Trắc nghiệm theo mức độ – Toán 9 – Bộ sách: Chân trơi sáng tao – Tập 1
Chương 1. Phương trình và hệ hai phương trình
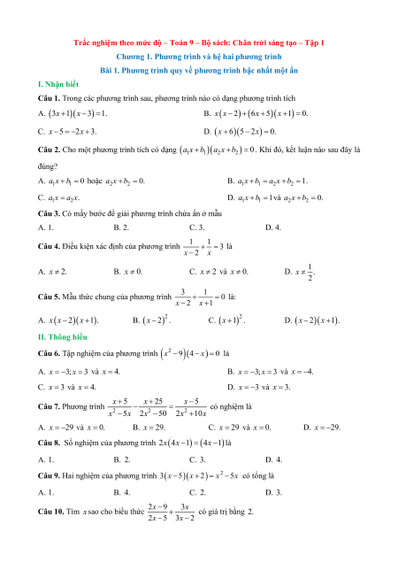
Bài 1. Phương trình quy vê phương trình bậc nhât một ân I. Nhận biết
Câu 1. Trong cac phương trinh sau, phương trinh nao co dang phương trinh tich A. 3x 1 x 3 1.
B. xx 2 6x 5x 1 0. C. x 5 2 x 3.
D. x 65 2x 0.
Câu 2. Cho môt phương trinh tich co dang 1
a x 1b 2 a x 2
b 0 . Khi đo, kêt luân nao sau đây la đung? A. 1
a x 1b 0 hoăc a2x 2 b 0. B. 1 a x 1b 2 a x 2 b 1. C. 1
a x a2x. D. 1
a x 1b 1va a2x 2 b 0.
Câu 3. Co mây bươc đê giai phương trinh chưa ân ơ mâu A. 1. B. 2. C. 3. D. 4.
Câu 4. Điêu kiên xac đinh cua phương trinh 1 1 3 la x 2 x A. x 2. B. x 0.
C. x 2 va x 0. D. 1 x . 2
Câu 5. Mâu thưc chung cua phương trinh 3 1 0 la: x 2 x 1
A. xx 2x 1 . B. x 2 2 . C. x 2 1 .
D. x 2x 1 . II. Thông hiểu
Câu 6. Tâp nghiêm cua phương trinh 2
x 94 x 0 la
A. x 3; x 3 va x 4.
B. x 3; x 3 va x 4 .
C. x 3 va x 4. D. x 3 va x 3.
Câu 7. Phương trinh x 5 x 25 x 5 co nghiêm la 2 2 2
x 5x 2x 50 2x 10x A. x 2 9 va x 0. B. x 29.
C. x 29 va x 0. D. x 2 9.
Câu 8. Sô nghiêm cua phương trinh 2x4x 1 4x 1 la A. 1. B. 2. C. 3. D. 4.
Câu 9. Hai nghiêm cua phương trinh x x 2 3 5
2 x 5x co tông la A. 1. B. 4. C. 2. D. 3.
Câu 10. Tim x sao cho biêu thưc 2x 9 3x co gia tri bằng 2.
2x 5 3x 2 A. 1 x . B. x 4. C. x 4 . D. 1 x . 4 4
Câu 11. Hai biêu thưc 14 2 x 3 5 P ;Q co gia tri bằng nhau khi 3x 12 x 4 8 2x 6 A. x 13. B. x 4. C. x 4 . D. x 1 3. Câu 12. 2 Cho phương trinh 2
x x 2 5
10 x 5x 24 0 . Khăng đinh nao sau đây la đung?
A. Tông cac nghiêm cua phương trinh bằng 24.
B. Phương trinh co 4 nghiêm.
C. Phương trinh co môt nghiêm duy duy nhât.
D. Phương trinh co vô sô nghiêm. III. Vận dụng
Câu 13. Nghiêm lơn nhât cua phương trinh x 3x 4 0 la A. x 3 . B. x 4 . C. x 3. D. x 4.
Câu 14. Tông cac nghiêm cua phương trinh x 2x 3x 5x 6 180 la A. 6. B. 0. C. 1. D. 10.
Câu 15. Môt ô tô phai đi quãng đường AB dai 60 km trong môt thời gian nhât đinh. Xe đi nửa đầu
quãng đường vơi vân tôc hơn dự đinh 10 km/h va đi nửa sau kém hơn dự đinh 6 km/h. Biêt ô tô
đên đung dự đinh. Tinh thời gian dự đinh đi quãng đường AB ? A. 3 giờ. B. 2 giờ. C. 4 giờ. D. 5 giờ.
Bài 2. Phương trình bậc nhât hai ân và hệ hai phương trình bậc nhât hai ân I. Nhận biết
Câu 1. Trong cac hê thưc sau, hê thưc nao không phai la phương trinh bâc nhât hai ân?
A. x 2y 4.
B. 0x 0y 5.
C. 0x 3y 2.
D. 3x 0y 3.
Câu 2. Hê sô a cua phương trinh bâc nhât hai ân 2 x 11 la A. a 2. B. a 2. C. a 0. D. a 11.
Câu 3. Trong cac hê phương trinh sau, hê nao không phai la hê phương trinh bâc nhât hai ân?
3x y 5 3y 6 2 2
x 4y 0
2x 4y 5 A. . B. . C. . D. .
x 2y 2
3x 5y 17
2x 5y 7 3x 15 0
x 3y 6
Câu 4. Cho hê phương trinh
, hê sô a,b,c va a ,b ,c cua hê phương trinh?
2x y 5
A. a 3;b 1;c 6 va a 2;b 1;c 5.
B. a 1;b 3;c 6 va a 2;b 1;c 5.
C. a 1;b 3;c 6 va a 2;b 1;c 5.
D. a 3;b 1;c 6 va a 2;b 1;c 5.
x 3y 6
Câu 5. Cho hê phương trinh
, căp sô nao sau đây la nghiêm cua hê phương trinh?
x y 0 A. 2; 1 . B. 3;2. C. 6;0. D. 3 ;3. II. Thông hiểu
Câu 6. Tât ca cac nghiêm cua phương trinh 4x 3y 1 đươc biêu diên bằng đường thăng nao dươi đây? A. y 4 x 1. B. 4 1 y x .
C. y 4x 1. D. 4 1 y x . 3 3 3 3
Câu 7. Tât ca cac nghiêm cua phương trinh 0x 5y 3 đươc biêu diên bơi
A. đô thi ham sô x 3 5 . y
B. đô thi ham sô y 3. C. đô thi ham sô 3 y . D. đô thi ham sô 3 y . 5 5
Câu 8. Gia tri nao cua y đê căp sô 0,5; y la nghiêm cua phương trinh 2x 2y 3? 0 0 A. 0 y 1 . B. 0 y 2 . C. 0 y 2. D. 0 y 3.
Câu 9. Gia tri nao cua x đê căp sô x ; 1
la nghiêm cua phương trinh 3x y 2? 0 0 A. 0 x 1 . B. 0 x 1. C. 0 x 2. D. 0 x 3.
Câu 10. Bằng cach tim giao điêm cua hai đường thăng d : 4x y 5 va d: 2x y 1 ta tim đươc
4x y 5
nghiêm cua hê phương trinh
la x ; y . Tinh x . 0 0 y 2x y 1 0 0 A. 14 . B. 2 . C. 7 . D. 9 . 9 3 3 3
mx y 0
Câu 11. Vơi m 1, hê phương trinh
nhân căp sô nao la nghiêm ?
x 3y 4 A. 1 ; 1 . B. 2 ;2. C. 1; 1 . D. 3 ;3. mx y 0
Câu 12. Cho hê phương trinh sau: x m 1 y 2m 1
Tim m đê hê phương trinh nhân căp sô 1 ;2 la nghiêm. A. m 1. B. m 2. C. m 1 . D. m 2. III. Vận dụng
Câu 13. Môt lang 0,1kg thit bo chưa 26g protein, môt lang 0,1kg ca chưa 23g protein. Bac
An đinh chi bô sung 65g tư thit bo va thit ca trong môt ngay. Goi x, y lần lươt la sô lang thit bo, sô
lang thit ca ma bac An ăn trong môt ngay. Phương trinh bâc nhât hai ân x, y biêu diên nhu cầu bô sung protein cua bac An la
A. x 23y 65.
B. 65x 23y 26.
C. 23x 26y 65.
D. 26x 23y 65.
Câu 14. Đê chuân bi cho buôi liên hoan cua gia đinh, bac Ngoc mua hai loai thực phâm la thit lơn
va ca chép. Gia tiên thit lơn la 130 nghin đông/kg, gia tiên ca chép la 50 nghin đông/kg. Bac Ngoc
đã chi 295 nghin đông đê mua 3,5kg hai loai thực phâm trên. Goi x va y lần lươt la sô kilogam
thit lơn va ca chép ma bac Ngoc đã mua. Hê phương trinh bâc nhât hai ân x va y la: x y 3,5
x y 3,5 A. . B. . 1
30x 50y 295 1
30x y 295
x y 3,5
x y 295 C. . D. .
x 50y 295 1
30x 50y 3,5
mx y 2m
Câu 15. Cho hê phương trinh
. Tim cac gia tri cua tham sô m đê hê phương trinh 2
x m y 9
nhân căp 1;2 lam nghiêm. A. m 0. B. m 1 . C. m 2 . D. m 3.
Bộ Trắc nghiệm Toán 9 Chân trời sáng tạo (cả năm) có đáp án
745
373 lượt tải
200.000 ₫
MUA NGAY ĐỂ XEM TOÀN BỘ TÀI LIỆU
CÁCH MUA:
- B1: Gửi phí vào TK:
1053587071
- NGUYEN VAN DOAN - Ngân hàng Vietcombank (QR) - B2: Nhắn tin tới Zalo VietJack Official ( nhấn vào đây ) để xác nhận thanh toán và tải tài liệu - giáo án
Liên hệ ngay Hotline hỗ trợ: 084 283 45 85
Chúng tôi đảm bảo đủ số lượng đề đã cam kết hoặc có thể nhiều hơn, tất cả có BẢN WORD, LỜI GIẢI CHI TIẾT và tải về dễ dàng.
Để tải tài liệu gốc về máy bạn click vào nút Tải Xuống ở trên!
- Tailieugiaovien.com.vn giới thiệu Bộ câu hỏi trắc nghiệm Toán 9 Chân trời sáng tạo cả năm mới nhất nhằm giúp Giáo viên có thêm tài liệu tham khảo Trắc nghiệm Toán lớp 9.
- File word có lời giải chi tiết 100%.
- Mua trọn bộ sẽ tiết kiệm hơn tải lẻ 50%.
Đánh giá
4.6 / 5(745 )5
4
3
2
1

Trọng Bình
Tài liệu hay
Giúp ích cho tôi rất nhiều

Duy Trần
Tài liệu chuẩn
Rất thích tài liệu bên VJ soạn (bám sát chương trình dạy)