UBND HUYỆN THANH TRÌ
ĐỀ KIỂM TRA HỌC KÌ I
PHÒNG GIÁO DỤC – ĐÀO TẠO MÔN: TOÁN – Lớp 9
Thời gian làm bài: 90 phút; không kể thời gian phát đề Mục tiêu:
+) Đề thi gồm 6 bài tập tự luyện với đầy đủ kiến thức đã học trong chương trình HK1 môn Toán lớp 9.
Các bài tập ở các mức độ từ TH – VD và VDC.
+) Đề thi giúp các em có thể ôn tập và kiểm tra lại kiến thức đã học được trong kì vừa qua.
Bài 1 (VD) (2,0 điểm): Rút gọn các biểu thức
Bài 2 (VD) (2,0 điểm): Cho hai biểu thức và
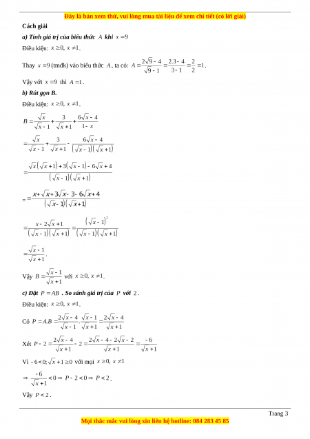
a) Tính giá trị của biểu thức khi . b) Rút gọi . c) Đặt
. So sánh giá trị của với 2.
Bài 3 (VD) (1,5 điểm): Cho hàm số
có đồ thị là đường thẳng .
a) Tìm để đường thẳng
song song vớ đường thẳng .
b) Vẽ đồ thị hàm số trên với tìm được ở câu a. c) Đường thẳng cắt trục tại , cắt trục tại . Tìm để tam giác vuông cân.
Bài 4 (TH) (1,0 điểm): Tính chiều cao của cây trong hình vẽ bên (Làm tròn đến chữ số thập phân thứ nhất) Trang 1
Bài 5 (VD) (3,0 điểm): Cho đường tròn và một điểm
nằm ngoài đường tròn. Từ kẻ hai tiếp tuyến với đường tròn
( và là hai tiếp điểm). Gọi là giao điểm của và . Kẻ đường kính của . a) Chứng minh 4 điểm
cùng thuộc một đường tròn. b) Chứng minh . c) Qua
vẽ đường thẳng vuông góc với
tại và cắt đường thẳng tại . Chứng minh là
tiếp tuyến của đường tròn .
Bài 6 (VDC) (0,5 điểm): Cho ba số dương
thay đổi nhưng luôn thỏa mãn điều kiện .
Tìm giá trị lớn nhất của biểu thức:
HƯỚNG DẪN GIẢI CHI TIẾT
THỰC HIỆN: BAN CHUYÊN MÔN TUYENSINH247.COM Bài 1 (VD): Phương pháp
Đưa thừa số ra ngoài dấu căn Trục căn thức ở mẫu Cách giải: +) Ta có: +) Ta có: Bài 2 (VD): Phương pháp a) Thay vào và tính giá trị.
b) Quy đồng, khử mẫu và rút gọn. c) Tính và xét dấu của hiệu . Trang 2
Cách giải
a) Tính giá trị của biểu thức khi Điều kiện: . Thay
(tmđk) vào biểu thức , ta có: . Vậy với thì . b) Rút gọn B. Điều kiện: . = . Vậy với . c) Đặt
. So sánh giá trị của với . Điều kiện: . Có Xét Vì với mọi . Vậy . Trang 3
Câu 3 (VD): Phương pháp a) Đường thẳng . b) Cho lần lượt
tìm tọa độ các điểm đi qua và vẽ đồ thị. c) Tìm tọa độ . để vuông cân tại . Cách giải
a) Tìm để đường
thẳng song song với đường thẳng . Đường thẳng
song song với đường thẳng Vậy thì thỏa mãn bài toán.
b) Vẽ đồ thị hàm số trên với tìm được ở câu a. Với , ta có: . Cho ta được nên Cho nên
Đồ thị hàm số là đường thẳng đi qua hai điểm và
c) Đường thẳng cắt trục
tại , cắt trục
tại . Tìm để tam giác vuông cân. cắt hai trục tại thì Trang 4
Đề thi học kì Toán 9 năm 2023 Huyện Thanh Trì
CÁCH MUA:
- B1: Gửi phí vào TK:
1053587071
- NGUYEN VAN DOAN - Ngân hàng Vietcombank (QR) - B2: Nhắn tin tới Zalo VietJack Official ( nhấn vào đây ) để xác nhận thanh toán và tải tài liệu - giáo án
Liên hệ ngay Hotline hỗ trợ: 084 283 45 85
Đề thi được cập nhật liên tục trong gói này từ nay đến hết tháng 6/2023. Chúng tôi đảm bảo đủ số lượng đề đã cam kết hoặc có thể nhiều hơn, tất cả có BẢN WORD, LỜI GIẢI CHI TIẾT và tải về dễ dàng.
Để tải tài liệu gốc về máy bạn click vào nút Tải Xuống ở trên!
Thuộc bộ (mua theo bộ để tiết kiệm hơn):
- Bộ 14 Đề thi học kì Toán 9 năm 2023 chọn lọc từ các trường bản word có lời giải chi tiết:
+ Đề thi học kì 1 Toán 8 năm 2023 Sở GD và ĐT An Giang;
+ Đề thi học kì 1 Toán 8 năm 2023 Sở GD và ĐT Thừa Thiên Huế;
+ Đề thi học kì 1 Toán 8 năm 2023 Sở GD và ĐT Nam Định;
...............................
- Mua trọn bộ sẽ tiết kiệm hơn tải lẻ 50%.
Đánh giá
4.6 / 5(1042 )
Trọng Bình
Giúp ích cho tôi rất nhiều

Duy Trần
Rất thích tài liệu bên VJ soạn (bám sát chương trình dạy)
TÀI LIỆU BỘ BÁN CHẠY MÔN Toán Học
Xem thêmTÀI LIỆU BỘ BÁN CHẠY Lớp 9
Xem thêmTài liệu bộ mới nhất




