S GD&ĐT T Ở NH NAM Đ Ỉ NH Ị KỲ THI TH H Ử C SINH GI Ọ I L Ỏ ẦN 2 TR NG THPT NGUY ƯỜ N Ễ NĂM HỌC 2024 - 2025 BÍNH MÔN THI: TOÁN 12
Th i gian làm bài: 120 phút, không k ờ th ể i gian phát ờ Đ THI CHÍNH TH Ề C Ứ đề (Đ thi g ề ồm có 07 trang)
H và tên thí sinh:……………………………. S ọ báo danh: ố
………………………………….
PHẦN I. CÂU TRẮC NGHIỆM CHỌN ĐÁP ÁN: Trong mỗi câu hỏi, hãy chọn 1 đáp án.
Câu 1. [HSG&VDC MĐ2] Cho hình chóp có đáy là hình vuông cạnh , mặt bên
là tam giác vuông cân tại và nằm trên mặt phẳng vuông góc với đáy.
Tính khoảng cách giữa hai đường thẳng và A. . B. . C. . D. .
Câu 2. [HSG&VDC MĐ2] Cho hình chóp có đáy là hình thoi cạnh , . Cạnh
vuông góc với mặt đáy và
Tính góc giữa hai mặt phẳng và A. . B. . C. . D. .
Câu 3. [HSG&VDC MĐ2] Cho hàm số
xác định và có đạo hàm trên thỏa mãn
. Viết phương trình tiếp tuyến của đồ thị hàm số tại
điểm có hoành độ bằng A. . B. . C. . D. .
Câu 4. [HSG&VDC MĐ2] Gọi là tập hợp các số tự nhiên có chữ số. Chọn ngẫu nhiên
một số từ , tính xác suất để các chữ số của số đó đôi một khác nhau và phải có mặt chữ số và . A. . B. . C. . D. .
Câu 5. [HSG&VDC MĐ1] Đường tiệm cận ngang của đồ thị hàm số có phương trình là A. . B. . C. . D. .
Câu 6. [HSG&VDC MĐ1] Hàm số đồng biến trên khoảng A. . B. . C. . D. .
Câu 7. [HSG&VDC MĐ2] Cho khối lăng trụ tam giác đều có chiều cao bằng và hai đường thẳng
vuông góc với nhau. Tính theo thể tích của khối lăng trụ . 1 A. . B. . C. . D. .
Câu 8. [HSG&VDC MĐ1] Số đường tiệm cận đứng và tiệm cận ngang của đồ thị hàm số là A. . B. . C. . D. .
Câu 9. [HSG&VDC MĐ1] Biết rằng đồ thị hàm số nhận trục hoành
làm tiệm cận ngang và trục tung làm tiệm cận đứng. Khi đó giá trị của bằng. A. . B. . C. . D. .
Câu 10. [HSG&VDC MĐ2] Cho hàm số có đạo hàm
Khoảng nghịch biến của hàm số là A. . B. . C.. .. D. .
Câu 11. [HSG&VDC MĐ2] Cho tứ diện . Đặt . Gọi là trọng tâm tam giác
. Đẳng thức nào sau đây đúng? A. B. C. D.
Câu 12. [HSG&VDC MĐ2] Cho hinh hộp
tâm . Gọi là tâm của hình bình hành . Đặt . Khi đó A. . B. . C. . D. .
Câu 13. [HSG&VDC MĐ2] Cho hàm số với là tham số. Có
bao nhiêu giá trị nguyên của để hàm số nghịch biến trên khoảng A. . B. . C. . D. .
Câu 14. [HSG&VDC MĐ2] Cho tứ diện . Gọi
và lần lượt là trung điểm của và . Đặt , ,
. Khẳng định nào sau đây đúng? A. . B. . C. . D. .
Câu 15. [HSG&VDC MĐ2] Cho hàm số
có bảng biến thiên như sau 2 Hàm số
nghịch biến trong khoảng nào dưới đây A. . B. . C. . D. .
Câu 16. [HSG&VDC MĐ1] Hàm số có bao nhiêu cực trị? Hàm số
đồng biến trên khoảng nào sau đây? A. . B. . C. . D. .
Câu 17. [HSG&VDC MĐ2] Moment lực là một đại lượng vật lý, thể hiện tác động gây ra sự
quay quanh một điểmhoặc một trục của một vật thể. Trong không gian , với đơn vị
đo là mét, nếu tác động vào cán mỏ lết tại vị trí một lực để vặn con ốc ở vị trí (H,5,6) thì moment lực
được tính bởi công thức . Cho
. Nếu giữ nguyên lực tác động trong khi thay vị trí đặt lực sang sao cho moment lực là . Khi đó . Tính A. . B. . C. . D. .
Câu 18. [HSG&VDC MĐ2] Cho hình chóp có
, các cạnh còn lại đều bằng . Góc giữa hai vecto và bằng ? A. . B. . C. . D. .
Câu 19. [HSG&VDC MĐ2] Một chất điểm chuyển động theo quy luật , trong đó
là thời gian tính bằng giây và
là quãng đường tính bằng mét. Thời điểm tại đó vận tốc
của chuyển động đạt giá trị lớn nhất là: A. . B. . C. . D. .
Câu 20. [HSG&VDC MĐ3] Cho parabol
cắt trục hoành tại hai điểm phân biệt và đường thẳng . Xét parabol đi qua 2 điểm và có 3
đỉnh thuộc đường thẳng
. Gọi là diện tích hình phẳng giới hạn bởi và ,
là diện tích hình phẳng giới hạn bởi
và trục hoành (tham khảo hình vẽ) Biết . Tính A. . B. . C. . D. .
PHẦN II. CÂU TRẮC NGHIỆM ĐÚNG SAI: Trong mỗi ý ở mỗi câu, hãy chọn đúng hay sai
Câu 1. [HSG&VDC MĐ2] Cho hàm số có đạo hàm trên thỏa mãn , và . a) . b) . c) . d) .
Câu 2. [MĐ2]. Cho tứ diện có ba cạnh
đôi một vuông góc với nhau và
. Điểm là trọng tâm của tam giác
. Các mệnh đề sau đúng hay sai? a) .
b) Tích vô hướng của hai véc-tơ và bằng 3. c) Độ dài véc-tơ bằng . d) Khi điểm thay đổi, biểu thức
đạt giá trị nhỏ nhất khi điểm
là trung điểm của đoạn
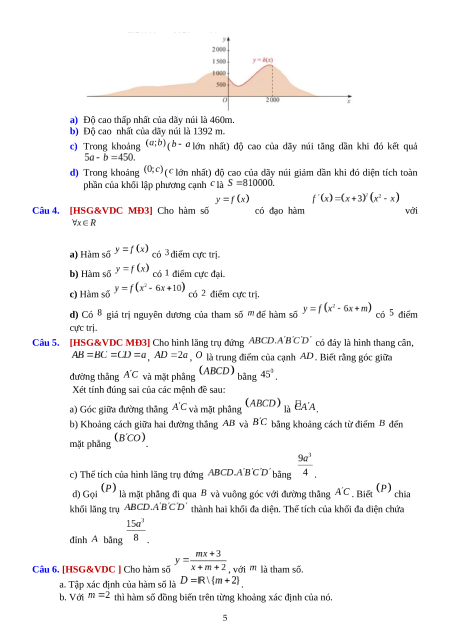
Câu 3. [HSG&VDC MĐ2] Một phần lát cắt của dãy núi có độ cao tính bằng mét được mô tả bởi hàm số với Khi đó,
xét tính đúng, sai của các khẳng định sau 4
Đề thi HSG Toán 12 Trường THPT Nguyễn Bính - Nam Định 2024 - 2025
232
116 lượt tải
MUA NGAY ĐỂ XEM TOÀN BỘ TÀI LIỆU
CÁCH MUA:
- B1: Gửi phí vào TK:
1053587071
- NGUYEN VAN DOAN - Ngân hàng Vietcombank (QR) - B2: Nhắn tin tới Zalo VietJack Official ( nhấn vào đây ) để xác nhận thanh toán và tải tài liệu - giáo án
Liên hệ ngay Hotline hỗ trợ: 084 283 45 85
Đề thi được cập nhật thêm mới liên tục hàng năm sau mỗi kì thi trên cả nước. Chúng tôi đảm bảo đủ số lượng đề đã cam kết hoặc có thể nhiều hơn, tất cả có BẢN WORD, LỜI GIẢI CHI TIẾT và tải về dễ dàng.
Để tải tài liệu gốc về máy bạn click vào nút Tải Xuống ở trên!
Thuộc bộ (mua theo bộ để tiết kiệm hơn):
- Tailieugiaovien.com.vn giới thiệu Bộ đề thi Học sinh giỏi nhằm giúp Giáo viên có thêm tài liệu tham khảo Toán lớp 12.
- File word có lời giải chi tiết 100%.
- Mua trọn bộ sẽ tiết kiệm hơn tải lẻ 50%.
Đánh giá
4.6 / 5(232 )5
4
3
2
1

Trọng Bình
Tài liệu hay
Giúp ích cho tôi rất nhiều

Duy Trần
Tài liệu chuẩn
Rất thích tài liệu bên VJ soạn (bám sát chương trình dạy)