C. ĐỀ KIỂM TRA HỌC KÌ 1 – TOÁN 9
PHÒNG GIÁO DỤC & ĐÀO TẠO …
ĐỀ KIỂM TRA HỌC KÌ 1 TRƯỜNG …
MÔN: TOÁN – LỚP 9 MÃ ĐỀ MT201 NĂM HỌC: … – … Thời gian: 90 phút
(không kể thời gian giao đề)
A. TRẮC NGHIỆM (3,0 điểm)
Câu 1. Trong các phương trình sau, phương trình nào là phương trình bậc nhất hai ẩn? A.  B.  C.  D. 
Câu 2. Hệ phương trình   có nghiệm là A.  B.  C.  D. 
Câu 3. Điều kiện xác định của phương trình   là A.  B.  C.  D. 
Câu 4. Bất phương trình nào dưới đây là bất phương trình bậc nhất một ẩn? A.  B.  C.  D. 
Câu 5. Điều kiện xác định của biểu thức   là A.  . B.  . C.  . D.  .
Câu 6. Cho hai biểu thức và . Khẳng định nào sau đây là sai? A.   với  . B.   với  . C.   với  . D.   với  .
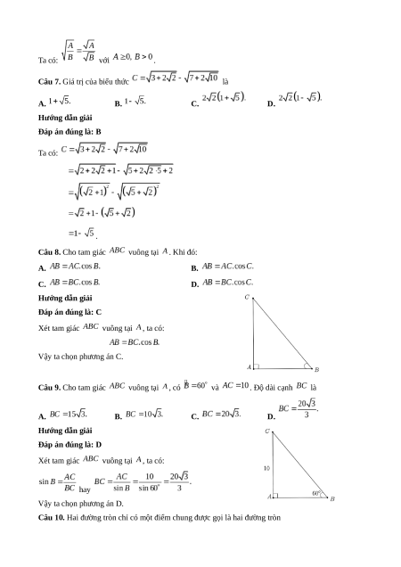
Câu 7. Giá trị của biểu thức   là A.  B.  C.  D.  Câu 8. Cho tam giác   vuông tại . Khi đó: A.  B.  C.  D.  Câu 9. Cho tam giác   vuông tại , có   và  . Độ dài cạnh   là A.  B.  C.  D. 
Câu 10. Hai đường tròn chỉ có một điểm chung được gọi là hai đường tròn A. Cắt nhau. B. Tiếp xúc nhau. C. Ngoài nhau.
D. Không xác định.
Câu 11. Cho hai đường tròn   và 
 tiếp xúc ngoài thì độ dài của   bằng: A.  B.  C.  D. 
Câu 12. Cho đường tròn  , dây 
 vuông góc với bán kính   tại trung điểm   của  . Dây   có độ dài là: A.  B.  C.  D. 
B. PHẦN TỰ LUẬN (7,0 điểm)
Bài 1. (1,5 điểm) Cho hai biểu thức   và   với 
a) Tính giá trị của biểu thức khi  b) Chứng minh rằng  c) Tìm để  .
Bài 2. (2,0 điểm)
1. Giải các phương trình, bất phương trình sau. a)  b) 
2. Giải bài toán sau bằng cách lập hệ phương trình.
Hai tổ cùng làm một công việc trong 
 giờ thì xong. Nếu tổ I làm trong giờ, tổ II làm trong   giờ thì được 
 công việc. Hỏi mỗi tổ làm riêng trong bao lâu thì xong công việc đó?
Bài 3. (1,0 điểm) Sau một trận bão lớn, một cái cây mọc thẳng đứng 
ở vị trí đã bị gãy ngang tại (như hình vẽ). Ngọn cây chạm mặt 
đất cách gốc một khoảng 
. Biết rằng phần ngọn bị gãy   và phần gốc   có tỉ lệ  . 
a) Tính góc tạo bởi phần thân bị gãy   và mặt đất   (kết 
quả làm tròn đến phút).
b) Hỏi chiều cao ban đầu của cây là bao nhiêu mét (kết quả làm 
tròn đến chữ số thập phân thứ hai? 
Bài 4. (2,0 điểm) Cho đường tròn 
 và một điểm nằm ngoài đường tròn  . Từ vẽ hai  tiếp tuyến   của đường tròn   (
 là hai tiếp điểm). Gọi   là giao điểm của   và  Tia   cắt đường tròn   tại   (  nằm giữa và  ). a) Chứng minh  và  b) Kẻ đường kính 
, gọi là hình chiếu của trên  , là giao điểm của   và  . 
Chứng minh rằng là trung điểm của  c) Giả sử 
, tính diện tích hình quạt giới hạn bởi bán kính   và cung lớn 
Bài 5. (0,5 điểm) Bác An có mảnh vườn hình vuông    có cạnh bằng 
. Ở bốn góc vườn, bác An muốn trồng hoa 
vào các phần đất hình tam giác vuông bằng nhau (hình vẽ). 
Hãy tính khoảng cách từ góc vườn đến vị trí sao cho tứ  giác   có chu vi nhỏ nhất. -----HẾT-----
D. ĐÁP ÁN & HƯỚNG DẪN ĐỀ KIỂM TRA HỌC KÌ 1 – TOÁN 9
PHÒNG GIÁO DỤC & ĐÀO TẠO …
ĐÁP ÁN & HƯỚNG DẪN GIẢI TRƯỜNG … KIỂM TRA HỌC KÌ 1 MÃ ĐỀ MT201
MÔN: TOÁN – LỚP 9 NĂM HỌC: … – …
PHẦN I. TRẮC NGHIỆM KHÁCH QUAN (2,0 điểm)
Bảng đáp án trắc nghiệm: Câu 1 2 3 4 5 6 7 8 9 10 11 12 Đáp án D C B D D C B C D B B D
Hướng dẫn giải phần trắc nghiệm
Câu 1. Trong các phương trình sau, phương trình nào là phương trình bậc nhất hai ẩn? A.  B.  C.  D.  Hướng dẫn giải Đáp án đúng là: D
Phương trình bậc nhất hai ẩn có dạng   với   hoặc  . Do đó, 
 là một phương trình bậc nhất hai ẩn.
Câu 2. Hệ phương trình   có nghiệm là A.  B.  C.  D.  Hướng dẫn giải Đáp án đúng là: C
Cách 1: Sử dụng MTCT để tìm nghiệm của hệ hai phương trình 
Với MTCT phù hợp, ta bấm lần lượt các phím: 
Trên màn hình cho kết quả   ta bấm tiếp phím   màn hình cho kết quả  Vậy cặp số 
 là nghiệm của hệ phương trình 
Cách 2: Xét hệ phương trình 
Thực hiện cộng theo vế hai phương trình ta được  , suy ra  
Đề thi Cuối kì 1 Toán 9 Kết nối tri thức 2024 (Đề 3)
                                                                
                                    
                                    
                                        
                                        
                                        
                                        
                                        
                                    
                                    492 
                                
                                
                                 246 lượt tải
                            
                            
                            
                        
                            MUA NGAY ĐỂ XEM TOÀN BỘ TÀI LIỆU
                        
                        CÁCH MUA:
- B1: Gửi phí vào TK: 1053587071- NGUYEN VAN DOAN - Ngân hàng Vietcombank (QR)
- B2: Nhắn tin tới Zalo VietJack Official ( nhấn vào đây ) để xác nhận thanh toán và tải tài liệu - giáo án
Liên hệ ngay Hotline hỗ trợ: 084 283 45 85
Chúng tôi đảm bảo đủ số lượng đề đã cam kết hoặc có thể nhiều hơn, tất cả có BẢN WORD, LỜI GIẢI CHI TIẾT và tải về dễ dàng.
Để tải tài liệu gốc về máy bạn click vào nút Tải Xuống ở trên!
Thuộc bộ (mua theo bộ để tiết kiệm hơn):
- Tailieugiaovien.com.vn giới thiệu bộ đề Cuối kì 1 gồm có đầy đủ các hình thức đề thi dành cho Giáo viên tham khảo.
- File word có lời giải chi tiết 100%.
- Mua trọn bộ sẽ tiết kiệm hơn tải lẻ 50%.
Đánh giá
4.6 / 5(492 )5
                                            4
                                            3
                                            2
                                            1
                                             
                                        Trọng Bình
                                                
                                                
                                                
                                                
                                                
                                                Tài liệu hay
                                            
                                            
                                            Giúp ích cho tôi rất nhiều
 
                                        Duy Trần
                                                
                                                
                                                
                                                
                                                
                                                Tài liệu chuẩn
                                            
                                            
                                            Rất thích tài liệu bên VJ soạn (bám sát chương trình dạy)
 
                                             
                                             
                                             
                                             
                                             
                                            
 
                        
 Nhắn tin Zalo
 Nhắn tin Zalo