SỞ GD&ĐT
ĐỀ KIỂM TRA HỌC KÌ I TRƯỜNG THPT MÔN: TOÁN – Lớp 9
Thời gian làm bài: 90 phút; không kể thời gian phát đề Mục tiêu:
+) Đề thi gồm 5 bài tập tự luận với đầy đủ kiến thức đã học trong chương trình HK1 môn Toán lớp 9.
Các bài tập ở các mức độ từ VD và VDC.
+) Đề thi giúp các em có thể ôn tập và kiểm tra lại kiến thức đã được học trong học kì vừa qua.
Câu 1. (VD) (2,0 điểm) 1. Rút gọn biểu thức: 2. Giải phương trình:
Câu 2. (VD) (2,0 điểm) Cho hai biểu thức và ; với và .
1) Tính giá trị của biểu thức P khi 2) Chứng minh rằng 3) Tìm x để
Câu 3. (VD) (2,0 điểm)
Cho hai hàm số bậc nhất và
1) Tìm giá trị của m để đồ thị của hai hàm số đã cho là hai đường thẳng song song.
2) Tìm giá trị của m để giao điểm của hai đồ thị đã cho nằm trên trục hoành.
Câu 4. (VD) (3,5 điểm)
Cho nửa đường tròn (O;R) đường kính AB. Gọi C, D là hai điểm di chuyển trên cung tròn sao cho góc COD luôn bằng
(C nằm giữa A và D). Tiếp tuyến tại C, D cắt đường thẳng AB lần lượt tại F, G. Gọi
E là giao điểm của FC và GD.
1) Tính chu vi của tam giác ECD theo R.
2) Khi tứ giác FCDG là hình thang cân. Hãy tính tỉ số .
3) Chứng minh rằng FC.DG luôn là hằng số.
4) Tìm vị trí của C, D sao cho tích AD.BC đạt giá trị lớn nhất.
Câu 5. (VDC) (0,5 điểm)
Với hai số dương x, y thỏa mãn
. Tìm giá trị lớn nhất của biểu thức Trang 1
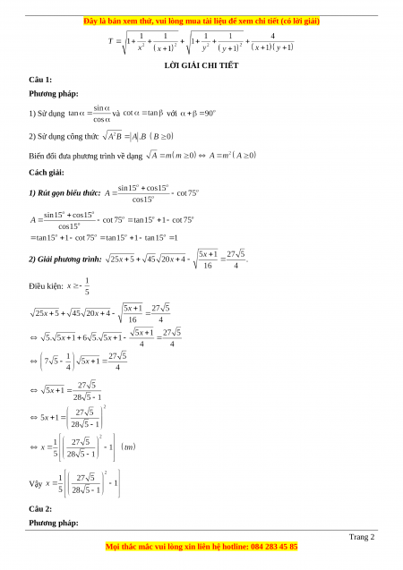
LỜI GIẢI CHI TIẾT Câu 1: Phương pháp: 1) Sử dụng và với 2) Sử dụng công thức
Biến đổi đưa phương trình về dạng Cách giải:
1) Rút gọn biểu thức:
2) Giải phương trình: Điều kiện: Vậy Câu 2: Phương pháp: Trang 2
1) Rút gọn P. Thay
vào P để tính toán.
2) Rút gọn Q bằng cách trục căn thức ở mẫu rồi tính
3) Đánh giá mẫu thức rồi suy ra điều kiện của tử thức Cách giải:
1) Tính giá trị của biểu thức P khi . Điều kiện: Thay vào ta được: Vậy với thì .
2) Chứng minh rằng Điều kiện: Từ đó Vậy 3) Tìm x để Trang 3
Ta có: với Nên Để Với và thì Nên Kết hợp điều kiện và ta có . Vậy
thỏa mãn yêu cầu bài toán. Câu 3: Phương pháp: a) Hai đường thẳng song song với nhau khi
b) Xét phương trình hoành độ giao điểm rồi biện luận theo m phương trình thu được.
Tìm tung độ giao điểm rồi cho tung độ đó bằng 0. Cách giải: Trang 4
Đề thi học kì Toán 9 năm 2023 Quận Thanh Xuân
CÁCH MUA:
- B1: Gửi phí vào TK:
1053587071
- NGUYEN VAN DOAN - Ngân hàng Vietcombank (QR) - B2: Nhắn tin tới Zalo VietJack Official ( nhấn vào đây ) để xác nhận thanh toán và tải tài liệu - giáo án
Liên hệ ngay Hotline hỗ trợ: 084 283 45 85
Đề thi được cập nhật liên tục trong gói này từ nay đến hết tháng 6/2023. Chúng tôi đảm bảo đủ số lượng đề đã cam kết hoặc có thể nhiều hơn, tất cả có BẢN WORD, LỜI GIẢI CHI TIẾT và tải về dễ dàng.
Để tải tài liệu gốc về máy bạn click vào nút Tải Xuống ở trên!
Thuộc bộ (mua theo bộ để tiết kiệm hơn):
- Bộ 14 Đề thi học kì Toán 9 năm 2023 chọn lọc từ các trường bản word có lời giải chi tiết:
+ Đề thi học kì 1 Toán 8 năm 2023 Sở GD và ĐT An Giang;
+ Đề thi học kì 1 Toán 8 năm 2023 Sở GD và ĐT Thừa Thiên Huế;
+ Đề thi học kì 1 Toán 8 năm 2023 Sở GD và ĐT Nam Định;
...............................
- Mua trọn bộ sẽ tiết kiệm hơn tải lẻ 50%.
Đánh giá
4.6 / 5(2348 )
Trọng Bình
Giúp ích cho tôi rất nhiều

Duy Trần
Rất thích tài liệu bên VJ soạn (bám sát chương trình dạy)
TÀI LIỆU BỘ BÁN CHẠY MÔN Toán Học
Xem thêmTÀI LIỆU BỘ BÁN CHẠY Lớp 9
Xem thêmTài liệu bộ mới nhất




