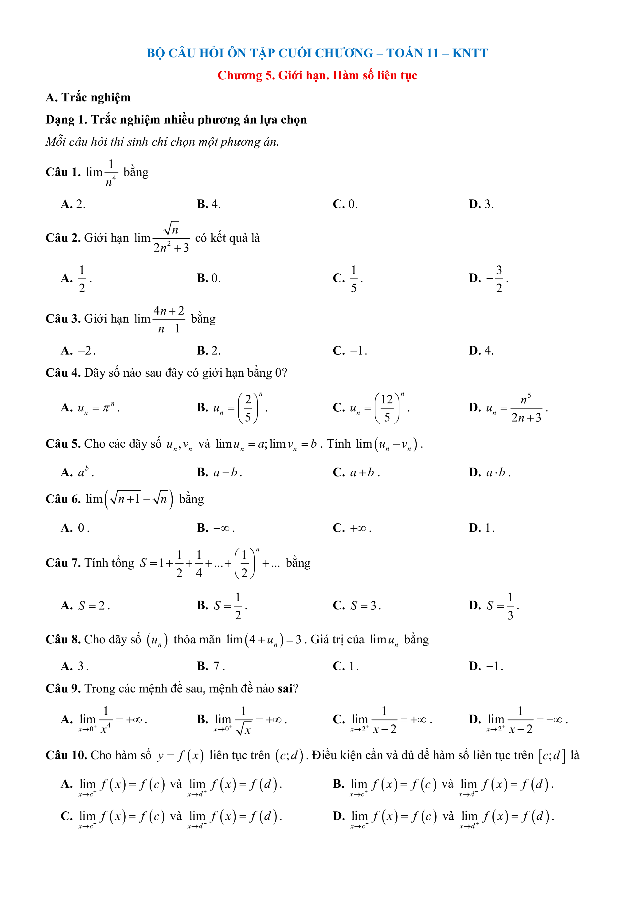
BỘ CÂU HỎI ÔN TẬP CUỐI CHƯƠNG – TOÁN 11 – KNTT
Chương 5. Giới hạn. Hàm số liên tục A. Trắc nghiệm
Dạng 1. Trắc nghiệm nhiều phương án lựa chọn
Mỗi câu hỏi thí sinh chỉ chọn một phương án. Câu 1. 1 lim bằng 4 n A. 2. B. 4. C. 0. D. 3.
Câu 2. Giới hạn lim n có kết quả là 2 2n 3 A. 1 . B. 0. C. 1 . D. 3 . 2 5 2 Câu 3. Giới hạn 4n 2 lim bằng n 1 A. 2 . B. 2. C. 1. D. 4.
Câu 4. Dãy số nào sau đây có giới hạn bằng 0? n n 5 A. n u . B. 2 u . C. 12 u . D. n u . n n 5 n 5 n 2n 3
Câu 5. Cho các dãy số u v và limu a
v b . Tính limu v . n n n ;lim n , n n A. b a .
B. a b .
C. a b .
D. a b .
Câu 6. lim n 1 n bằng A. 0 . B. . C. . D. 1. n Câu 7. Tính tổng 1 1 1 S 1 . . . . bằng 2 4 2 A. S 2 . B. 1 S . C. S 3. D. 1 S . 2 3
Câu 8. Cho dãy số u thỏa mãn lim4 u . Giá trị của limu bằng n 3 n n A. 3. B. 7 . C. 1. D. 1.
Câu 9. Trong các mệnh đề sau, mệnh đề nào sai? A. 1 lim . B. 1 lim . C. 1 lim . D. 1 lim . 4 x0 x x 0 x x 2 x 2 x 2 x 2
Câu 10. Cho hàm số y f x liên tục trên ;
c d . Điều kiện cần và đủ để hàm số liên tục trên ; c d là
A. lim f x f c và lim f x f d .
B. lim f x f c và lim f x f d . x c x d x c x d
C. lim f x f c và lim f x f d .
D. lim f x f c và lim f x f d . x c x d x c x d 2
Câu 11. Tìm các khoảng trên đó hàm số
f x x 1 liên tục. x 2
A. ;2 và 2; . B. ;2 . C. 2;. D. . Câu 12. lim 2
x 3x 4 bằng x2 A. 0 . B. 6 . C. 4 . D. 1. 3 Câu 13. 1 5 lim x x bằng 3
x x x 1 A. 1. B. 1. C. . D. 0 . 2
Câu 14. Tính giới hạn 3x 10x 3 lim . x3 x 3 A. 3. B. 1. C. 8 . D. . 2
Câu 15. Tính giới hạn 3x 1 lim . x x A. 3 . B. 3 . C. 3 . D. . 2
Câu 16. Tính giới hạn 10 x 3 lim . 2 x 1 1 x A. 1. B. 1 . C. 0 . D. 1 . 6 6
Câu 17. Tính giới hạn . 3 3 2 2 lim x x 1 x 3 x A. 0 . B. . C. . D. 2 .
Câu 18. Cho hàm số y f x xác định trên ;
m n,a ;
m n . Phát biểu nào sau đây đúng?
A. Hàm số y f x liên tục tại x a khi và chỉ khi lim f x f a . x a
B. Hàm số y f x liên tục tại x a khi và chỉ khi lim f x f a . x a
C. Hàm số y f x liên tục tại x a khi và chỉ khi lim f x f a . xa
D. Hàm số y f x liên tục tại x a khi và chỉ khi lim f x lim f x . x a x a
Câu 19. Hàm số nào sau đây liên tục trên ?
A. f x x 1 .
B. f x cot x .
C. f x sin x .
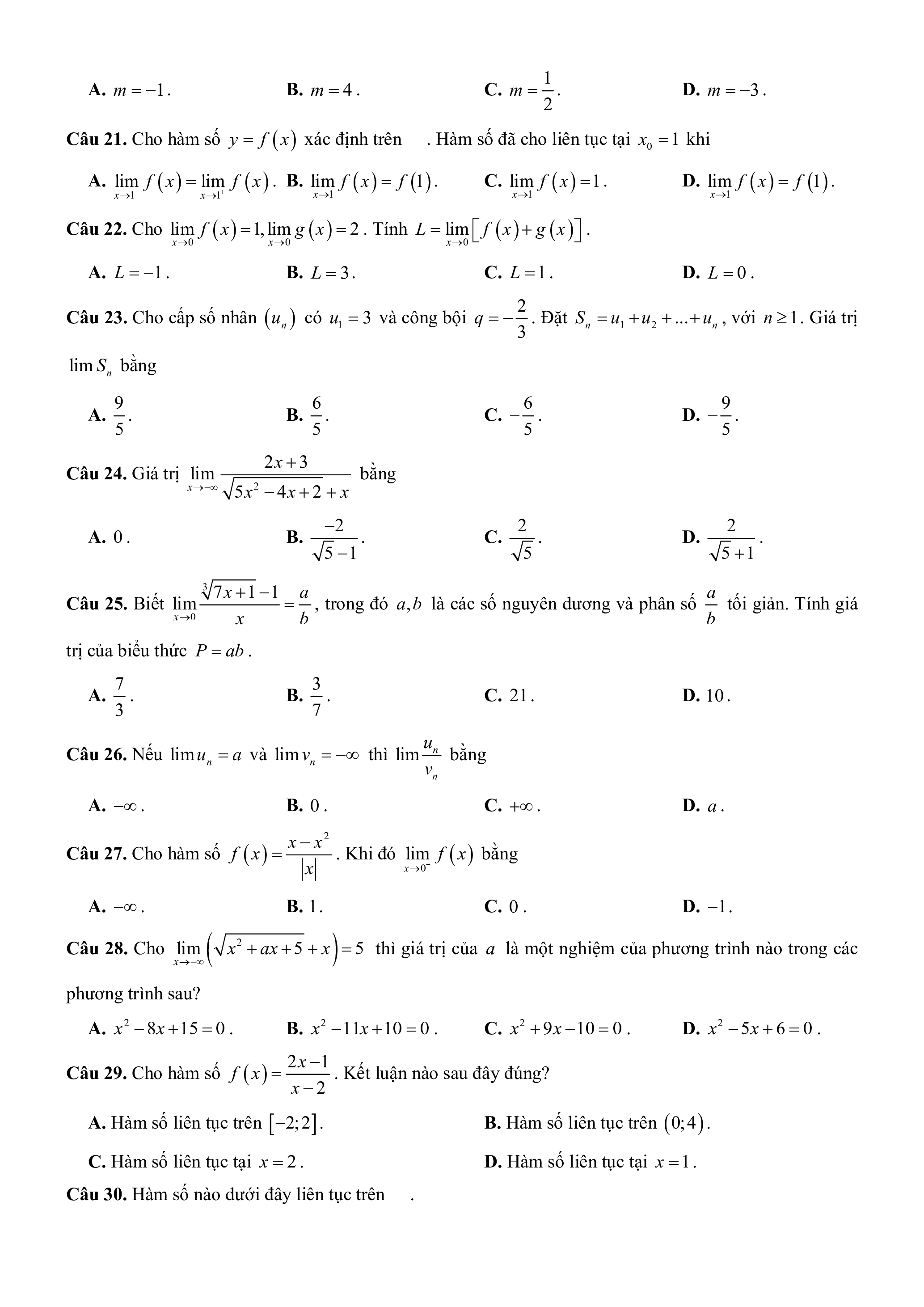
D. f x tan x . 2 5x x khi x 0 Câu 20. 4 2
Tìm m để hàm số x 4x f x
liên tục tại điểm x 0 . 0 2x 3 m khi x 0 x 2 A. m 1. B. m 4 . C. 1 m . D. m 3 . 2
Câu 21. Cho hàm số y f x xác định trên . Hàm số đã cho liên tục tại x 1 khi 0
A. lim f x lim f x . B. lim f x f 1.
C. lim f x 1.
D. lim f x f 1. x 1 x 1 x 1 x 1 x 1
Câu 22. Cho lim f x 1,lim g x 2 . Tính L lim f x g x . x0 x0 x0 A. L 1. B. L 3. C. L 1. D. L 0 .
Câu 23. Cho cấp số nhân u có u 3 và công bội 2
q . Đặt S u u u , với n 1. Giá trị n . . n 1 3 1 2 n lim S bằng n A. 9 . B. 6 . C. 6 . D. 9 . 5 5 5 5 Câu 24. Giá trị 2x 3 lim bằng x 2
5x 4x 2 x A. 0 . B. 2 . C. 2 . D. 2 . 5 1 5 5 1 3 Câu 25. Biết 7x 1 1 lim a
, trong đó a,b là các số nguyên dương và phân số a tối giản. Tính giá x0 x b b
trị của biểu thức P ab . A. 7 . B. 3 . C. 21. D. 10. 3 7
Câu 26. Nếu limu a và lim v thì lim un bằng n n vn A. . B. 0 . C. . D. a . 2
Câu 27. Cho hàm số x x f x
. Khi đó lim f x bằng x x 0 A. . B. 1. C. 0 . D. 1. Câu 28. Cho 2 lim
x ax 5 x thì giá trị của a là một nghiệm của phương trình nào trong các 5 x phương trình sau? A. 2
x 8x 15 0 . B. 2
x 11x 10 0 . C. 2
x 9x 10 0 . D. 2
x 5x 6 0 . Câu 29. Cho hàm số
f x 2x 1
. Kết luận nào sau đây đúng? x 2
A. Hàm số liên tục trên 2;2.
B. Hàm số liên tục trên 0;4 .
C. Hàm số liên tục tại x 2 .
D. Hàm số liên tục tại x 1.
Câu 30. Hàm số nào dưới đây liên tục trên .
A. y x .
B. y tan x . C. 3 2
y 3x 4x 1.
D. y cot x .
Dạng 2. Trắc nghiệm đúng sai
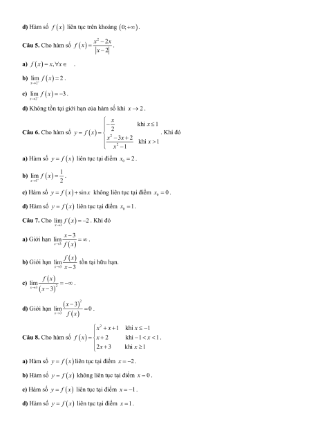
Trong mỗi ý a), b), c), d) ở mỗi câu, thí sinh chọn đúng hoặc sai. 2 2
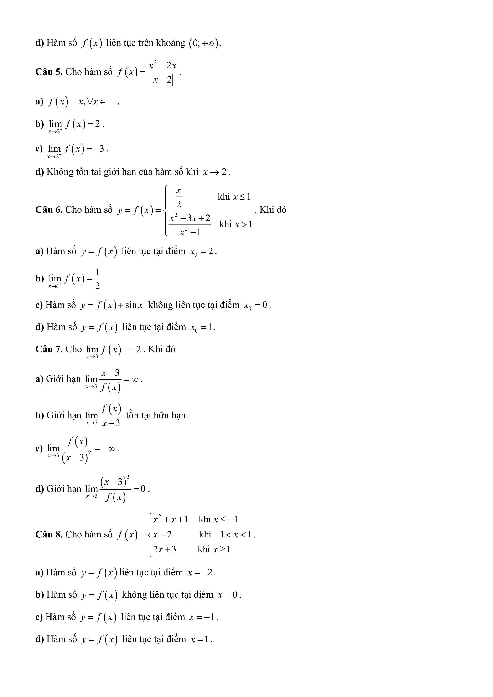
Câu 1. Cho hai dãy số u và v với 2n 4n 7 u , 4n 5 v . n n n 2 8n 3n 10 n 8n a) limu . n 7 b) 1 lim v . n 0 4
c) lim2u v . n 4 n 0 d) un 1 lim . 2vn 2 2
x 3x 2 khi x 2
Câu 2. Cho hàm số f x x 2 . 2
x x 1 khi x 2
a) lim f x 1. x 2
b) lim f x 1 . x 2
c) Hàm số f x gián đoạn tại điểm x 2 .
d) Hàm số f x liên tục trên . x 4 2 khi x 0
Câu 3. Cho hàm số x f x
, với m là tham số. 2 1
mx 2m khi x 0 4
a) Tập xác định của hàm số f x là D . b) f 1 0 2m . 4
c) lim f x 1 . x 0
d) Hàm số f x liên tục tại x 0 khi 1 m . 4
Câu 4. Một điểm dịch vụ trông giữ xe ô tô thu phí 30 nghìn đồng trong giờ đầu tiên và thu thêm 20 nghìn
đồng cho mỗi giờ tiếp theo. x
a) Hàm số mô tả số tiền phí theo thời gian trông giữ là f x 30 khi 0 1 . 1
0 20x khi x 1
b) lim f x 30 . x 1
c) Một người gửi xe ô tô trong 2,5 giờ thì số tiền phải trả là 55 nghìn đồng.
Bài tập ôn tập + Đề kiểm tra Toán 11 Kết nối tri thức Chương 5
162
81 lượt tải
MUA NGAY ĐỂ XEM TOÀN BỘ TÀI LIỆU
CÁCH MUA:
- B1: Gửi phí vào TK:
1133836868- CT TNHH DAU TU VA DV GD VIETJACK - Ngân hàng MB (QR) - B2: Nhắn tin tới Zalo VietJack Official ( nhấn vào đây ) để xác nhận thanh toán và tải tài liệu - giáo án
Liên hệ ngay Hotline hỗ trợ: 084 283 45 85
Chúng tôi đảm bảo đủ số lượng đề đã cam kết hoặc có thể nhiều hơn, tất cả có BẢN WORD, LỜI GIẢI CHI TIẾT và tải về dễ dàng.
Để tải tài liệu gốc về máy bạn click vào nút Tải Xuống ở trên!
Thuộc bộ (mua theo bộ để tiết kiệm hơn):
- Tailieugiaovien.com.vn giới thiệu Bài tập ôn tập + Đề kiểm tra Toán 11 Kết nối tri thức theo chương mới nhất gồm bộ câu hỏi & bài tập ôn tập + Đề kiểm tra Toán 11 theo từng Chương/ Chủ đề với bài tập đa dạng đầy đủ các mức độ, các dạng thức có lời giải.
- File word có lời giải chi tiết 100%.
- Mua trọn bộ sẽ tiết kiệm hơn tải lẻ 50%.
Đánh giá
4.6 / 5(162 )5
4
3
2
1
Trọng Bình
Tài liệu hay
Giúp ích cho tôi rất nhiều
Duy Trần
Tài liệu chuẩn
Rất thích tài liệu bên VJ soạn (bám sát chương trình dạy)
