SỞ GD&ĐT BÌNH DƯƠNG
ĐỀ KIỂM TRA HỌC KÌ I MÔN TOÁN LỚP 9 ĐỀ CHÍNH THỨC
NĂM HỌC 2018 - 2019
Thời gian làm bài: 90 phút
(Không kể thời gian phát đề)
Bài 1 (1,5 điểm) (VD). Cho biểu thức .
a) Tìm điều kiện của a để P xác định. b) Rút gọn P. c) Tìm a để .
Bài 2 (1,25 điểm) (VD).
Chứng minh: Giá trị của biểu thức là một số nguyên.
Bài 3 (2,25 điểm) (VD).
a) Vẽ đồ thị hàm số sau trên cùng một mặt phẳng tọa độ: và .
b) Tìm tọa độ giao điểm A của hai đường thẳng và (bằng phép tính).
c) Tìm m để ba đường thẳng và đồng quy.
Bài 4 (1,5 điểm) (VD).
a) Giải hệ phương trình . b) Giải phương trình .
Bài 5 (3,5 điểm) (VD).
Cho tam giác ABC có AH là đường cao, biết và .
a) Tính độ dài các cạnh AH, AC.
b) Vẽ đường tròn tâm B bán kính BA. Chứng minh rằng AC là tiếp tuyến của đường tròn
c) Tia AH cắt đường tròn tại
. Vẽ tiếp tuyến Dx của
(với D là tiếp điểm).
Chứng minh rằng Dx đi qua điểm C.
d) Cạnh BC cắt đường tròn tại E.
Chứng minh AE là tia phân giác của góc HAC và . HẾT LỜI GIẢI CHI TIẾT Trang 1
Bài 1 (VD): Phương pháp a) Biểu thức xác định xác định .
b) Quy đồng mẫu số và rút gọn biểu thức.
c) Giải bất phương trình và kết hợp với điều kiện xác định để tìm điều kiện của a. Cách giải Cho biểu thức .
a) Tìm điều kiện của a để P xác định. P xác định . Vậy
thì biểu thức P xác định. b) Rút gọn P. ĐKXĐ: . Vậy với . c) Tìm a để . ĐKXĐ: . .
Kết hợp với điều kiện xác định . Vậy thì . Bài 2 (VD): Phương pháp
Dựa vào các hằng đẳng thức và công thức
để biến đổi và rút gọn A. Cách giải Trang 2
Vậy là một số nguyên. Bài 3 (VD): Phương pháp
a) Lập bảng giá trị của hai hàm số và vẽ chúng trên cùng 1 mặt phẳng tọa độ.
b) Xét phương trình hoành độ giao điểm của hai đồ thị để tìm x, thay giá trị x vừa tìm được vào 1 trong
hai phương trình để tìm y.
c) 3 đường thẳng đồng quy khi và chỉ khi đường thẳng thứ ba đi qua giao điểm của hai đường thẳng còn lại. Cách giải
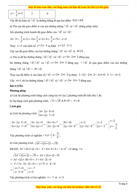
a) Vẽ đồ thị hàm số sau trên cùng một mặt phẳng tọa độ: và . + Vẽ đồ thị hàm số . Bảng giá trị: x 1 3 3 Vậy đồ thị hàm số là đường thẳng đi qua hai điểm . + Vẽ đồ thị hàm số . Bảng giá trị: x 0 4 Trang 3
2 0 Vậy đồ thị hàm số
là đường thẳng đi qua hai điểm
b) Tìm tọa độ giao điểm A của hai đường thẳng và (bằng phép tính).
Xét phương trình hoành độ giao điểm của và : Thay vào hàm số ta được .
Vậy tọa độ giao điểm của hai đường thẳng và là .
c) Tìm m để ba đường thẳng và đồng quy. Ba đường thẳng và đồng quy
đi qua giao điểm của hai đường thẳng và .
Thay tọa độ điểm A vào hàm số ta được: . Vậy thì ba đường thẳng và đồng quy. Bài 4 (VD): Phương pháp
a) Giải hệ phương trình bằng cách cộng hai vế của 2 phương trình để triệt tiêu 1 ẩn.
b) Áp dụng cách giải phương trình: . Cách giải
a) Giải hệ phương trình . .
Vậy phương trình có nghiệm .
b) Giải phương trình . ĐKXĐ: đúng .
Vậy phương trình có hai nghiệm và . Trang 4
Đề thi học kì Toán 9 năm 2023 Sở GD và ĐT Bình Dương
CÁCH MUA:
- B1: Gửi phí vào TK:
1053587071
- NGUYEN VAN DOAN - Ngân hàng Vietcombank (QR) - B2: Nhắn tin tới Zalo VietJack Official ( nhấn vào đây ) để xác nhận thanh toán và tải tài liệu - giáo án
Liên hệ ngay Hotline hỗ trợ: 084 283 45 85
Đề thi được cập nhật liên tục trong gói này từ nay đến hết tháng 6/2023. Chúng tôi đảm bảo đủ số lượng đề đã cam kết hoặc có thể nhiều hơn, tất cả có BẢN WORD, LỜI GIẢI CHI TIẾT và tải về dễ dàng.
Để tải tài liệu gốc về máy bạn click vào nút Tải Xuống ở trên!
Thuộc bộ (mua theo bộ để tiết kiệm hơn):
- Bộ 14 Đề thi học kì Toán 9 năm 2023 chọn lọc từ các trường bản word có lời giải chi tiết:
+ Đề thi học kì 1 Toán 8 năm 2023 Sở GD và ĐT An Giang;
+ Đề thi học kì 1 Toán 8 năm 2023 Sở GD và ĐT Thừa Thiên Huế;
+ Đề thi học kì 1 Toán 8 năm 2023 Sở GD và ĐT Nam Định;
...............................
- Mua trọn bộ sẽ tiết kiệm hơn tải lẻ 50%.
Đánh giá
4.6 / 5(2364 )
Trọng Bình
Giúp ích cho tôi rất nhiều

Duy Trần
Rất thích tài liệu bên VJ soạn (bám sát chương trình dạy)
TÀI LIỆU BỘ BÁN CHẠY MÔN Toán Học
Xem thêmTÀI LIỆU BỘ BÁN CHẠY Lớp 9
Xem thêmTài liệu bộ mới nhất




