SỞ GIÁO DỤC VÀ ĐÀO TẠO
ĐỀ KIỂM TRA HỌC KÌ I ĐỒNG NAI MÔN: TOÁN – Lớp 9
Thời gian làm bài: 90 phút; không kể thời gian phát đề Mục tiêu:
+) Đề thi gồm các câu hỏi tự luận với đầy đủ các kiến thức đã được học trong HK1 môn Toán 9. Sau
khi làm đề thi các em hoàn thành đề thi này, các em có thể nắm chắc được kiến thức cả học kì 1 của
mình và có định hướng tốt làm các bài kiểm tra cũng như bài thi có dạng bài tương tự.
+) Đề thi của Sở GD&ĐT Đồng Nai đưa ra khảo sát học sinh, đề thi rất hay và đầy đủ kiến thức với
các mức độ từ NB – TH – VD có thể đánh giá được kết quả của các em.
Câu 1 (VD) (2 điểm). 1. Thực hiện phép tính:
2. Trục căn thức ở mẫu:
3. Khử mẫu của biểu thức lấy căn
Câu 2 (TH) (1,5 điểm).
1. Tìm các số thực để có nghĩa. 2. Rút gọn biểu thức ( với và )
Câu 3 (VD) (3 điểm). 1. Cho hai hàm số và
có đồ thị lần lượt là và Vẽ hai đồ thị và
trên cùng một mặt phẳng tọa độ. 2. Cho hàm số có đồ thị là với là tham số thực. - Tìm các giá trị của để song song với - Tìm các giá trị của để cắt
Câu 4 (VD) (1 điểm). Cho tam giác
vuông tại có đường cao với 1. Tính theo 2. Tính
Câu 5 (VD) (2,5 điểm). Trang 1
Cho đường tròn đường kính Gọi
lần lượt là hai tiếp tuyến của đường tròn tại Một điểm
thay đổi trên đường tròn với không trùng và không trùng Vẽ tiếp tuyến của đường tròn tại
cắt và lần lượt tại và 1. Chứng minh 2. Chứng minh tam giác là tam giác vuông. 3. Chứng minh
có giá trị không đổi khi
thay đổi trên đường tròn thỏa mãn các điều kiện đã cho. Trang 2
LỜI GIẢI CHI TIẾT Câu 1: Phương pháp:
1) Áp dụng quy tắc phá dấu căn:
2) Trục căn thức ở mẫu bằng cách nhân với biểu thức liên hợp
3) Áp dụng quy tắc phá dấu căn: Cách giải:
1) Thực hiện phép tính:
2) Trục căn thức ở mẫu:
3) Khử mẫu của biểu thức lấy căn Câu 2: Phương pháp: 1) Biểu thức có nghĩa
2) Quy đồng mẫu thức và rút gọn biểu thức. Cách giải:
1) Tìm các số thực để có nghĩa. Để có nghĩa thì: Vậy
2) Rút gọn biểu thức (với và ) ĐKXĐ: và Trang 3
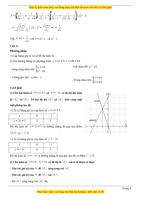
Vậy với và Câu 3: Phương pháp:
1) Lập bảng giá trị và vẽ đồ thị hàm số
2) Hai đường thẳng có phương trình - Cắt nhau khi - Song song nhau khi: - Vuông góc khi: - Trùng nhau khi: Cách giải:
1) Cho hai hàm số và
có đồ thị lần lượt là và
Vẽ hai đồ thị và
trên cùng một
mặt phẳng tọa độ.
+) Ta có bảng giá trị của hàm số : x 0 5 3 Đồ thị hàm số
là đường thẳng đi qua hai điểm và
+) Ta có bảng giá trị của hàm số : x 0 0 3 Đồ thị hàm số
là đường thẳng đi qua góc tọa độ và điểm
2) Cho hàm số
có đồ thị là
với m là tham số thực.
- Tìm các giá trị của để
song song với
- Tìm các giá trị của để cắt - Để song song với thì: Trang 4
Đề thi học kì Toán 9 năm 2023 Sở GD và ĐT Đồng Nai
CÁCH MUA:
- B1: Gửi phí vào TK:
1053587071
- NGUYEN VAN DOAN - Ngân hàng Vietcombank (QR) - B2: Nhắn tin tới Zalo VietJack Official ( nhấn vào đây ) để xác nhận thanh toán và tải tài liệu - giáo án
Liên hệ ngay Hotline hỗ trợ: 084 283 45 85
Đề thi được cập nhật liên tục trong gói này từ nay đến hết tháng 6/2023. Chúng tôi đảm bảo đủ số lượng đề đã cam kết hoặc có thể nhiều hơn, tất cả có BẢN WORD, LỜI GIẢI CHI TIẾT và tải về dễ dàng.
Để tải tài liệu gốc về máy bạn click vào nút Tải Xuống ở trên!
Thuộc bộ (mua theo bộ để tiết kiệm hơn):
- Bộ 14 Đề thi học kì Toán 9 năm 2023 chọn lọc từ các trường bản word có lời giải chi tiết:
+ Đề thi học kì 1 Toán 8 năm 2023 Sở GD và ĐT An Giang;
+ Đề thi học kì 1 Toán 8 năm 2023 Sở GD và ĐT Thừa Thiên Huế;
+ Đề thi học kì 1 Toán 8 năm 2023 Sở GD và ĐT Nam Định;
...............................
- Mua trọn bộ sẽ tiết kiệm hơn tải lẻ 50%.
Đánh giá
4.6 / 5(3252 )
Trọng Bình
Giúp ích cho tôi rất nhiều

Duy Trần
Rất thích tài liệu bên VJ soạn (bám sát chương trình dạy)
TÀI LIỆU BỘ BÁN CHẠY MÔN Toán Học
Xem thêmTÀI LIỆU BỘ BÁN CHẠY Lớp 9
Xem thêmTài liệu bộ mới nhất




