 3 7 3 : 2 22 4 14 (Th c hi ự n t ệ rong ngo c ặ trư c) ớ 3 22 3 2 3 8 (Th c hi ự n nhân chi ệ a trư c) ớ 3 91 1 1 8 8 . 2. Quy tắc chuy n v ể ế • Đ ng ẳ th c có d ứ ng
ạ A = B. Trong đó A là v t ế rái; B là v ph ế i ả c a đ ủ ng ẳ th c. ứ Ví d :
ụ 4,1 + x = 2,3 là m t ộ đ ng ẳ th c, t ứ rong đó 4,1 + x là v t ế rái, 2,3 là v ph ế i ả . • Khi bi n đ ế ổi các đ ng ẳ th c, t ứ a thư ng ờ áp d ng các t ụ ính ch t ấ sau: N u
ế a = b thì: b = a; a + c = b + c. • Quy t c ắ chuy n ể v : ế Khi chuy n ể m t ộ số h ng ạ từ vế này sang v ế kia c a ủ m t ộ đ ng ẳ th c, ứ ta ph i ả đ i ổ d u ấ số h ng ạ đó: d u ấ “+” đ i ổ thành d u ấ “–” và d u ấ “–” đổi thành d u “+”. ấ N u
ế a + b = c thì a = c – b; N u
ế a – b = c thì a = c + b. Ví d : ụ M i
ọ thắc mắc vui lòng xin liên h h
ệ otline: 084 283 45 85
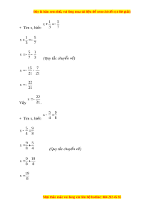
Đây là bản xem th , vu ử i lòng mua tài li u ệ đ xe ể m chi ti t (c ế ó l i ờ gi i ả ) 1 5 x + Tìm x, bi t ế : 3 7 1 5 x 3 7 5 1 x 7 3 (Quy t c chuy ắ n ể v ) ế 15 7 x 21 21 22 x 21 22 x V y ậ 21 . 5 9 x + Tìm x, bi t ế : 4 8 5 9 x 4 8 9 5 x 8 4 (Quy t c chuy ắ n ể v ) ế 9 10 x 8 8 19 x 8 M i
ọ thắc mắc vui lòng xin liên h h
ệ otline: 084 283 45 85
Đây là bản xem th , vu ử i lòng mua tài li u ệ đ xe ể m chi ti t (c ế ó l i ờ gi i ả ) 19 x V y ậ 8 . B. Bài t p t ậ l ự uy n ệ Bài 1. Tìm x, bi t ế : 2 x 0,5 a) 3 ; 2 5 x b) 5 7 ; 5 7 6x c) 4 12 ; 5 7 9 3 2x d) 4 5 20 . Hư ng d ớ ẫn gi i ả 2 x 0,5 a) 3 2 x 0,5 3 2 1 x 3 2 4 3 x 6 6 7 x 6 7 x V y ậ 6 . M i
ọ thắc mắc vui lòng xin liên h h
ệ otline: 084 283 45 85
Lý thuyết Bài 4: Thứ tự thực hiện các phép tính. Quy tắc chuyển vế
214
107 lượt tải
MUA NGAY ĐỂ XEM TOÀN BỘ TÀI LIỆU
CÁCH MUA:
- B1: Gửi phí vào TK:
1053587071
- NGUYEN VAN DOAN - Ngân hàng Vietcombank (QR) - B2: Nhắn tin tới Zalo VietJack Official ( nhấn vào đây ) để xác nhận thanh toán và tải tài liệu - giáo án
Liên hệ ngay Hotline hỗ trợ: 084 283 45 85
Tài liệu được cập nhật liên tục trong gói này từ nay đến hết tháng 6/2023. Chúng tôi đảm bảo đủ số lượng đề đã cam kết hoặc có thể nhiều hơn, tất cả có BẢN WORD, LỜI GIẢI CHI TIẾT và tải về dễ dàng.
Để tải tài liệu gốc về máy bạn click vào nút Tải Xuống ở trên!
Thuộc bộ (mua theo bộ để tiết kiệm hơn):
- Tailieugiaovien.com.vn giới thiệu Bộ lý thuyết Toán 7 tập 1 Kết nối tri thức mới nhất năm 2023 nhằm giúp Giáo viên có thêm tài liệu tham khảo Lý thuyết môn Toán lớp 7.
- File word có lời giải chi tiết 100%.
- Mua trọn bộ sẽ tiết kiệm hơn tải lẻ 50%.
Đánh giá
4.6 / 5(214 )5
4
3
2
1

Trọng Bình
Tài liệu hay
Giúp ích cho tôi rất nhiều

Duy Trần
Tài liệu chuẩn
Rất thích tài liệu bên VJ soạn (bám sát chương trình dạy)
TÀI LIỆU BỘ BÁN CHẠY MÔN Toán Học
Xem thêmTÀI LIỆU BỘ BÁN CHẠY Lớp 7
Xem thêmTài liệu bộ mới nhất

Đây là b n xem th , vui lòng mua tài li u đ xem chi ti t (có l i gi i)ả ử ệ ể ế ờ ả
Bài 4. Th t th c hi n các phép tính. Quy t c chuy n vứ ự ự ệ ắ ể ế
A. Lý thuy tế
1. Th t th c hi n các phép tínhứ ự ự ệ
• V i các bi u th c ch có phép c ng và phép tr ho c ch có phép nhân và phépớ ể ứ ỉ ộ ừ ặ ỉ
chia ta th c hi n các phép tính theo th t t trái sang ph i.ự ệ ứ ự ừ ả
• V i các bi u th c không có d u ngo c, ta th c hi n theo th t :ớ ể ứ ấ ặ ự ệ ứ ự
• V i các bi u th c có d u ngo c, ta th c hi n trong ngo c tr c, ngoài ngo c ớ ể ứ ấ ặ ự ệ ặ ướ ặ
sau.
Ví d :ụ
+ Tính giá tr c a bi u th c: 1,5 ị ủ ể ứ – 2
3
+ 7,5 : 3
1,5 – 2
3
+ 7,5 : 3
= 1,5 – 8 + 2,5 (Th c hi n lũy th a; nhân chia tr c)ự ệ ừ ướ
= – 6,5 + 2,5 = – 4
+ Tính giá tr c a bi u th c: ị ủ ể ứ
3 1 5 7 1 2
:
2 11 22 4 14 7
3 1 5 7 1 2
:
2 11 22 4 14 7
M i th c m c vui lòng xin liên h hotline: 084 283 45 85ọ ắ ắ ệ
Lũy th aừ Nhân và chia C ng và trộ ừ

Đây là b n xem th , vui lòng mua tài li u đ xem chi ti t (có l i gi i)ả ử ệ ể ế ờ ả
3 3 7 3
:
2 22 4 14
(Th c hi n trong ngo c tr c)ự ệ ặ ướ
3 22 3
2 3 8
(Th c hi n nhân chia tr c)ự ệ ướ
3 91
11
8 8
.
2. Quy t c chuy n vắ ể ế
• Đ ng th c có d ng A = B. Trong đó A là v trái; B là v ph i c a đ ng th c.ẳ ứ ạ ế ế ả ủ ẳ ứ
Ví d : ụ 4,1 + x = 2,3 là m t đ ng th c, trong đó 4,1 + x là v trái, 2,3 là v ph i. ộ ẳ ứ ế ế ả
• Khi bi n đ i các đ ng th c, ta th ng áp d ng các tính ch t sau:ế ổ ẳ ứ ườ ụ ấ
N u a = b thì: b = a; a + c = b + c.ế
• Quy t c chuy n v :ắ ể ế Khi chuy n m t s h ng t v này sang v kia c a m tể ộ ố ạ ừ ế ế ủ ộ
đ ng th c, ta ph i đ i d u s h ng đó: d u “+” đ i thành d u “ẳ ứ ả ổ ấ ố ạ ấ ổ ấ –” và d u “ấ –”
đ i thành d u “+”.ổ ấ
N u a + b = c thì a = c ế – b;
N u a ế – b = c thì a = c + b.
Ví d :ụ
M i th c m c vui lòng xin liên h hotline: 084 283 45 85ọ ắ ắ ệ

Đây là b n xem th , vui lòng mua tài li u đ xem chi ti t (có l i gi i)ả ử ệ ể ế ờ ả
+ Tìm x, bi t: ế
1 5
x
3 7
1 5
x
3 7
5 1
x
7 3
(Quy t c chuy n v )ắ ể ế
15 7
x
21 21
22
x
21
V y ậ
22
x
21
.
+ Tìm x, bi t: ế
5 9
x
4 8
5 9
x
4 8
9 5
x
8 4
(Quy t c chuy n v )ắ ể ế
9 10
x
8 8
19
x
8
M i th c m c vui lòng xin liên h hotline: 084 283 45 85ọ ắ ắ ệ

Đây là b n xem th , vui lòng mua tài li u đ xem chi ti t (có l i gi i)ả ử ệ ể ế ờ ả
V y ậ
19
x
8
.
B. Bài t p t luy n ậ ự ệ
Bài 1. Tìm x, bi t:ế
a)
2
x 0,5
3
;
b)
2 5
x
5 7
;
c)
5 7
6x
4 12
;
d)
5 7 9
3 2x
4 5 20
.
H ng d n gi iướ ẫ ả
a)
2
x 0,5
3
2
x 0,5
3
2 1
x
3 2
4 3
x
6 6
7
x
6
V y ậ
7
x
6
.
M i th c m c vui lòng xin liên h hotline: 084 283 45 85ọ ắ ắ ệ

Đây là b n xem th , vui lòng mua tài li u đ xem chi ti t (có l i gi i)ả ử ệ ể ế ờ ả
b)
2 5
x
5 7
5 2
x
7 5
5 2
x
7 5
25 14
x
35 35
11
x
35
V y ậ
11
x
35
.
c)
5 7
6x
4 12
7 5
6x
12 4
7 15
6x
12 12
8
6x
12
8
x : 6
12
8 1
x
12 6
1
x
9
V y ậ
1
x
9
.
M i th c m c vui lòng xin liên h hotline: 084 283 45 85ọ ắ ắ ệ