UBND QUẬN NAM TỪ LIÊM
ĐỀ KIỂM TRA HỌC KÌ I
PHÒNG GIÁO DỤC VÀ ĐÀO MÔN: TOÁN – Lớp 9 TẠO
Ngày thi: 06 tháng 12 năm 2019
Thời gian làm bài: 90 phút; không kể thời gian phát đề
Câu I (VD) (2 điểm). 1. Tính: a) b)
2) Giải các phương trình sau: a) b)
Câu II (VD) (2 điểm). Cho hai biểu thức: và với a) Tính khi b) Chứng minh:
c) Tìm giá trị nhỏ nhất của biểu thức
Câu III (VD) (2 điểm). Cho đường thẳng a) Vẽ đường thẳng
trên mặt phẳng tọa độ
b) Tìm tọa độ giao điểm của và c) Cho đường thẳng Tìm giá trị của để ba đường thẳng cắt nhau tại một điểm.
Câu IV (VD) (3,5 điểm).
1. Một con thuyền ở địa điểm di chuyển từ bờ
sông sang bờ sông với vận tốc trung bình là
vượt qua khúc sông nước chảy mạnh
trong 20 phút. Biết đường đi con thuyền là
tạo với bờ sông một góc bằng . Tính chiều rộng khúc sông. 2. Lấy điểm trên vẽ tiếp tuyến Trên lấy điểm trên lấy điểm sao cho Trang 1
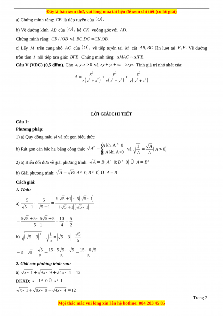
a) Chứng minh rằng: là tiếp tuyến của b) Vẽ đường kính của kẻ vuông góc với Chứng minh rằng: và c) Lấy trên cung nhỏ của vẽ tiếp tuyến tại cắt lần lượt tại Vẽ đường
tròn tâm nội tiếp tam giác Chứng minh rằng:
Câu V (VDC) (0,5 điểm). Cho và
Tính giá trị nhỏ nhất của: LỜI GIẢI CHI TIẾT Câu 1: Phương pháp:
1) a) Quy đồng mẫu số và rút gọn biểu thức
b) Rút gọn căn bậc hai bằng công thức và
2) a) Biến đổi đưa về giải phương trình: b) Giải phương trình: Cách giải: 1. Tính: a) b)
2. Giải các phương trình sau: a) ĐKXĐ: Trang 2
Vậy x=5. b) ĐKXĐ: Vậy x=5.
Câu II: Đáp án Phương pháp: a) Thay giá trị của
vào biểu thức và tính giá trị.
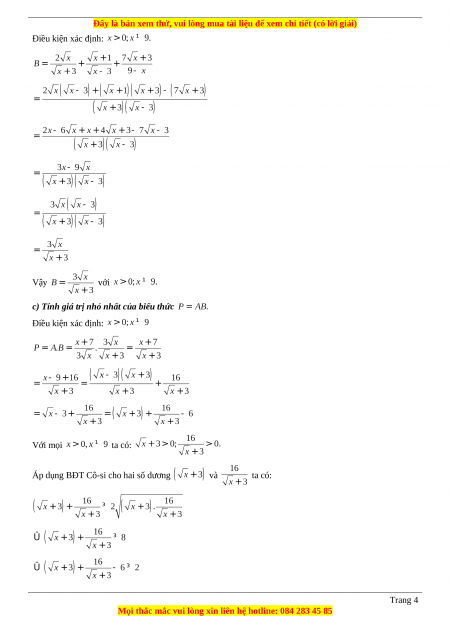
b) Quy đồng mẫu thức và rút gọn biểu thức. c) Rút gọn
Áp dụng BĐT Cô-si để tìm GTNN Cách giải:
Cho hai biểu thức và với b) Tính khi Điều kiện: Có: (tmđk) Thay vào ta được: Vậy khi thì
b) Rút gọn biểu thức Trang 3
Điều kiện xác định: Vậy với
c) Tính giá trị nhỏ nhất của biểu thức Điều kiện xác định: Với mọi ta có:
Áp dụng BĐT Cô-si cho hai số dương và ta có: Trang 4
Đề thi học kì Toán 9 năm 2023 Quận Nam Từ Liêm
CÁCH MUA:
- B1: Gửi phí vào TK:
1053587071
- NGUYEN VAN DOAN - Ngân hàng Vietcombank (QR) - B2: Nhắn tin tới Zalo VietJack Official ( nhấn vào đây ) để xác nhận thanh toán và tải tài liệu - giáo án
Liên hệ ngay Hotline hỗ trợ: 084 283 45 85
Đề thi được cập nhật liên tục trong gói này từ nay đến hết tháng 6/2023. Chúng tôi đảm bảo đủ số lượng đề đã cam kết hoặc có thể nhiều hơn, tất cả có BẢN WORD, LỜI GIẢI CHI TIẾT và tải về dễ dàng.
Để tải tài liệu gốc về máy bạn click vào nút Tải Xuống ở trên!
Thuộc bộ (mua theo bộ để tiết kiệm hơn):
- Bộ 14 Đề thi học kì Toán 9 năm 2023 chọn lọc từ các trường bản word có lời giải chi tiết:
+ Đề thi học kì 1 Toán 8 năm 2023 Sở GD và ĐT An Giang;
+ Đề thi học kì 1 Toán 8 năm 2023 Sở GD và ĐT Thừa Thiên Huế;
+ Đề thi học kì 1 Toán 8 năm 2023 Sở GD và ĐT Nam Định;
...............................
- Mua trọn bộ sẽ tiết kiệm hơn tải lẻ 50%.
Đánh giá
4.6 / 5(1948 )
Trọng Bình
Giúp ích cho tôi rất nhiều

Duy Trần
Rất thích tài liệu bên VJ soạn (bám sát chương trình dạy)
TÀI LIỆU BỘ BÁN CHẠY MÔN Toán Học
Xem thêmTÀI LIỆU BỘ BÁN CHẠY Lớp 9
Xem thêmTài liệu bộ mới nhất




