PHÒNG GD&ĐT
ĐỀ KHẢO SÁT CHẤT LƯỢNG HỌC KỲ I KIẾN XƯƠNG
NĂM HỌC 2023 – 2024 MÔN TOÁN 8
(Thời gian làm bài: 120 phút)
I. TRẮC NGHIỆM (2,0 điểm)
Chọn chữ cái in hoa đứng trước câu trả lời em cho là đúng trong mỗi câu sau:
Câu 1. Kết quả phép chia đa thức cho đơn thức có kết quả là: A. B. C. D.
Câu 2. Giá trị của biểu thức tại là: A. B. C. 6. D.
Câu 3. Trong các điểm sau, điểm nào thuộc đồ thị hàm số: y = 2x +3 ? A. B. C. D.
Câu 4. Hình bình hành có một đường chéo là phân giác của một góc là:
A. Hình thang cân. B. Hình thoi. C. Hình vuông. D. Hình chữ nhật.
II. TỰ LUẬN (8,0 điểm)
Bài 1. (1,5 điểm)
1) Phân tích các đa thức sau thành nhân tử: a) b)
2) Chứng minh rằng giá trị biểu thức sau không phụ thuộc vào giá trị của biến
Bài 2. (2,0 điểm) Cho biểu thức: với a) Rút gọn biểu thức
b) Tính giá trị của khi thoả mãn:
c) Tìm nguyên lớn nhất để biểu thức nhận giá trị nguyên.
Bài 3. (1,5 điểm) Cho hàm số:
có đồ thị là đường thẳng
1) Tìm điều kiện của m để hàm số trên là hàm số bậc nhất. 2) Khi
hãy vẽ đồ thị hàm số rồi tính khoảng cách từ gốc toạ độ đến đường thẳng
Bài 4. (2,5 điểm) 1) Cho
vuông tại có đường cao Từ kẻ a) Chứng minh tứ giác là hình chữ nhật. b) Lấy sao cho là trung điểm của
lấy sao cho là trung điểm của Chứng minh tứ giác là hình bình hành. c) Chứng minh:
2) Một khối Rubik có dạng hình chóp tam giác đều. Biết chiều
cao bằng 5,2 cm, thể tích của khối Rubic là 45,24 cm3. Tính diện
tích đáy của khối Rubik.
Bài 5. (0,5 điểm) Cho 3 số thỏa mãn đồng thời: và
. Tính giá trị của biểu thức: . -----HẾT-----
PHÒNG GD&ĐT
ĐỀ KHẢO SÁT CHẤT LƯỢNG HỌC KỲ I KIẾN XƯƠNG
NĂM HỌC 2023 – 2024 MÔN TOÁN 8
I. TRẮC NGHIỆM (2,0 điểm) Mỗi câu đúng được 0,5 điểm Câu 1 2 3 4 Đáp án A C D B
I. TỰ LUẬN (8,0 điểm) I Bài Nội dung Điểm 1.a) 0,25 0,25 1.b) 0,25 Bài 1 0,25 (1,5đ) 2. Ta có: 0,25 0,25
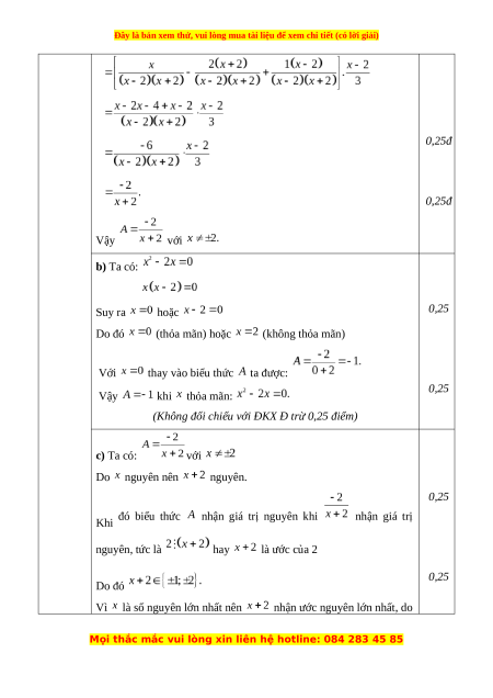
Vậy giá trị của biểu thức không phụ thuộc vào giá trị của biến Bài 2 (2,0đ) (ĐKXĐ: 0,25 0,25đ
0,25đ 0,25đ Vậy với b) Ta có: Suy ra hoặc 0,25 Do đó (thỏa mãn) hoặc (không thỏa mãn) Với
thay vào biểu thức ta được: 0,25 Vậy khi thỏa mãn:
(Không đối chiếu với ĐKX Đ trừ 0,25 điểm) c) Ta có: với Do nguyên nên nguyên. 0,25
đó biểu thức nhận giá trị nguyên khi nhận giá trị Khi nguyên, tức là hay là ước của 2 0,25 Do đó
Vì là số nguyên lớn nhất nên
nhận ước nguyên lớn nhất, do
Đề thi cuối kì 1 Toán 8 Cánh diều Phòng GD&ĐT Huyện Kiến Xương-Thái Bình
557
279 lượt tải
MUA NGAY ĐỂ XEM TOÀN BỘ TÀI LIỆU
CÁCH MUA:
- B1: Gửi phí vào TK:
1053587071
- NGUYEN VAN DOAN - Ngân hàng Vietcombank (QR) - B2: Nhắn tin tới Zalo VietJack Official ( nhấn vào đây ) để xác nhận thanh toán và tải tài liệu - giáo án
Liên hệ ngay Hotline hỗ trợ: 084 283 45 85
Chúng tôi đảm bảo đủ số lượng đề đã cam kết hoặc có thể nhiều hơn, tất cả có BẢN WORD, LỜI GIẢI CHI TIẾT và tải về dễ dàng.
Để tải tài liệu gốc về máy bạn click vào nút Tải Xuống ở trên!
Thuộc bộ (mua theo bộ để tiết kiệm hơn):
- Tailieugiaovien.com.vn giới thiệu bộ đề cuối kì 1 gồm đầy đủ ma trận và lời giải chi tiết môn Toán 8 Cánh diều mới nhất năm 2024 nhằm giúp Giáo viên có thêm tài liệu tham khảo ra đề thi Toán lớp 8.
- File word có lời giải chi tiết 100%.
- Mua trọn bộ sẽ tiết kiệm hơn tải lẻ 50%.
Đánh giá
4.6 / 5(557 )5
4
3
2
1

Trọng Bình
Tài liệu hay
Giúp ích cho tôi rất nhiều

Duy Trần
Tài liệu chuẩn
Rất thích tài liệu bên VJ soạn (bám sát chương trình dạy)