Đây là bản xem th , vu ử i lòng mua tài li u ệ đ xe ể m chi ti t (c ế ó l i ờ gi i ả ) Bài 17. Dấu c a t ủ am th c b ứ c hai ậ Câu 1. B ng ả xét d u ấ nào sau đây là b ng ả xét d u ấ c a ủ tam th c ứ f(x) = x2 + 12x + 36 là: A. ; B. ; C. ; D. . Câu 2. Tam th c y = x ứ 2 – 12x – 13 nh n ậ giá tr âm ị khi và ch khi ỉ x –13 A. x 1 ; x –1 B. x 13 ;
C. – 13 < x < 1;
D. – 1 < x < 13. Câu 3. Tam th c nào ứ sau đây nh n ậ giá tr âm ị v i ớ m i ọ x < 2 A. y = x2 – 5x + 6 ; B. y = 16 – x2 ; C. y = x2 – 2x + 3;
D. y = – x2 + 5x – 6. Câu 4. Phư ng
ơ trình x2 – 2(m – 1)x + m – 3 = 0 có hai nghi m ệ trái d u ấ nhau khi và chỉ khi A. m < 3; M i
ọ thắc mắc vui lòng xin liên h h
ệ otline: 084 283 45 85
Đây là bản xem th , vu ử i lòng mua tài li u ệ đ xe ể m chi ti t (c ế ó l i ờ gi i ả ) B. m < 1; C. m = 1; D. 1 < m < 3. Câu 5. Phư ng t ơ
rình x2 + x + m = 0 vô nghi m ệ khi và ch khi ỉ : 3 m A. 4 ; 3 m B. 4 ; 1 m C. 4 ; 5 m D. 4 . Câu 6. Các giá tr ị m làm cho bi u t ể h c f
ứ (x) = x2 + 4x + m – 5 luôn dư ng l ơ à: A. m < 9; B. m ≥ 9; C. m > 9; D. m .
Câu 7. Cho hàm số f(x) = mx2 – 2mx + m + 1. Giá tr c ị a m ủ đ f ể (x) > 0, x . A. m ≥ 0; B. m > 0; C. m < 0; D. m ≤ 0. Câu 8. T p nghi ậ m ệ c a ủ b t ấ phư ng t ơ rình x2 + 4x + 4 > 0 là: A. (2; + ∞) ; B. ℝ ; ( ; 2) ( 2; ) C. ; ( ; 2) (2; ) D. . M i
ọ thắc mắc vui lòng xin liên h h
ệ otline: 084 283 45 85
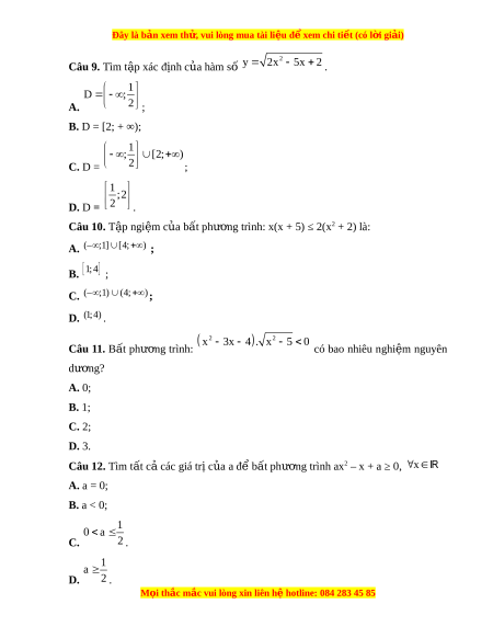
Đây là bản xem th , vu ử i lòng mua tài li u ệ đ xe ể m chi ti t (c ế ó l i ờ gi i ả ) 2 Câu 9. Tìm t p ậ xác đ nh c ị a hàm ủ s ố y 2x 5x 2 . 1 D ; A. 2 ;
B. D = [2; + ∞); 1 ; [2; ) C. D = 2 ; 1 ;2
D. D = 2 . Câu 10. T p ngi ậ m ệ c a ủ b t ấ phư ng t ơ
rình: x(x + 5) ≤ 2(x2 + 2) là: A. – ( ; 1] [ ; 4 ) ; B. 1;4 ; C. – ( ; 1) ( ; 4 ) ; D. (1;4) . 2 2 x 3x 4 . x 5 0 Câu 11. Bất phư ng ơ trình: có bao nhiêu nghi m ệ nguyên dư ng? ơ A. 0; B. 1; C. 2; D. 3.
Câu 12. Tìm tất c các ả giá tr c ị a ủ a đ b ể ất phư ng t ơ rình ax2 – x + a ≥ 0, x A. a = 0; B. a < 0; 1 0 a C. 2 . 1 a D. 2 . M i
ọ thắc mắc vui lòng xin liên h h
ệ otline: 084 283 45 85
Đây là bản xem th , vu ử i lòng mua tài li u ệ đ xe ể m chi ti t (c ế ó l i ờ gi i ả ) Câu 13. Đ f
ể (x) = x2 + (m + 1)x +2m + 7 > 0 v i ớ m i ọ x thì A. – 3 ≤ m ≤ 9; m 3 B. m 9 . C. – 3 < m < 9; m 3 D. m 9 .
Câu 14. Tìm tất cả các giá trị th c ự c a t ủ ham s m ố đ b ể ất phư ng ơ trình
f(x) = (m – 3)x2 + (m + 2)x – 4 > 0 vô nghiệm m 22 A. m 2 ; B. – 22 ≤ m ≤ 2;
C. – 22 < m < 2; 22 m 2 D. m 3 . Câu 15. Cho b t ấ phư ng
ơ trình 2x2 – 4x + m + 5 > 0. Tìm m để b t ấ phư ng ơ trình đúng x 3 ? A. m ≥ – 11; B. m > – 11; C. m < – 11; D. m < 11. LỜI GIẢI CHI TI T Ế Câu 1. M i
ọ thắc mắc vui lòng xin liên h h
ệ otline: 084 283 45 85
Trắc nghiệm Dấu của tam thức bậc hai Toán 10 Kết nối tri thức
229
115 lượt tải
MUA NGAY ĐỂ XEM TOÀN BỘ TÀI LIỆU
CÁCH MUA:
- B1: Gửi phí vào TK:
1053587071
- NGUYEN VAN DOAN - Ngân hàng Vietcombank (QR) - B2: Nhắn tin tới Zalo VietJack Official ( nhấn vào đây ) để xác nhận thanh toán và tải tài liệu - giáo án
Liên hệ ngay Hotline hỗ trợ: 084 283 45 85
Tài liệu được cập nhật liên tục trong gói này từ nay đến hết tháng 6/2023. Chúng tôi đảm bảo đủ số lượng đề đã cam kết hoặc có thể nhiều hơn, tất cả có BẢN WORD, LỜI GIẢI CHI TIẾT và tải về dễ dàng.
Để tải tài liệu gốc về máy bạn click vào nút Tải Xuống ở trên!
Thuộc bộ (mua theo bộ để tiết kiệm hơn):
- Tailieugiaovien.com.vn giới thiệu Bộ câu hỏi trắc nghiệm Toán 10 Kết nối tri thức cả năm mới nhất nhằm giúp Giáo viên có thêm tài liệu tham khảo Trắc nghiệm Toán 10.
- File word có lời giải chi tiết 100%.
- Mua trọn bộ sẽ tiết kiệm hơn tải lẻ 50%.
Đánh giá
4.6 / 5(229 )5
4
3
2
1

Trọng Bình
Tài liệu hay
Giúp ích cho tôi rất nhiều

Duy Trần
Tài liệu chuẩn
Rất thích tài liệu bên VJ soạn (bám sát chương trình dạy)
TÀI LIỆU BỘ BÁN CHẠY MÔN Toán Học
Xem thêmTÀI LIỆU BỘ BÁN CHẠY Lớp 10
Xem thêmTài liệu bộ mới nhất

Đây là b n xem th , vui lòng mua tài li u đ xem chi ti t (có l i gi i)ả ử ệ ể ế ờ ả
Bài 17. D u c a tam th c b c haiấ ủ ứ ậ
Câu 1. B ng xét d u nào sau đây làả ấ b ng xét d u ả ấ c a tam th c f(x) = xủ ứ
2
+ 12x +
36 là:
A. ;
B. ;
C. ;
D. .
Câu 2. Tam th c y = xứ
2
– 12x – 13 nh n giá tr âm khi và ch khiậ ị ỉ
A. ;
B. ;
C. – 13 < x < 1;
D. – 1 < x < 13.
Câu 3. Tam th c nào sau đây nh n giá tr âm v i m i x < 2ứ ậ ị ớ ọ
A. y = x
2
– 5x + 6 ;
B. y = 16 – x
2
;
C. y = x
2
– 2x + 3;
D. y = – x
2
+ 5x – 6.
Câu 4. Ph ng trình xươ
2
– 2(m – 1)x + m – 3 = 0 có hai nghi m trái d u nhau khiệ ấ
và ch khiỉ
A. m < 3;
M i th c m c vui lòng xin liên h hotline: 084 283 45 85ọ ắ ắ ệ
x –13
x 1
x –1
x 13

Đây là b n xem th , vui lòng mua tài li u đ xem chi ti t (có l i gi i)ả ử ệ ể ế ờ ả
B. m < 1;
C. m = 1;
D. 1 < m < 3.
Câu 5. Ph ng trình xươ
2
+ x + m = 0 vô nghi m khi và ch khi:ệ ỉ
A. ;
B. ;
C. ;
D. .
Câu 6. Các giá tr ị m làm cho bi u th c f(x) = xể ứ
2
+ 4x + m – 5 luôn d ng là:ươ
A. m < 9;
B. m ≥ 9;
C. m > 9;
D. .
Câu 7. Cho hàm s f(x) = mxố
2
– 2mx + m + 1. Giá tr c a m đ f(x) > 0, ị ủ ể .
A. m ≥ 0;
B. m > 0;
C. m < 0;
D.
m ≤ 0.
Câu 8. T p nghi m c a b t ph ng trình xậ ệ ủ ấ ươ
2
+ 4x + 4 > 0 là:
A. (2; + ∞) ;
B. ℝ ;
C.
;
D.
.
M i th c m c vui lòng xin liên h hotline: 084 283 45 85ọ ắ ắ ệ
3
m
4
3
m
4
1
m
4
5
m
4
m
x
( ; 2) ( 2; )
( ; 2) (2; )

Đây là b n xem th , vui lòng mua tài li u đ xem chi ti t (có l i gi i)ả ử ệ ể ế ờ ả
Câu 9. Tìm t p xác đ nh c a hàm s ậ ị ủ ố .
A. ;
B. D = [2; + ∞);
C. D = ;
D. D = .
Câu 10. T p ngi m c a b t ph ng trình: x(x + 5) ≤ 2(xậ ệ ủ ấ ươ
2
+ 2) là:
A. ;
B. ;
C. ;
D. .
Câu 11. B t ph ng trình: ấ ươ có bao nhiêu nghi m nguyênệ
d ng?ươ
A. 0;
B. 1;
C. 2;
D. 3.
Câu 12. Tìm t t c các giá tr c a ấ ả ị ủ a đ b t ph ng trình axể ấ ươ
2
– x + a ≥ 0,
A. a = 0;
B. a < 0;
C. .
D. .
M i th c m c vui lòng xin liên h hotline: 084 283 45 85ọ ắ ắ ệ
2
y 2x 5x 2
1
D ;
2
1
; [2; )
2
1
;2
2
– ;1 );( ] [4
1;4
– ;1 )) ;( (4
(1; 4)
2 2
x 3x 4 . x 5 0
x
1
0 a
2
1
a
2

Đây là b n xem th , vui lòng mua tài li u đ xem chi ti t (có l i gi i)ả ử ệ ể ế ờ ả
Câu 13. Đ f(x) = xể
2
+ (m + 1)x +2m + 7 > 0 v i m i xớ ọ thì
A. – 3 ≤ m ≤ 9;
B. .
C. – 3 < m < 9;
D. .
Câu 14. Tìm t t c các giá tr th c c a tham s m đấ ả ị ự ủ ố b t ph ng trình ể ấ ươ
f(x) = (m – 3)x
2
+ (m + 2)x – 4 > 0 vô nghi mệ
A. ;
B. – 22 ≤ m ≤ 2;
C. – 22 < m < 2;
D. .
Câu 15. Cho b t ph ng trình 2xấ ươ
2
– 4x + m + 5 > 0. Tìm m đ b t ph ng trìnhể ấ ươ
đúng ?
A. m ≥ – 11;
B. m > – 11;
C. m < – 11;
D. m < 11.
L I GI I CHI TI TỜ Ả Ế
Câu 1.
M i th c m c vui lòng xin liên h hotline: 084 283 45 85ọ ắ ắ ệ
m 3
m 9
m 3
m 9
m 22
m 2
22 m 2
m 3
x 3

Đây là b n xem th , vui lòng mua tài li u đ xem chi ti t (có l i gi i)ả ử ệ ể ế ờ ả
Đáp án đúng là: C
Xét ph ng trình f(x) = xươ
2
+ 12x + 36 = 0
x = – 6 và a = 1 > 0.
Ta có b ng xét d u ả ấ
x – ∞ – 6 + ∞
f(x) + 0 +
Đáp án đúng là C
Câu 2.
Đáp án đúng là: D
Xét x
2
– 12x – 13 =0
x 13
x 1
Ta có b ng xét d uả ấ
x – ∞ –1 13 +∞
x
2
– 12x – 13
+ 0 – 0 +
D a vào b ng xét d u ta có tam th c ự ả ấ ứ y = x
2
– 12x – 13 nh n giá tr âm khi ậ ị
– 1 < x < 13.
V y đáp án đúng là Dậ
Câu 3.
Đáp án đúng là: D
Xét đáp án A: y = x
2
– 5x +6
Xét x
2
– 5x +6 = 0
x 3
x 2
Ta có b ng xét d uả ấ
x – ∞ 2 3 +∞
x
2
– 5x + 6
+ 0 – 0 +
D a vào b ng xét d u ta có tam th c ự ả ấ ứ y = x
2
– 5x + 6 nh n giá tr âm khi ậ ị 2 < x < 3.
V y đáp án A sai.ậ
Xét đáp án B: y = 16 – x
2
M i th c m c vui lòng xin liên h hotline: 084 283 45 85ọ ắ ắ ệ