Chương VI: CÁC ĐẠI LƯỢNG TỈ LỆ 
Chủ đề 1: TỈ LỆ THỨC- DÃY TỈ SỐ BẰNG NHAU 
Dạng 1: TỈ LỆ THỨC- TÌM X  A. PHƯƠNG PHÁP 
Nhắc lại định nghĩa và các tính chất quan trọng của tỉ lệ thức. 
Định nghĩa: Tỉ lệ thức là đẳng thức của hai tỉ số có dạng a c   b d Tỉ lệ thức a c
 còn được viết là: a :b  c : d   b d - Các ngoại tỉ: a và d  - Các trung tỉ: b và c  Ta có các tính chất:  + Nếu a c
 thì ad  . b c   b d + Nếu . a d  . b c  và ; a ; b ;
c d  0 thì ta có các tỉ lệ thức:  a c a b d c d b  ,  ,  ,   b d c d b a c a
B. BÀI TẬP MẪU CÓ HƯỚNG DẪN GIẢI 
Bài tập mẫu 1: Từ đẳng thức 6.63  9.42 và 0, 24.1,61  0,84.0, 46 ta có thể lập được các tỉ lệ thức  nào?  Hướng dẫn giải 
+ Từ đẳng thức 6.63  9.42 ta có thể lập được các tỉ lệ thức sau  6 42 6 9 63 42 9 63  ;  ;  ;    9 63 42 63 9 6 6 42
+ Từ đẳng thức 0, 24.1,61  0,84.0, 46 ta có thể lập được các tỉ lệ thức sau :  0, 24 0, 46 1, 61 0, 46 0, 24 0,84 0,84 1, 61  ;  ;  ;    0,84 1, 61 0,84 0, 24 0, 46 1, 61 0, 24 0, 46
Bài tập mẫu 2: Tìm x trong các trường hợp sau:  1 4  a. x 2  x           b. 4    27 3, 6 7 1, 61 2 8 Hướng dẫn giải  a. Áp dụng tính chất:  b. Áp dụng tính chất: 7 1 2 x  4 1,61  3, 6x  2.  27  8 4 2  .27 23 17 x    x  1,61  3, 6 8 4 x  1  ,5  23 27, 37 x    8 4 Vậy: x  1
 ,5 là giá trị cần tìm  27, 37 23 x  :   4 8 27, 37 8 x    4 3 119 x    50 Vậy:  119 x   là giá trị cần tìm.  50
Bài tập mẫu 3: Tìm x trong các tỉ lệ thức sau :  1 a. 1,35 1, 25  3x x     b.  4      c. 3 3    0, 2 0,1x 2, 7 1 4 20 2 4 Hướng dẫn giải  a. Áp dụng tính chất:  b. Áp dụng tính chất:  c. Áp dụng tính chất: 
1, 35.0,1x  1, 25.0, 2  1 1 3.20  4.3x   2 3 x   2,7  4 4 0,135x  0.25  60 12x   9 1 27 0, 25 3 x     60 x    4 4 10 x  x  5  0,135 12 27 27 50  x   
Vậy: x  5 là giá trị cần tìm.  x    4 40 27   27 27 x  :   Vậy  50 x   là giá trị cần tìm.  40 4 27 27 4 x     40 27 4 x    40 1 x    10 Vậy:  1 x   là giá trị cần tìm.  10
Bài tập mẫu 4: Tìm x trong các trường hợp sau:  a.  1 2 1 1
0, 4 : x  x : 0, 9 b. 0, 2 :1
 : 6x  7 c. 13 :1  26 :2x   1 d. 1, 2 5   5 3 3 3 x  3 4 Hướng dẫn giải  a. Áp dụng tính chất:  b. Áp dụng tính chất:  0, 4  x 2   x 0,9 0, 2 3    1 6x  7 0, 4.0, 9  . x x   1 5 2 x  0,36  2 1 0, 2.(6x  7)  1  x  0  ,6  3 5 Vậy  2 2 6 x  0
 ,6 là giá trị cần tìm.   (6x  7)    10 3 5 1 4  (6x  7)   5 5 4 1 6x  7  :   5 5 4 5 6x  7    5 1 6x  7  4  6x  4  7  6x  3   3 x    6 1 x    2  Vậy:  1 x   là giá trị cần tìm.  2
c. Áp dụng tính chất ta có :  d. Áp dụng tính chất:  40 4 26
1, 2  4  5(x  3)  :    3 3 2x 1 4,8  5(x  3)  40 3 26     4,8 3 4 2x 1 x  3    5 26 10    24 2x 1 x  3    25 10 (2x 1)  26  24 x   3  26 25 2x 1    10 24  3 25 x    13 25 2x 1    5 13 51 2x  1  x     5 25 8 2x    Vậy  51 x    là giá trị cần tìm.  5 25 8   x  : 2  5 8 1 x    5 2 4 x    5 Vậy:  4 x   là giá trị cần tìm  5
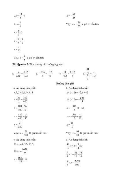
Bài tập mẫu 5: Tìm x trong các trường hợp sau:  41   a. x 0,15    x   b. 2,6 12    c. 11 6, 32    d. 10    3,15 7, 2 x 42 10, 5 x 9 7, 3 4 Hướng dẫn giải  a. Áp dụng tính chất:  b. Áp dụng tính chất:  .7 x , 2  0,15 3,15  x  ( 1  2)  2  ,6 42  36 189 546 x     x  ( 1  2)     5 400 5 189 36 546 x  :   x   : ( 12  )  400 5 5 189 5 546 1  x     x      400 36 5 12 21 91 x    x    320 10 Vậy:  21 x   là giá trị cần tìm.  Vậy:  91 x   là giá trị cần tìm.  320 10 c. Áp dụng tính chất:  d. Áp dụng tính chất:   
11 x  6, 3210, 5  41 9 7,3   x   10 4 1659 11 x    25 9 41 73  x     4 10 10 1659 x  :11  25 9 2993  x    4 100 
Phương pháp giải Toán 7 (cơ bản, nâng cao) Học kì 2
                                                                
                                    
                                    
                                        
                                        
                                        
                                        
                                        
                                    
                                    755 
                                
                                
                                 378 lượt tải
                            
                            
                            
                        
                            MUA NGAY ĐỂ XEM TOÀN BỘ TÀI LIỆU
                        
                        CÁCH MUA:
- B1: Gửi phí vào TK: 1053587071- NGUYEN VAN DOAN - Ngân hàng Vietcombank (QR)
- B2: Nhắn tin tới Zalo VietJack Official ( nhấn vào đây ) để xác nhận thanh toán và tải tài liệu - giáo án
Liên hệ ngay Hotline hỗ trợ: 084 283 45 85
Chúng tôi đảm bảo đủ số lượng đề đã cam kết hoặc có thể nhiều hơn, tất cả có BẢN WORD, LỜI GIẢI CHI TIẾT và tải về dễ dàng.
Để tải tài liệu gốc về máy bạn click vào nút Tải Xuống ở trên!
Thuộc bộ (mua theo bộ để tiết kiệm hơn):
- Tailieugiaovien.com.vn giới thiệu bộ Chuyên đề Phương pháp giải Toán 7 biên soạn theo sgk Toán 7 Chân trời sáng tạo, các bộ sách khác có thể sử dụng được, từ cơ bản đến nâng cao gồm các dạng bài tập với phương pháp giải chi tiết nhằm giúp Giáo viên có thêm tài liệu tham khảo.
- File word có lời giải chi tiết 100%.
- Mua trọn bộ sẽ tiết kiệm hơn tải lẻ 50%.
Đánh giá
4.6 / 5(755 )5
                                            4
                                            3
                                            2
                                            1
                                             
                                        Trọng Bình
                                                
                                                
                                                
                                                
                                                
                                                Tài liệu hay
                                            
                                            
                                            Giúp ích cho tôi rất nhiều
 
                                        Duy Trần
                                                
                                                
                                                
                                                
                                                
                                                Tài liệu chuẩn
                                            
                                            
                                            Rất thích tài liệu bên VJ soạn (bám sát chương trình dạy)
 
                                             
                                             
                                             
                                             
                                            
 
                        
 Nhắn tin Zalo
 Nhắn tin Zalo