SỞ GIÁO DỤC & ĐÀO TẠO …
KIỂM TRA GIỮA HỌC KÌ 1 TRƯỜNG …
MÔN: TOÁN – LỚP 11 MÃ ĐỀ MT202
Thời gian làm bài: 90 phút
(không kể thời gian giao đề)
PHẦN I. TRẮC NGHIỆM KHÁCH QUAN (7,0 điểm)
Hãy khoanh tròn vào phương án đúng duy nhất trong mỗi câu dưới đây:
Câu 1. Đổi số đo góc 135 ra số đo rađian ta được A. 3 . B. 3 . C. 5 . D. 3 . 2 4 6 5
Câu 2. Giá trị sin30 bằng A. 1. B. 2 . C. 3 . D. 1 . 2 2 2
Câu 3. Trong các công thức sau, công thức nào sai? A. 2 2
cos 2a cos a – sin . a B. 2 2
cos 2a cos a sin . a C. 2
cos 2a 2cos a – 1. D. 2 cos 2a 1 – 2sin . a
Câu 4. Cho a . Khẳng định nào sau đây là đúng? 2
A. sin a 0, cosa 0.
B. sin a 0, cosa 0 .
C. sin a 0, cosa 0 .
D. sin a 0, cosa 0.
Câu 5. Rút gọn biểu thức P sin a sin a . 4 4 A. 3 cos2a . B. 1 cos 2a . C. 2 cos2a . D. 1 cos2a . 2 2 3 2
Câu 6. Cho tan cot m . Giá trị của biểu thức 3 3
tan cot là A. 3 m 3m . B. 3 3m m . C. 3 3m m . D. 3 m 3m .
Câu 7. Cho x 0; thỏa mãn 5 cos x
. Giá trị của tan x bằng 13 4 A. 17 . B. 7 . C. 17 . D. 7 . 7 17 7 17 Câu 8. Cho 1 sin
và . Khi đó cos có giá trị là 3 2 A. 2 cos . B. 2 2 cos . C. 8 cos . D. 2 2 cos . 3 3 9 3
Câu 9. Cho hàm số y tan .
x Khẳng định sau đây là sai?
A. Hàm số đã cho là hàm số chẵn.
B. Tập xác định của hàm số đã cho là \ k k . 2
C. Hàm số đã cho đồng biến trên mỗi khoảng k
; k với k . 2 2
D. Hàm số đã cho tuần hoàn theo chu kì .
Câu 10. Cho các đồ thị hàm số sau : Hình 1 Hình 2 Hình 3 Hình 4
Hình nào là đồ thị hàm số y sin x? A. Hình 1. B. Hình 2. C. Hình 3. D. Hình 4.
Câu 11. Trong các hàm số y tan x ; y sin 2x ; y sin x ; y cot x , có bao nhiêu
hàm số thỏa mãn tính chất f x k f x , x
, k . A. 1. B. 2. C. 3. D. 4 .
Câu 12. Hàm số y sin x đồng biến trên khoảng nào sau đây? A. 5 7 ; . B. 9 11 ; . C. 7 ;3 . D. 7 9 ; . 4 4 4 4 4 4 4 x
Câu 13. Tập xác định của hàm số sin 1
y sin x là 2 A. 2; B. 2; C. \ 2 . D. .
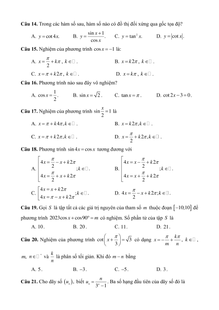
Câu 14. Trong các hàm số sau, hàm số nào có đồ thị đối xứng qua gốc tọa độ? A. x y cot 4 . x B. sin 1 y . C. 2 y tan . x
D. y cot x . cos x
Câu 15. Nghiệm của phương trình cos x 1 là: A. x
k , k .
B. x k2 , k . 2
C. x k2 , k .
D. x k , k .
Câu 16. Phương trình nào sau đây vô nghiệm? A. 1 cos x . B. sin x 2 . C. tan x . D. cot 2x 3 0. 2
Câu 17. Nghiệm của phương trình x sin 1 là 2
A. x k 4 , k .
B. x k 2 , k .
C. x k 2 , k . D. x
k2 ,k . 2
Câu 18. Phương trình sin 4x cos x tương đương với 4x x k2 4x x k2 A. 2 2 ;k . B. ;k . 4x x k2 4x x k 2 2 2
4x x k2 C. ;k . D. 4x
x k2;k .
4x x k2 2
Câu 19. Gọi S là tập tất cả các giá trị nguyên của tham số m thuộc đoạn 1 0;10 để
phương trình 2023cos x cos90 m có nghiệm. Số phần tử của tập S là A. 10 . B. 20 . C. 11. D. 21.
Câu 20. Nghiệm của phương trình cot x 3 có dạng k x , k , 3 m n k , m * n và
là phân số tối giản. Khi đó m n bằng n A. 5 . B. 3. C. 5. D. 3 .
Câu 21. Cho dãy số n
u , biết u
. Ba số hạng đầu tiên của dãy số đó là n n 3n 1 A. 1 1 1 ; ; . B. 1 1 3 ; ; . C. 1 1 1 ; ; . D. 1 2 3 ; ; . 2 4 8 2 4 26 2 4 16 2 3 4
Câu 22. Cho dãy số: 5;10;15;20;25; ... . Số hạng tổng quát của dãy số là
A. u 5n 1 . B. u 5n .
C. u 5 n .
D. u 5n 1. n n n n
Câu 23. Xét tính bị chặn của dãy số sau: 2n 1 u n n 2 A. Bị chặn.
B. Bị chặn trên, không bị chặn dưới. C. Không bị chặn.
D. Bị chặn dưới, không bị chặn trên. n
Câu 24. Cho dãy số u , biết 1 u
. Số 8 là số hạng thứ mấy của dãy số? n n 2n 1 15 A. 8. B. 6. C. 5. D. 7.
Câu 25. Trong các dãy số u
cho bởi số hạng tổng quát u sau, dãy số nào là dãy số n n tăng? A. 1 n n u . B. 1 u . C. 5 u . D. 2 1 u . n 2n n n n 3n 1 n n 1
Câu 26. Trong không gian, có bao nhiêu mặt phẳng đi qua ba điểm không thẳng hàng? A. 2 . B. 3. C. Vô số. D. Một và chỉ một.
Câu 27. Cho bốn điểm , A ,
B C, D không cùng nằm trên một mặt phẳng. Trên cạnh A ,
B AC lần lượt lấy hai điểm M , N sao cho MN cắt BC tại E . Điểm E thuộc mặt phẳng nào sau đây? A. ABD . B. MND . C. BCD . D. ACD .
Câu 28. Cho tứ diện ABCD , M là trung điểm của AB , N là điểm trên AC mà 1 AN
AC, P là điểm trên đoạn AD mà 2 AP
AD . Gọi E là giao điểm của MP 4 3
và BD , F là giao điểm của MN và BC . Khi đó giao tuyến của BCD và CMP là A. CP . B. NE . C. MF . D. CE .
Đề thi giữa kì 1 Toán 11 Cánh diều (đề 7)
613
307 lượt tải
MUA NGAY ĐỂ XEM TOÀN BỘ TÀI LIỆU
CÁCH MUA:
- B1: Gửi phí vào TK:
1053587071
- NGUYEN VAN DOAN - Ngân hàng Vietcombank (QR) - B2: Nhắn tin tới Zalo VietJack Official ( nhấn vào đây ) để xác nhận thanh toán và tải tài liệu - giáo án
Liên hệ ngay Hotline hỗ trợ: 084 283 45 85
Chúng tôi đảm bảo đủ số lượng đề đã cam kết hoặc có thể nhiều hơn, tất cả có BẢN WORD, LỜI GIẢI CHI TIẾT và tải về dễ dàng.
Để tải tài liệu gốc về máy bạn click vào nút Tải Xuống ở trên!
Thuộc bộ (mua theo bộ để tiết kiệm hơn):
- Tailieugiaovien.com.vn giới thiệu bộ 10 đề giữa kì 1 môn Toán 11 Cánh diều mới nhất năm 2023 - 2024 nhằm giúp Giáo viên có thêm tài liệu tham khảo ra đề thi Toán lớp 11.
- File word có lời giải chi tiết 100%.
- Mua trọn bộ sẽ tiết kiệm hơn tải lẻ 50%.
Đánh giá
4.6 / 5(613 )5
4
3
2
1

Trọng Bình
Tài liệu hay
Giúp ích cho tôi rất nhiều

Duy Trần
Tài liệu chuẩn
Rất thích tài liệu bên VJ soạn (bám sát chương trình dạy)
TÀI LIỆU BỘ BÁN CHẠY MÔN Toán Học
Xem thêmTÀI LIỆU BỘ BÁN CHẠY Lớp 11
Xem thêmTài liệu bộ mới nhất

SỞ GIÁO DỤC & ĐÀO TẠO …
TRƯỜNG …
MÃ ĐỀ MT202
KIỂM TRA GIỮA HỌC KÌ 1
MÔN: TOÁN – LỚP 11
Thời gian làm bài: 90 phút
(không kể thời gian giao đề)
PHẦN I. TRẮC NGHIỆM KHÁCH QUAN (7,0 điểm)
Hãy khoanh tròn vào phương án đúng duy nhất trong mỗi câu dưới đây:
Câu 1. Đổi số đo góc
135
ra số đo rađian ta được
A.
3
2
. B.
3
4
. C.
5
6
. D.
3
5
.
Câu 2. Giá trị
sin30
bằng
A.
1
. B.
2
2
. C.
3
2
. D.
1
2
.
Câu 3. Trong các công thức sau, công thức nào sai?
A.
22
cos2 cos – sin .a a a
B.
22
cos2 cos sin .a a a
C.
2
cos2 2cos –1.aa
D.
2
cos2 1– 2sin .aa
Câu 4. Cho
2
a
. Khẳng định nào sau đây là đúng?
A.
sin 0a
,
cos 0a
. B.
sin 0a
,
cos 0a
.
C.
sin 0a
,
cos 0a
. D.
sin 0a
,
cos 0a
.
Câu 5. Rút gọn biểu thức
sin sin
44
P a a
.
A.
3
cos2
2
a
. B.
1
cos2
2
a
. C.
2
cos2
3
a
. D.
1
cos2
2
a
.
Câu 6. Cho
tan cot m
. Giá trị của biểu thức
33
tan cot
là
A.
3
3mm
. B.
3
3mm
. C.
3
3mm
. D.
3
3mm
.
Câu 7. Cho
0;x
thỏa mãn
5
cos
13
x
. Giá trị của
tan
4
x
bằng
A.
17
7
. B.
7
17
. C.
17
7
. D.
7
17
.
Câu 8. Cho
1
sin
3
và
2
. Khi đó
cos
có giá trị là

A.
2
cos
3
. B.
22
cos
3
. C.
8
cos
9
. D.
22
cos
3
.
Câu 9. Cho hàm số
tan .yx
Khẳng định sau đây là sai?
A. Hàm số đã cho là hàm số chẵn.
B. Tập xác định của hàm số đã cho là
\
2
kk
.
C. Hàm số đã cho đồng biến trên mỗi khoảng
;
22
kk
với
k
.
D. Hàm số đã cho tuần hoàn theo chu kì
.
Câu 10. Cho các đồ thị hàm số sau :
Hình 1
Hình 2
Hình 3
Hình 4
Hình nào là đồ thị hàm số
sin ?yx
A. Hình 1. B. Hình 2. C. Hình 3. D. Hình 4.
Câu 11. Trong các hàm số
tanyx
;
sin2yx
;
sinyx
;
cotyx
, có bao nhiêu
hàm số thỏa mãn tính chất
f x k f x
,
x
,
k
.
A. 1. B. 2. C. 3. D.
4
.
Câu 12. Hàm số
sinyx
đồng biến trên khoảng nào sau đây?
A.
57
;
44
. B.
9 11
;
44
. C.
7
;3
4
. D.
79
;
44
.
Câu 13. Tập xác định của hàm số
sin 1
sin 2
x
y
x
là
A.
2;
B.
2;
C.
\2
. D. .

Câu 14. Trong các hàm số sau, hàm số nào có đồ thị đối xứng qua gốc tọa độ?
A.
cot4 .yx
B.
sin 1
.
cos
x
y
x
C.
2
tan .yx
D.
cot .yx
Câu 15. Nghiệm của phương trình
cos 1x
là:
A.
2
xk
,
k
. B.
2xk
,
k
.
C.
2xk
,
k
. D.
xk
,
k
.
Câu 16. Phương trình nào sau đây vô nghiệm?
A.
1
cos
2
x
. B.
sin 2x
. C.
tan x
. D.
cot2 3 0x
.
Câu 17. Nghiệm của phương trình
sin 1
2
x
là
A.
4,x k k
. B.
2,x k k
.
C.
2,x k k
. D.
2,
2
x k k
.
Câu 18. Phương trình
sin4 cosxx
tương đương với
A.
42
2
;.
42
2
x x k
k
x x k
B.
42
2
;.
42
2
x x k
k
x x k
C.
42
;.
42
x x k
k
x x k
D.
4 2 ; .
2
x x k k
Câu 19. Gọi
S
là tập tất cả các giá trị nguyên của tham số
m
thuộc đoạn
10;10
để
phương trình
2023cos cos90xm
có nghiệm. Số phần tử của tập
S
là
A.
10
. B.
20
. C.
11
. D.
21
.
Câu 20. Nghiệm của phương trình
cot 3
3
x
có dạng
k
x
mn
,
k
,
,m
*
n
và
k
n
là phân số tối giản. Khi đó
mn
bằng
A.
5
. B.
3
. C.
5
. D.
3
.
Câu 21. Cho dãy số
,
n
u
biết
31
n
n
n
u
. Ba số hạng đầu tiên của dãy số đó là

A.
1 1 1
; ; .
2 4 8
B.
1 1 3
; ; .
2 4 26
C.
1 1 1
; ; .
2 4 16
D.
1 2 3
; ; .
234
Câu 22. Cho dãy số:
5;10;15;20;25; ...
. Số hạng tổng quát của dãy số là
A.
51
n
un
. B.
5
n
un
. C.
5
n
un
. D.
51
n
un
.
Câu 23. Xét tính bị chặn của dãy số sau:
21
2
n
n
u
n
A. Bị chặn. B. Bị chặn trên, không bị chặn dưới.
C. Không bị chặn. D. Bị chặn dưới, không bị chặn trên.
Câu 24. Cho dãy số
,
n
u
biết
1
21
n
n
u
n
. Số
8
15
là số hạng thứ mấy của dãy số?
A. 8. B. 6. C. 5. D. 7.
Câu 25. Trong các dãy số
n
u
cho bởi số hạng tổng quát
n
u
sau, dãy số nào là dãy số
tăng?
A.
1
2
n
n
u
. B.
1
n
u
n
. C.
5
31
n
n
u
n
. D.
21
1
n
n
u
n
.
Câu 26. Trong không gian, có bao nhiêu mặt phẳng đi qua ba điểm không thẳng
hàng?
A.
2
. B. 3. C. Vô số. D. Một và chỉ một.
Câu 27. Cho bốn điểm
, , ,A B C D
không cùng nằm trên một mặt phẳng. Trên cạnh
,AB AC
lần lượt lấy hai điểm
,MN
sao cho
MN
cắt
BC
tại
E
. Điểm
E
thuộc mặt
phẳng nào sau đây?
A.
ABD
. B.
MND
. C.
BCD
. D.
ACD
.
Câu 28. Cho tứ diện
ABCD
,
M
là trung điểm của
AB
,
N
là điểm trên
AC
mà
1
,
4
AN AC
P
là điểm trên đoạn
AD
mà
2
3
AP AD
. Gọi
E
là giao điểm của
MP
và
BD
,
F
là giao điểm của
MN
và
BC
. Khi đó giao tuyến của
BCD
và
CMP
là
A.
CP
. B.
NE
. C.
MF
. D.
CE
.
Câu 29. Cho hình chóp
.S ABCD
có đáy là hình bình hành.
,MN
lần lượt thuộc
đoạn
,.AB SC
Khẳng định nào sau đây đúng?
A. Giao điểm của
MN
và
SBD
là giao điểm của
MN
và
.SB
B. Đưng thẳng
MN
không cắt mặt phẳng
SBD
.
C. Giao điểm của
MN
và
SBD
là giao điểm của
MN
và
SI
, trong đó
I
là
giao điểm của
CM
và
BD
.
D. Giao điểm của
MN
và
SBD
là giao điểm của
MN
và
.BD
Câu 30. Trong các mệnh đề sau, mệnh đề nào đúng?
A. Hai đưng thẳng phân biệt không song song thì chéo nhau.
B. Hai đưng thẳng không có điểm chung thì chéo nhau.
C. Hai đưng thẳng chéo nhau thì không có điểm chung.
D. Hai đưng thẳng lần lượt nằm trên hai mặt phẳng phân biệt thì chéo nhau.
Câu 31. Cho tứ diện
ABCD
. Gọi
,MN
lần lượt là trung điểm của
AB
và
.CD
Mệnh đề nào dưới đây đúng?
A.
AN
và
BC
cắt nhau. B.
AN
và
BC
chéo nhau.
C.
AN
và
CM
song song với nhau. D.
AC
và
BD
cắt nhau.
Câu 32. Cho hình chóp
.S ABCD
có đáy
ABCD
là hình bình hành. Gọi
M
là trung
điểm của
.SA
Giao điểm của đưng thẳng
SB
và mặt phẳng
CMD
là
A. Không có giao điểm. B. Giao điểm của đưng thẳng
SB
và
.MC
C. Trung điểm của đoạn thẳng
SB
. D. Giao điểm của đưng thẳng
SB
và
.MD
Câu 33. Cho tứ diện
ABCD
. Gọi
,MN
là hai điểm phân biệt cùng thuộc đưng
thẳng
AB
;
,PQ
là hai điểm phân biệt cùng thuộc đưng thẳng
CD
. Xác định vị trí
tương đối của
MQ
và
NP
.
A.
MQ
cắt
NP
. B.
//MQ NP
.
C.
MQ NP
. D.
,MQ NP
chéo nhau.

Câu 34. Cho đưng thẳng
d
song song với mặt phẳng
. Số điểm chung của
d
và
là
A. 0. B. 1. C. 2. D. vô số.
Câu 35. Cho tứ diện
ABCD
. Gọi
M
là trọng tâm của tam giác
ABC
và
N
là điểm
nằm trên cạnh
AD
sao cho
2AN ND
. Khi đó ta có
A.
//MN BCD
. B.
MN
cắt
BD
. C.
//MN CD
. D.
AC
cắt
BD
.
PHẦN II. TỰ LUẬN (3,0 điểm)
Bài 1. (1,5 điểm)
a) Tìm các giá trị của
m
để phương trình
sin 2xm
có hai nghiệm phân biệt
trên khoảng
2
;
63
?
b) Tìm nghiệm dương nhỏ nhất của phương trình
tan 3
0
2sin 3
x
x
.
c) Số gi có ánh mặt tri của một thành phố
X
ở vĩ độ
40
bắc trong ngày thứ
t
của một năm không nhuận được cho bởi hàm số
3sin 60 10
162
d t t
, với
t
và
0 365t
. Hỏi vào ngày nào trong
năm thì thành phố
X
có ít gi ánh sáng mặt tri nhất?
Bài 2. (0,5 điểm) Xét tính tăng giảm của dãy số
n
u
với
2
2
1
.
21
n
nn
u
n
Bài 3. (1,0 điểm) Cho hình chóp
.S ABCD
có đáy là hình bình hành. Gọi
M
là trung
điểm cạnh
SD
,
G
là trọng tâm tam giác
ACD
và
I
là trung điểm của đoạn
SG
.
a) Chứng minh rằng
//MI BD
.
b) Xác định giao điểm
F
của
SA
và mặt phẳng
CMI
và tính tỉ số
FS
FA
.
----------HẾT----------

SỞ GIÁO DỤC & ĐÀO TẠO …
TRƯỜNG …
MÃ ĐỀ MT202
HƯỚNG DẪN GIẢI
KIỂM TRA GIỮA HỌC KÌ 1
MÔN: TOÁN – LỚP 11
PHẦN I. TRẮC NGHIỆM KHÁCH QUAN (7,0 điểm)
Bảng đáp án trắc nghiệm:
1
2
3
4
5
6
7
8
9
10
11
12
13
14
15
B
D
B
C
D
D
A
D
A
B
A
D
D
A
C
16
17
18
19
20
21
22
23
24
25
26
27
28
29
30
B
A
A
D
A
B
B
A
D
D
D
C
D
C
C
31
32
33
34
35
B
D
D
A
A
Hướng dẫn giải chi tiết
Câu 1. Đổi số đo góc
135
ra số đo rađian ta được
A.
3
2
. B.
3
4
. C.
5
6
. D.
3
5
.
Lời giải
Đáp án đúng là: B
Ta có
180rad
nên
3
135 135 .
180 4
rad
Câu 2. Giá trị
sin30
bằng
A.
1
. B.
2
2
. C.
3
2
. D.
1
2
.
Lời giải
Đáp án đúng là: D
Câu 3. Trong các công thức sau, công thức nào sai?
A.
22
cos2 cos – sin .a a a
B.
22
cos2 cos sin .a a a
C.
2
cos2 2cos –1.aa
D.
2
cos2 1– 2sin .aa
Lời giải
Đáp án đúng là: B
Ta có
2 2 2 2
cos2 cos – sin 2cos 1 1 2sina a a a a
.

Câu 4. Cho
2
a
. Khẳng định nào sau đây là đúng?
A.
sin 0a
,
cos 0a
. B.
sin 0a
,
cos 0a
.
C.
sin 0a
,
cos 0a
. D.
sin 0a
,
cos 0a
.
Lời giải
Đáp án đúng là: C
Vì
2
a
sin 0a
,
cos 0a
.
Câu 5. Rút gọn biểu thức
sin sin
44
P a a
.
A.
3
cos2
2
a
. B.
1
cos2
2
a
. C.
2
cos2
3
a
. D.
1
cos2
2
a
.
Lời giải
Đáp án đúng là: D
Ta có:
11
sin sin cos cos2 cos2
4 4 2 2 2
a a a a
.
Câu 6. Cho
tan cot m
. Giá trị của biểu thức
33
tan cot
là
A.
3
3mm
. B.
3
3mm
. C.
3
3mm
. D.
3
3mm
.
Lời giải
Đáp án đúng là: D
Ta có:
3 3 2 2
tan cot tan cot tan tan .cot cot
2
tan cot tan cot 3tan .cot
2
tan cot tan cot 3
23
33m m m m
.
Câu 7. Cho
0;x
thỏa mãn
5
cos
13
x
. Giá trị của
tan
4
x
bằng
A.
17
7
. B.
7
17
. C.
17
7
. D.
7
17
.
Lời giải

Đáp án đúng là: A
Theo giả thiết
0;x
và
5
cos 0
13
x
suy ra
0;
2
x
nên
tan 0x
.
Do đó
2
1 169 12
tan 1 1
cos 25 5
x
x
.
Ta có
12
1
tan tan
tan 1 17
5
4
tan
12
4 1 tan 7
1 tan tan 1
45
x
x
x
x
x
.
Câu 8. Cho
1
sin
3
và
2
. Khi đó
cos
có giá trị là
A.
2
cos
3
. B.
22
cos
3
. C.
8
cos
9
. D.
22
cos
3
.
Lời giải
Đáp án đúng là: D
Vì
2
nên
0cos
.
22
sin cos 1
22
cos 1 sin
2
8
cos
9
8 2 2
cos
93
8 2 2
cos
93
loai
tm
Câu 9. Cho hàm số
tan .yx
Khẳng định sau đây là sai?
A. Hàm số đã cho là hàm số chẵn.
B. Tập xác định của hàm số đã cho là
\
2
kk
.
C. Hàm số đã cho đồng biến trên mỗi khoảng
;
22
kk
với
k
.

D. Hàm số đã cho tuần hoàn theo chu kì
.
Lời giải
Đáp án đúng là: A
Câu 10. Cho các đồ thị hàm số sau :
Hình 1
Hình 2
Hình 3
Hình 4
Hình nào là đồ thị hàm số
sin ?yx
A. Hình 1. B. Hình 2. C. Hình 3. D. Hình 4.
Lời giải
Đáp án đúng là: B
Câu 11. Trong các hàm số
tanyx
;
sin2yx
;
sinyx
;
cotyx
, có bao nhiêu
hàm số thỏa mãn tính chất
f x k f x
,
x
,
k
.
A. 1. B. 2. C. 3. D.
4
.
Lời giải
Đáp án đúng là: A
Ta có hàm số
tanyx
có tập xác định là
\,
2
kk
và hàm số
cotyx
có tập xác định là
\,kk
nên cả hai hàm số này đều không thỏa yêu cầu.
Xét hàm số
sin2yx
: Ta có
sin2 sin 2 2 sin2x k x k x
,
x
,
k
.
Hàm số
sinyx
là hàm số tuần hoàn với chu kỳ
2
nên không thỏa yêu cầu.
Câu 12. Hàm số
sinyx
đồng biến trên khoảng nào sau đây?
A.
57
;
44
. B.
9 11
;
44
. C.
7
;3
4
. D.
79
;
44
.

Lời giải
Đáp án đúng là: D
Dựa vào định nghĩa đưng tròn lượng giác ta thấy hàm số lượng giác cơ bản
sinyx
đồng biến ở góc phần tư thứ nhất và góc phần tư thứ tư.
Dễ thấy khoảng
79
;
44
là phần thuộc góc phần tư thứ tư và thứ nhất nên hàm số
đồng biến.
Câu 13. Tập xác định của hàm số
sin 1
sin 2
x
y
x
là
A.
2;
B.
2;
C.
\2
. D. .
Lời giải
Đáp án đúng là: D
Ta có
sin 1,1 .xx
Do đó
sin 2 0,xx
.
Vậy tập xác định
D
Câu 14. Trong các hàm số sau, hàm số nào có đồ thị đối xứng qua gốc tọa độ?
A.
cot4 .yx
B.
sin 1
.
cos
x
y
x
C.
2
tan .yx
D.
cot .yx
Lời giải
Đáp án đúng là: A
Câu 15. Nghiệm của phương trình
cos 1x
là:
A.
2
xk
,
k
. B.
2xk
,
k
.
C.
2xk
,
k
. D.
xk
,
k
.
Lời giải
Đáp án đúng là: C
Phương trình
cos 1x
2xk
,
k
.
Câu 16. Phương trình nào sau đây vô nghiệm?
A.
1
cos
2
x
. B.
sin 2x
. C.
tan x
. D.
cot2 3 0x
.
Lời giải

Đáp án đúng là: B
Câu 17. Nghiệm của phương trình
sin 1
2
x
là
A.
4,x k k
. B.
2,x k k
.
C.
2,x k k
. D.
2,
2
x k k
.
Lời giải
Đáp án đúng là: A
Ta có
sin 1 2 4 ,
2 2 2
xx
k x k k
Câu 18. Phương trình
sin4 cosxx
tương đương với
A.
42
2
;.
42
2
x x k
k
x x k
B.
42
2
;.
42
2
x x k
k
x x k
C.
42
;.
42
x x k
k
x x k
D.
4 2 ; .
2
x x k k
Lời giải
Đáp án đúng là: A
42
2
sin4 cos sin4 sin ;
2
42
2
x x k
x x x x k
x x k
Câu 19. Gọi
S
là tập tất cả các giá trị nguyên của tham số
m
thuộc đoạn
10;10
để phương trình
2023cos cos90xm
có nghiệm. Số phần tử của tập
S
là
A.
10
. B.
20
. C.
11
. D.
21
.
Lời giải
Đáp án đúng là: D
Ta có:
2023cos cos90 cos
2023
m
x m x
*

Để phương trình
*
có nghiệm thì
1 1 2023 2023
2023
m
m
.
Vì
10;10m
và
m
nên tập
S
có
11
phần tử.
Câu 20. Nghiệm của phương trình
cot 3
3
x
có dạng
k
x
mn
,
k
,
,m
*
n
và
k
n
là phân số tối giản. Khi đó
mn
bằng
A.
5
. B.
3
. C.
5
. D.
3
.
Lời giải
Đáp án đúng là: A
Ta có
cot 3
3
x
cot cot
36
x
36
xk
6
xk
,
k
.
Vậy
6
1
m
n
5mn
.
Câu 21. Cho dãy số
,
n
u
biết
31
n
n
n
u
. Ba số hạng đầu tiên của dãy số đó là
A.
1 1 1
; ; .
2 4 8
B.
1 1 3
; ; .
2 4 26
C.
1 1 1
; ; .
2 4 16
D.
1 2 3
; ; .
234
Lời giải
Đáp án đúng là: B
Ta có:
1 2 3
1 1 3
;;
2 4 26
u u u
.
Câu 22. Cho dãy số:
5;10;15;20;25; ...
. Số hạng tổng quát của dãy số là
A.
51
n
un
. B.
5
n
un
. C.
5
n
un
. D.
51
n
un
.
Lời giải
Đáp án đúng là: B
Ta có:
1
5.1,u
2
10 5.2,u
3
15 5.3,u
4
5.4,u
5
5.5u
5.
n
un
.

Câu 23. Xét tính bị chặn của dãy số sau:
21
2
n
n
u
n
A. Bị chặn. B. Bị chặn trên, không bị chặn dưới.
C. Không bị chặn. D. Bị chặn dưới, không bị chặn trên.
Lời giải
Đáp án đúng là: A
Ta có
2 1 2 4 2( 2)
0 2
2 2 2
n
n n n
un
n n n
nên dãy
n
u
bị chặn.
Câu 24. Cho dãy số
,
n
u
biết
1
21
n
n
u
n
. Số
8
15
là số hạng thứ mấy của dãy số?
A. 8. B. 6. C. 5. D. 7.
Lời giải
Đáp án đúng là: D
Ta có
*
8 1 8
15 15 16 8 7
15 2 1 15
n
n
u n n n n
n
.
Vậy
8
15
là số hạng thứ 7 của dãy số
.
n
u
Câu 25. Trong các dãy số
n
u
cho bởi số hạng tổng quát
n
u
sau, dãy số nào là dãy số
tăng?
A.
1
2
n
n
u
. B.
1
n
u
n
. C.
5
31
n
n
u
n
. D.
21
1
n
n
u
n
.
Lời giải
Đáp án đúng là: D
Vì
2;
n
n
là các dãy dương và tăng nên
11
;
2
n
n
là các dãy giảm, do đó loại A,B
Xét đáp án C:
1
12
2
3
5
2
7
31
6
n
u
n
u u u
n
u
loại C
Xét đáp án D:
1
2 1 3 1 1
2 3 0
1 1 1 2
n n n
n
u u u
n n n n
.

Câu 26. Trong không gian, có bao nhiêu mặt phẳng đi qua ba điểm không thẳng
hàng?
A.
2
. B. 3. C. Vô số. D. Một và chỉ một.
Lời giải
Đáp án đúng là: D
Qua 3 điểm không thẳng hàng có duy nhất một mặt phẳng.
Câu 27. Cho bốn điểm
, , ,A B C D
không cùng nằm trên một mặt phẳng. Trên cạnh
,AB AC
lần lượt lấy hai điểm
,MN
sao cho
MN
cắt
BC
tại
E
. Điểm
E
thuộc mặt
phẳng nào sau đây?
A.
ABD
. B.
MND
. C.
BCD
. D.
ACD
.
Lời giải
Đáp án đúng là: C
Ta có
E BC BCD E BCD
.
Câu 28. Cho tứ diện
ABCD
,
M
là trung điểm của
AB
,
N
là điểm trên
AC
mà
1
,
4
AN AC
P
là điểm trên đoạn
AD
mà
2
3
AP AD
. Gọi
E
là giao điểm của
MP
và
BD
,
F
là giao điểm của
MN
và
BC
. Khi đó giao tuyến của
BCD
và
CMP
là
A.
CP
. B.
NE
. C.
MF
. D.
CE
.
Lời giải
Đáp án đúng là: D

Ta có
C BCD CMP
1
.
Lại có
E BD E BCD
BD MP E
E MP E CMP
2
.
Từ
1
và
2
BCD CMP CE
.
Câu 29. Cho hình chóp
.S ABCD
có đáy là hình bình hành.
,MN
lần lượt thuộc
đoạn
,.AB SC
Khẳng định nào sau đây đúng?
A. Giao điểm của
MN
và
SBD
là giao điểm của
MN
và
.SB
B. Đưng thẳng
MN
không cắt mặt phẳng
SBD
.
C. Giao điểm của
MN
và
SBD
là giao điểm của
MN
và
SI
, trong đó
I
là
giao điểm của
CM
và
BD
.
D. Giao điểm của
MN
và
SBD
là giao điểm của
MN
và
.BD
Lời giải
Đáp án đúng là: C
Trong mặt phẳng
ABCD
gọi
.I BD CM SI SCM SBD

Trong mặt phẳng
SCM
gọi
.J MN SI J MN SBD
Câu 30. Trong các mệnh đề sau, mệnh đề nào đúng?
A. Hai đưng thẳng phân biệt không song song thì chéo nhau.
B. Hai đưng thẳng không có điểm chung thì chéo nhau.
C. Hai đưng thẳng chéo nhau thì không có điểm chung.
D. Hai đưng thẳng lần lượt nằm trên hai mặt phẳng phân biệt thì chéo nhau.
Lời giải
Đáp án đúng là: C
Hai đưng thẳng chéo nhau thì không có điểm chung đúng, vì hai đưng thẳng chéo
nhau là hai đưng thẳng không cùng nằm trong mặt phẳng nên chúng không có điểm
chung.
Câu 31. Cho tứ diện
ABCD
. Gọi
,MN
lần lượt là trung điểm của
AB
và
.CD
Mệnh đề nào dưới đây đúng?
A.
AN
và
BC
cắt nhau. B.
AN
và
BC
chéo nhau.
C.
AN
và
CM
song song với nhau. D.
AC
và
BD
cắt nhau.
Lời giải
Đáp án đúng là: B
AN
và
BC
là hai đưng thẳng chéo nhau.
Câu 32. Cho hình chóp
.S ABCD
có đáy
ABCD
là hình bình hành. Gọi
M
là trung
điểm của
.SA
Giao điểm của đưng thẳng
SB
và mặt phẳng
CMD
là
A. Không có giao điểm. B. Giao điểm của đưng thẳng
SB
và
.MC
A
B
C
D
M
N

C. Trung điểm của đoạn thẳng
SB
. D. Giao điểm của đưng thẳng
SB
và
.MD
Lời giải
Đáp án đúng là: D
Vì
M
là điểm chung của
SA
và
CMD
, nên giao điểm của đưng thẳng
SB
và mặt
phẳng
CMD
(nếu có) sẽ thuộc giao tuyến của
SAB
và
CMD
.
Ta có
SAB
và
CMD
có điểm chung là
M
và
//AB CD
nên giao tuyến của
SAB
và
CMD
là đưng thẳng
d
qua
M
và song song
,AB CD
.
Gọi
N d SB
, khi đó,
//MN AB
, mà
M
là trung điểm
SA
, suy ra,
N
là trung
điểm
SB
.
Vậy giao điểm của đưng thẳng
SB
và mặt phẳng
CMD
là trung điểm
SB
.
Câu 33. Cho tứ diện
ABCD
. Gọi
,MN
là hai điểm phân biệt cùng thuộc đưng
thẳng
AB
;
,PQ
là hai điểm phân biệt cùng thuộc đưng thẳng
CD
. Xác định vị trí
tương đối của
MQ
và
NP
.
A.
MQ
cắt
NP
. B.
//MQ NP
.
C.
MQ NP
. D.
,MQ NP
chéo nhau.
Lời giải
Đáp án đúng là: D

Xét mặt phẳng
.ABP
Ta có:
,MN
thuộc
,AB M N
thuộc mặt phẳng
.ABP
Mặt khác:
.CD ABP P
Mà:
, , ,Q CD Q ABP M N P Q
không đồng
phẳng
MQ
và
NP
chéo nhau.
Câu 34. Cho đưng thẳng
d
song song với mặt phẳng
. Số điểm chung của
d
và
là
A. 0. B. 1. C. 2. D. vô số.
Lời giải
Đáp án đúng là: A
Câu 35. Cho tứ diện
ABCD
. Gọi
M
là trọng tâm của tam giác
ABC
và
N
là điểm
nằm trên cạnh
AD
sao cho
2AN ND
. Khi đó ta có
A.
//MN BCD
. B.
MN
cắt
BD
. C.
//MN CD
. D.
AC
cắt
BD
.
Lời giải
Đáp án đúng là: A
Gọi
E
là trung điểm
BC
.
Trong
AED
, có
2
3
AM AN
AE AD
// //MN ED MN BCD
.
PHẦN II. TỰ LUẬN (3,0 điểm)
Bài 1. (1,5 điểm)
B
D
C
A
M
N
P
Q

a) Xét hàm số
sinyx
trên
2
;
63
Từ bảng biến thiên của hàm số
sinyx
trên
2
;
63
, dễ thấy để phương trình có
hai nghiệm phân biệt trên
2
;
63
thì
3
1
2
m
.
b) Điều kiện:
2
3
3
sin ;
2
2
2
3
xk
xk
xk
Với điều kiện trên, phương trình trở thành
tan 3 ,
3
x x k k
.
Kết hợp điều kiện, ta được các nghiệm là
4
2;
3
x k k
Vậy nghiệm dương nhỏ nhất của phương trình là
0
4
3
x
.
c) Ta có:
7 3sin 60 10 13, 0 365
1
62
vt àtt
Theo đề bài ta có:
sin 60 1 60 2 21 324
162 162 2
t t k t k
.
Với
t
và
0 365t
, ta được
303t
.
Vậy vào ngày thứ
303
, thành phố
X
có ít gi ánh sáng mặt tri nhất.
Bài 2. (0,5 điểm)

Dãy số
n
u
với
2
22
3
11
2
2 1 2 2 1
n
n
nn
u
nn
Với mọi
*,n
xét hiệu số:
2
1
2
33
1
11
22
2 2 2 1
2 1 1
nn
nn
uu
n
n
22
53
22
2 2 3 2 1
nn
n n n
22
22
53
2 1 2 2 3
22
2 2 3 2 1
n n n n n
n n n
22
52
0 1.
2 2 3 2 1
n
n
n n n
Vậy dãy số
n
u
là dãy số giảm.
Bài 3. (1,0 điểm)
a) Do
,MI
lần lượt là trung điểm của
,SD SG
nên
MI
là đưng trung bình của tam
giác
SDG
.
Do đó
//MI DG
hay
//MI BD
.
b) Trong
SBD
kẻ
MI
cắt
SO
tại
E
(với
O
là tâm hình bình hành
ABCD
)
Trong
SAC
kẻ
CE
cắt
SA
tại
F
.
Khi đó
F SA
F CMI
hay
F SA CMI
Kẻ
//ON CF
với
N SA
.
Do
O
là trung điểm của
AC
nên
N
là trung điểm của
FA
.
Vì
//FE NO
và
E
là trung điểm của
SO
nên
F
là trung điểm của
SN
.
I
O
A
D
C
B
S
E
G
M
F

Vậy
1
.
2
FS
FA
----------HẾT----------