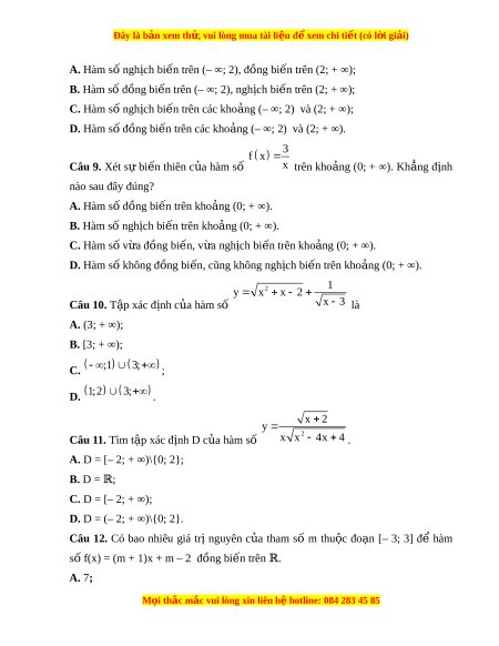
Đây là bản xem th , vu ử i lòng mua tài li u ệ đ xe ể m chi ti t (c ế ó l i ờ gi i ả ) Bộ sách: KẾT N I Ố TRI TH C Ứ Chư ng ơ VI. Hàm s , đ ố t ồ h và ị ng d ứ ng ụ Bài 15. Hàm số 2 Câu 1. T p xác ậ định c a
ủ hàm số y x 3x 4 là: A. ; 1 4; ; B. [- 1; 4]; C. (- 1; 4); D. ; 1 4; . 3x 1 y
Câu 2. Tìm t p xác đ ậ nh ị D c a ủ hàm số 2x 2 . A. D = ℝ; B. D = (1; + ∞); C. D = \ ℝ {1}; D. D = [1; + ∞).
Câu 3. Cho hàm số f(x) = 4 – 3x. Kh ng ẳ đ nh nào ị sau đây đúng? 4 ;
A. Hàm số đồng bi n t ế rên 3 ; 4 ;
B. Hàm số nghịch bi n ế trên 3 ;
C. Hàm số đồng bi n t ế rên ℝ; 3 ;
D. Hàm số đồng bi n t ế rên 4 . x 1 y Câu 4. Cho hàm s : ố 2
2x 3x 1. Trong các đi m ể sau đây, đi m ể nào thu c ộ đồ thị hàm số: A. M(2; 3); M i
ọ thắc mắc vui lòng xin liên h h
ệ otline: 084 283 45 85
Đây là bản xem th , vu ử i lòng mua tài li u ệ đ xe ể m chi ti t (c ế ó l i ờ gi i ả ) B. N(0; – 1); C. P(12; – 12); D. Q(- 1; 0). 2 y Câu 5. T p xác đ ậ ịnh c a hàm ủ số 5 x là A. D = \ ℝ {5}; B. D = (– ∞; 5); C. D = (– ∞; 5]; D. D = (5; + ∞).
Câu 6. Cho hàm số y = f(x) = x3 – 6x2 + 11x – 6. Kh ng ẳ đ nh nào ị sau đây sai: A. f(1) = 0; B. f(2) = 0; C. f(– 2) = – 60; D. f(– 4) = – 24. 1 y 2x 1 Câu 7. T p xác đ ậ ịnh c a hàm ủ số 2 3x là: 1 2 ; A. 2 3 ; 1 3 ; B. 2 2 ; 2 ; C. 3 ; 1 ; D. 2 .
Câu 8. Xét tính đồng bi n, ế ngh ch bi ị n ế c a hàm ủ s f
ố (x) = x2 – 4x + 5 trên kho ng ả
(– ∞; 2) và trên kho ng ( ả 2; + ∞). Kh ng đ ẳ nh nào s ị au đây đúng? M i
ọ thắc mắc vui lòng xin liên h h
ệ otline: 084 283 45 85
Đây là bản xem th , vu ử i lòng mua tài li u ệ đ xe ể m chi ti t (c ế ó l i ờ gi i ả )
A. Hàm số nghịch bi n t
ế rên (– ∞; 2), đ ng bi ồ n t ế rên (2; + ∞);
B. Hàm số đồng bi n t
ế rên (– ∞; 2), ngh ch bi ị n t ế rên (2; + ∞);
C. Hàm số nghịch bi n t ế rên các kho ng
ả (– ∞; 2) và (2; + ∞);
D. Hàm số đồng bi n t ế rên các kho ng
ả (– ∞; 2) và (2; + ∞). 3 f x Câu 9. Xét sự bi n ế thiên c a ủ hàm số x trên kho ng ả (0; + ∞). Kh ng ẳ đ nh ị nào sau đây đúng?
A. Hàm số đồng bi n t ế rên kho ng ( ả 0; + ∞).
B. Hàm số nghịch bi n ế trên kho ng ả (0; + ∞). C. Hàm số v a đ ừ ồng bi n, v ế a ừ ngh ch bi ị n ế trên kho ng ả (0; + ∞).
D. Hàm số không đồng bi n, cũng không ngh ế ịch bi n t ế rên kho ng ( ả 0; + ∞). 1 2 y x x 2 Câu 10. T p xác đ ậ ịnh c a hàm ủ số x 3 là A. (3; + ∞); B. [3; + ∞); C. ; 1 3; ;
D. 1;2 3; . x 2 y Câu 11. Tìm t p ậ xác đ nh ị D c a hàm ủ số 2 x x 4x 4 .
A. D = [– 2; + ∞)\{0; 2}; B. D = ; ℝ C. D = [– 2; + ∞);
D. D = (– 2; + ∞)\{0; 2}.
Câu 12. Có bao nhiêu giá trị nguyên c a ủ tham số m thu c ộ đo n ạ [– 3; 3] để hàm
số f(x) = (m + 1)x + m – 2 đồng bi n t ế rên ℝ. A. 7; M i
ọ thắc mắc vui lòng xin liên h h
ệ otline: 084 283 45 85
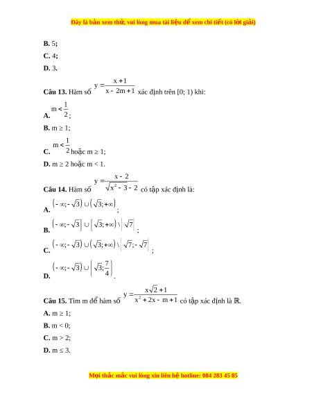
Đây là bản xem th , vu ử i lòng mua tài li u ệ đ xe ể m chi ti t (c ế ó l i ờ gi i ả ) B. 5; C. 4; D. 3. x 1 y Câu 13. Hàm số
x 2m 1 xác định trên [0; 1) khi: 1 m A. 2 ; B. m ≥ 1; 1 m C. 2 ho c m ặ ≥ 1; D. m ≥ 2 ho c m ặ < 1. x 2 y Câu 14. Hàm số 2 x 3 2 có t p ậ xác đ nh l ị à: ;
3 3; A. ; ; 3 3; \ 7 B. ; ;
3 3; \ 7; 7 C. ; 7 ; 3 3; D. 4 . x 2 1 y Câu 15. Tìm m đ hàm ể số 2 x 2x m 1 có t p ậ xác đ nh l ị à ℝ. A. m ≥ 1; B. m < 0; C. m > 2; D. m ≤ 3. M i
ọ thắc mắc vui lòng xin liên h h
ệ otline: 084 283 45 85
Trắc nghiệm Hàm số Toán 10 Kết nối tri thức
223
112 lượt tải
MUA NGAY ĐỂ XEM TOÀN BỘ TÀI LIỆU
CÁCH MUA:
- B1: Gửi phí vào TK:
1053587071
- NGUYEN VAN DOAN - Ngân hàng Vietcombank (QR) - B2: Nhắn tin tới Zalo VietJack Official ( nhấn vào đây ) để xác nhận thanh toán và tải tài liệu - giáo án
Liên hệ ngay Hotline hỗ trợ: 084 283 45 85
Tài liệu được cập nhật liên tục trong gói này từ nay đến hết tháng 6/2023. Chúng tôi đảm bảo đủ số lượng đề đã cam kết hoặc có thể nhiều hơn, tất cả có BẢN WORD, LỜI GIẢI CHI TIẾT và tải về dễ dàng.
Để tải tài liệu gốc về máy bạn click vào nút Tải Xuống ở trên!
Thuộc bộ (mua theo bộ để tiết kiệm hơn):
- Tailieugiaovien.com.vn giới thiệu Bộ câu hỏi trắc nghiệm Toán 10 Kết nối tri thức cả năm mới nhất nhằm giúp Giáo viên có thêm tài liệu tham khảo Trắc nghiệm Toán 10.
- File word có lời giải chi tiết 100%.
- Mua trọn bộ sẽ tiết kiệm hơn tải lẻ 50%.
Đánh giá
4.6 / 5(223 )5
4
3
2
1

Trọng Bình
Tài liệu hay
Giúp ích cho tôi rất nhiều

Duy Trần
Tài liệu chuẩn
Rất thích tài liệu bên VJ soạn (bám sát chương trình dạy)
TÀI LIỆU BỘ BÁN CHẠY MÔN Toán Học
Xem thêmTÀI LIỆU BỘ BÁN CHẠY Lớp 10
Xem thêmTài liệu bộ mới nhất

Đây là b n xem th , vui lòng mua tài li u đ xem chi ti t (có l i gi i)ả ử ệ ể ế ờ ả
B sách: K T N I TRI TH Cộ Ế Ố Ứ
Ch ng VI. Hàm s , đ th và ng d ngươ ố ồ ị ứ ụ
Bài 15. Hàm số
Câu 1. T p xác đ nh c a hàm s ậ ị ủ ố
2
y x 3x 4
là:
A.
; 1 4;
;
B. [- 1; 4];
C. (- 1; 4);
D.
; 1 4;
.
Câu 2. Tìm t p xác đ nh ậ ị D c a hàm s ủ ố
3x 1
y
2x 2
.
A. D = ℝ;
B. D = (1; + ∞);
C. D = \{1}ℝ ;
D. D = [1; + ∞).
Câu 3. Cho hàm s f(x) = 4 – 3x. Kh ng đ nh nào sau đây đúng?ố ẳ ị
A. Hàm s đ ng bi n trên ố ồ ế
4
;
3
;
B. Hàm s ngh ch bi n trên ố ị ế
4
;
3
;
C. Hàm s đ ng bi n trênố ồ ế ℝ;
D. Hàm s đ ng bi n trên ố ồ ế
3
;
4
.
Câu 4. Cho hàm s : ố
2
x 1
2x 3x 1
y
. Trong các đi m sau đây, đi m nào thu c để ể ộ ồ
th hàm s : ị ố
A. M(2; 3);
M i th c m c vui lòng xin liên h hotline: 084 283 45 85ọ ắ ắ ệ

Đây là b n xem th , vui lòng mua tài li u đ xem chi ti t (có l i gi i)ả ử ệ ể ế ờ ả
B. N(0; – 1);
C. P(12; – 12);
D. Q(- 1; 0).
Câu 5. T p xác đ nh c a hàm s ậ ị ủ ố
2
y
5 x
là
A. D = \{5};ℝ
B. D = (– ∞; 5);
C. D = (– ∞; 5];
D. D = (5; + ∞).
Câu 6. Cho hàm s y = f(x) = xố
3
– 6x
2
+ 11x – 6. Kh ng đ nh nào sau đây ẳ ị sai:
A. f(1) = 0;
B. f(2) = 0;
C. f(– 2) = – 60;
D. f(– 4) = – 24.
Câu 7. T p xác đ nh c a hàm s ậ ị ủ ố
1
y 2x 1
2 3x
là:
A.
1 2
;
2 3
;
B.
1 3
;
2 2
;
C.
2
;
3
;
D.
1
;
2
.
Câu 8. Xét tính đ ng bi n, ngh ch bi n c a hàm s f(x) = xồ ế ị ế ủ ố
2
– 4x + 5 trên kho ngả
(– ∞; 2) và trên kho ng (2; + ∞). Kh ng đ nh nào sau đây đúng?ả ẳ ị
M i th c m c vui lòng xin liên h hotline: 084 283 45 85ọ ắ ắ ệ

Đây là b n xem th , vui lòng mua tài li u đ xem chi ti t (có l i gi i)ả ử ệ ể ế ờ ả
A. Hàm s ngh ch bi n trên (– ∞; 2), đ ng bi n trên (2; + ∞);ố ị ế ồ ế
B. Hàm s đ ng bi n trên (– ∞; 2), ngh ch bi n trên (2; + ∞);ố ồ ế ị ế
C. Hàm s ngh ch bi n trên các kho ng (– ∞; 2) và (2; + ∞);ố ị ế ả
D. Hàm s đ ng bi n trên các kho ng (– ∞; 2) và (2; + ∞).ố ồ ế ả
Câu 9. Xét s bi n thiên c a hàm s ự ế ủ ố
3
f x
x
trên kho ng (0; + ∞). Kh ng đ nhả ẳ ị
nào sau đây đúng?
A. Hàm s đ ng bi n trên kho ng (0; + ∞).ố ồ ế ả
B. Hàm s ngh ch bi n trên kho ng (0; + ∞).ố ị ế ả
C. Hàm s v a đ ng bi n, v a ngh ch bi n trên kho ng (0; + ∞).ố ừ ồ ế ừ ị ế ả
D. Hàm s không đ ng bi n, cũng không ngh ch bi n trên kho ng (0; + ∞).ố ồ ế ị ế ả
Câu 10. T p xác đ nh c a hàm s ậ ị ủ ố
2
1
y x x 2
x 3
là
A. (3; + ∞);
B. [3; + ∞);
C.
;1 3;
;
D.
1;2 3;
.
Câu 11. Tìm t p xác đ nh ậ ị D c a hàm s ủ ố
2
x 2
y
x x 4x 4
.
A. D = [– 2; + ∞)\{0; 2};
B. D = ;ℝ
C. D = [– 2; + ∞);
D. D = (– 2; + ∞)\{0; 2}.
Câu 12. Có bao nhiêu giá tr nguyên c a tham s ị ủ ố m thu c đo n [ộ ạ – 3; 3] đ hàmể
s f(x) = (m + 1)x + m – 2 ố đ ng bi n trênồ ế ℝ.
A. 7;
M i th c m c vui lòng xin liên h hotline: 084 283 45 85ọ ắ ắ ệ

Đây là b n xem th , vui lòng mua tài li u đ xem chi ti t (có l i gi i)ả ử ệ ể ế ờ ả
B. 5;
C. 4;
D. 3.
Câu 13. Hàm s ố
x 1
x 2m 1
y
xác đ nh trên [0; 1) khi:ị
A.
m
1
2
;
B. m ≥ 1;
C.
m
1
2
ho c m ≥ 1;ặ
D. m ≥ 2 ho c m < 1. ặ
Câu 14. Hàm s ố
2
x 2
y
x 3 2
có t p xác đ nh là:ậ ị
A.
; 3 3;
;
B.
; 3 3; \ 7
;
C.
; 3 3; \ 7; 7
;
D.
7
; 3 3;
4
.
Câu 15. Tìm m đ hàm s ể ố
2
x 2 1
y
x 2x m 1
có t p xác đ nh làậ ị ℝ.
A. m ≥ 1;
B. m < 0;
C. m > 2;
D. m ≤ 3.
M i th c m c vui lòng xin liên h hotline: 084 283 45 85ọ ắ ắ ệ

Đây là b n xem th , vui lòng mua tài li u đ xem chi ti t (có l i gi i)ả ử ệ ể ế ờ ả
L I GI I CHI TI TỜ Ả Ế
Câu 1.
Đáp án đúng là: D
Hàm s xác đ nh khi xố ị
2
– 3x – 4 ≥ 0
x 1
x 4
.
V y t p xác đ nh c a hàm s là D = ậ ậ ị ủ ố
; 1 4;
.
Đáp án đúng là: D
Câu 2.
Đáp án đúng là: C
Hàm s xác đ nh khi 2x – 2 ≠ 0 ố ị ⟺ x ≠ 1.
V y t p xác đ nh c a hàm s là D = \{1}ậ ậ ị ủ ố ℝ .
Câu 3.
Đáp án đúng là: B
TXĐ: D = . ℝ
V i m i xớ ọ
1
;
x
2
∈ ℝ và x
1
<
x
2
, ta có
f(x
1
) – f(x
2
) = (4 – 3x
1
) – (4 – 3x
2
) = – 3(x
1
– x
2
) > 0
Suy ra f(x
1
) > f(x
2
).
Do đó, hàm s ngh ch bi n trênố ị ế ℝ.
Mà
4
;
3
nên hàm s cũng ngh ch bi n trên ố ị ế
4
;
3
.
Câu 4.
Đáp án đúng là: B
Đáp án A: M(2; 3) xét y(2) =
2
2 1 1
2.2 3.2 1 3
≠ 3 nên M không thu c đ th hàm ộ ồ ị
s .ố
M i th c m c vui lòng xin liên h hotline: 084 283 45 85ọ ắ ắ ệ