ĐỀ SỐ 2 Câu 1: Cho hàm số có
Chọn khẳng định đúng trong các khẳng định sau:
A. Hàm số đồng biến trên
B. Hàm số nghịch biến trên
C. Hàm số nhận giá trị không đổi trên
D. Hàm số đồng biến trên Câu 2. Cho
là nguyên hàm của hàm số Tìm A. B. C. D.
Câu 3. Cho hình lăng trụ tam giác đều có tất cả các cạnh bằng a. Tính thể tích V của khối trụ ngoại tiếp hình lăng trụ. A. B. C. D.
Câu 4. Cho các phát biểu sau: (1) Đề thi này khó quá! (2) Số 100 chia hết cho 3.
(3) là số tự nhiên chẵn
Trong các phát biểu trên có bao nhiêu phát biểu là mệnh đề? A. 0 B. 1 C. 2 D. 3
Câu 5. Xét tính chẵn lẻ của hai hàm số và A. là hàm số chẵn, là hàm số chẵn B. là hàm số lẻ, là hàm số chẵn C. là hàm số lẻ, là hàm số lẻ D. là hàm số chẵn, là hàm số lẻ
Câu 6. Có bao nhiêu mặt cầu (S) có bán kính
tâm là I thuộc đường thẳng và đi qua điểm A. 0 B. 2 C. 3 D. 4
Câu 7. Khẳng định nào sau đây là đúng? A. B. C. D.
Câu 8. Trong các đa diện sau, đa diện nào không luôn luôn nội tiếp được trong một mặt cầu
A. Hình chóp tam giác (tứ diện)
B. Hình chóp ngũ giác đều
C. Hình chóp tứ giác
D. Hình hộp chữ nhật 1
Câu 9. Rút gọn biểu thức với là số thực dương A. B. C. D.
Câu 10. Cho 3 điểm A, B, C phân biệt thỏa mãn B nằm giữa A và C. Xét các mệnh đề (1) Hai vecto ngược hướng (2) Hai vecto ngược hướng (3) Hai vecto cùng hướng
Có bao nhiêu mệnh đề đúng trong các mệnh đề trên A. 0 B. 1 C. 2 D. 3
Câu 11. Trong không gian với hệ trục tọa độ cho điểm và đường thẳng
Gọi (S) là mặt cầu có tâm I, tiếp xúc với đường thẳng Bán kính của (S) bằng A. B. C. D.
Câu 12. Tìm tập nghiệm S của bất phương trình A. B. C. D.
Câu 13. Trong không gian với hệ trục tọa độ cho điểm
. Hình chiếu vuông góc của điểm
M lên trục Oz là điểm có tọa độ A. B. C. D.
Câu 14. Cho hình lập phương
. Có bao nhiêu đường thẳng đi qua các đỉnh của hình lập
phương và vuông góc với đường thẳng ? A. 8 B. 10 C. 12 D. 4
Câu 15. Số 7922 là số hạng thứ bao nhiêu của dãy số A. 79 B. 89 C. 69 D. 99
Câu 16. Đồ thị hàm số
có đường tiệm cận ngang là A. B. C. D. Câu 17. Cho hàm số có đồ thị là
. Tìm tất cả các giá trị thực của tham số m để các điểm cực trị của
thuộc các trục tọa độ A. B. C. D.
Câu 18. Với điểm O cố định thuộc mặt phẳng (P) cho trước, xét đường thẳng thay đổi đi qua O và tạo với
(P) một góc 300. Tập hợp các đường thẳng trong không gian là A. một mặt trụ
B. hai đường thẳng C. một mặt trụ D. một mặt nón 2
Câu 19. Một vi khuẩn hình cầu có khối lượng khoảng
cứ 20 phút lại nhân đôi một lần. Giả sử vi
khuẩn được nuôi trong các điều kiện sinh trưởng hoàn toàn tối ưu. Hỏi khoảng thời gian bao lâu thì khối
lượng do tế bào vi khuẩn này sinh ra sẽ đạt tới khối lượng của trái đất khoảng A. 32,3 giờ B. 44,3 giờ C. 46,3 giờ D. 54,3 giờ
Câu 20. Tìm m để phương trình có nghiệm A. B. C. D. Câu 21. Biết rằng thì (với ). Tính A. 4 B. – 2 C. 0 D. – 4
Câu 22. Tổng các góc của tất cả các mặt khối của đa diện đều loại {4;3} là A. B. C. D.
Câu 23. Trong mặt phẳng cho đường thẳng
Viết phương trình đường thẳng là
ảnh của qua phép tâm O góc 900 A. B. C. D.
Câu 24. Cho hình chóp
đáy ABC là tam giác vuông tại B, cạnh bên SA vuông
góc với mặt phẳng đáy và SB tạo với mặt đáy một góc bằng 450. Thể tích khối chóp là A. B. C. D. Câu 25. Biết (với ). Tính A. 2 B. 0 C. 1 D. 3
Câu 26. Đồ thị bên là của hàm số nào? A. B. C. D. Câu 27. Cho hàm số
có đồ thị (C). Biết đồ thị (C) có điểm cực trị là A(1;3). Tính giá trị của A. B. C. D. 3
Câu 28. Hai hình cầu đồng tâm lần lượt có bán kính là 30cm và 18cm như hình vẽ. Tính thể tích phần không
gian bị giới hạn bởi hai mặt cầu này A. B. C. D. Câu 29. Cho hàm số
có đồ thị (C). Có bao nhiêu tiếp tuyến của đồ thị (C) song song với đường thẳng A. 2 B. 3 C. 1 D. 4
Câu 30. Có bao nhiêu giá trị để cho ba số
theo thứ tự lập thành một cấp số cộng với công sai khác 0 A. 2 B. 3 C. 4 D. 1
Câu 31. Cho hình lăng trụ tam giác đều
có độ dài cạnh đáy bằng và chiều cao bằng Tính
thể tích V của khối trụ ngoại tiếp lăng trụ đã cho A. B. C. D. Câu 32. Hàm số
nghịch biến trên khoảng nào trong các khoảng dưới đây? A. và B. C. D.
Câu 33. Cho hình chóp tứ giác đều
có tất cả các cạnh bằng Gọi M là điểm trên đoạn SD sao cho
Tính tan góc giữa đường thẳng BM và mặt phẳng A. B. C. D. Câu 34. Cho hàm số
Khẳng định nào đúng trong các khẳng định sau? A. có đạo hàm tại B. C. gián đoạn tại D. liên tục tại 4
Đề thi thử THPT Quốc gia Toán học năm 2023 NXB Dân Trí - Đề 2
503
252 lượt tải
MUA NGAY ĐỂ XEM TOÀN BỘ TÀI LIỆU
CÁCH MUA:
- B1: Gửi phí vào TK:
1053587071
- NGUYEN VAN DOAN - Ngân hàng Vietcombank (QR) - B2: Nhắn tin tới Zalo VietJack Official ( nhấn vào đây ) để xác nhận thanh toán và tải tài liệu - giáo án
Liên hệ ngay Hotline hỗ trợ: 084 283 45 85
· Đề thi được cập nhật liên tục trong gói này từ nay đến hết tháng 6/2023. Chúng tôi đảm bảo đủ số lượng đề đã cam kết hoặc có thể nhiều hơn, tất cả có BẢN WORD, LỜI GIẢI CHI TIẾT và tải về dễ dàng.
· Để tải tài liệu gốc về máy bạn click vào nút Tải Xuống ở trên!
Thuộc bộ (mua theo bộ để tiết kiệm hơn):
- Tailieugiaovien.com.vn giới thiệu bộ 13 đề thi thử THPTQG môn Toán từ NXB Dân Trí gồm: 13 đề thi thử THPTQG môn Toán từ NXB Dân Trí có lời giải chi tiết, mới nhất năm 2022 - 2023 nhằm giúp giúp Giáo viên có thêm tài liệu tham khảo ra đề thi thử THPTQG môn Toán.
- File word có lời giải chi tiết 100%.
- Mua trọn bộ sẽ tiết kiệm hơn tải lẻ 50%.
Đánh giá
4.6 / 5(503 )5
4
3
2
1

Trọng Bình
Tài liệu hay
Giúp ích cho tôi rất nhiều

Duy Trần
Tài liệu chuẩn
Rất thích tài liệu bên VJ soạn (bám sát chương trình dạy)
TÀI LIỆU BỘ BÁN CHẠY MÔN Toán Học
Xem thêmTÀI LIỆU BỘ BÁN CHẠY Tốt nghiệp THPT
Xem thêmTài liệu bộ mới nhất

Đây là bản xem thử, vui lòng mua tài liệu để xem chi tiết (có lời giải)
ĐỀ SỐ 2
Câu 1: Cho hàm số có Chọn khẳng định đúng trong các khẳng định sau:
A. Hàm số đồng biến trên
B. Hàm số nghịch biến trên
C. Hàm số nhận giá trị không đổi trên
D. Hàm số đồng biến trên
Câu 2. Cho là nguyên hàm của hàm số Tìm
A. B.
C. D.
Câu 3. Cho hình lăng trụ tam giác đều có tất cả các cạnh bằng a. Tính thể tích V của khối trụ ngoại tiếp hình
lăng trụ.
A. B. C. D.
Câu 4. Cho các phát biểu sau:
(1) Đề thi này khó quá! (2) Số 100 chia hết cho 3.
(3) là số tự nhiên chẵn
Trong các phát biểu trên có bao nhiêu phát biểu là mệnh đề?
A. 0 B. 1 C. 2 D. 3
Câu 5. Xét tính chẵn lẻ của hai hàm số và
A. là hàm số chẵn, là hàm số chẵn
B. là hàm số lẻ, là hàm số chẵn
C. là hàm số lẻ, là hàm số lẻ
D. là hàm số chẵn, là hàm số lẻ
Câu 6. Có bao nhiêu mặt cầu (S) có bán kính tâm là I thuộc đường thẳng và đi qua
điểm
A. 0 B. 2 C. 3 D. 4
Câu 7. Khẳng định nào sau đây là đúng?
A. B. C. D.
Câu 8. Trong các đa diện sau, đa diện nào không luôn luôn nội tiếp được trong một mặt cầu
A. Hình chóp tam giác (tứ diện) B. Hình chóp ngũ giác đều
C. Hình chóp tứ giác D. Hình hộp chữ nhật
1
Mọi thắc mắc vui lòng xin liên hệ hotline: 084 283 45 85

Đây là bản xem thử, vui lòng mua tài liệu để xem chi tiết (có lời giải)
Câu 9. Rút gọn biểu thức với là số thực dương
A. B. C. D.
Câu 10. Cho 3 điểm A, B, C phân biệt thỏa mãn B nằm giữa A và C. Xét các mệnh đề
(1) Hai vecto ngược hướng (2) Hai vecto ngược hướng
(3) Hai vecto cùng hướng
Có bao nhiêu mệnh đề đúng trong các mệnh đề trên
A. 0 B. 1 C. 2 D. 3
Câu 11. Trong không gian với hệ trục tọa độ cho điểm và đường thẳng
Gọi (S) là mặt cầu có tâm I, tiếp xúc với đường thẳng Bán kính của (S) bằng
A. B. C. D.
Câu 12. Tìm tập nghiệm S của bất phương trình
A. B. C. D.
Câu 13. Trong không gian với hệ trục tọa độ cho điểm . Hình chiếu vuông góc của điểm
M lên trục Oz là điểm có tọa độ
A. B. C. D.
Câu 14. Cho hình lập phương . Có bao nhiêu đường thẳng đi qua các đỉnh của hình lập
phương và vuông góc với đường thẳng ?
A. 8 B. 10 C. 12 D. 4
Câu 15. Số 7922 là số hạng thứ bao nhiêu của dãy số
A. 79 B. 89 C. 69 D. 99
Câu 16. Đồ thị hàm số có đường tiệm cận ngang là
A. B. C. D.
Câu 17. Cho hàm số có đồ thị là . Tìm tất cả các giá trị thực của tham số m để các
điểm cực trị của thuộc các trục tọa độ
A. B. C. D.
Câu 18. Với điểm O cố định thuộc mặt phẳng (P) cho trước, xét đường thẳng thay đổi đi qua O và tạo với
(P) một góc 30
0
. Tập hợp các đường thẳng trong không gian là
A. một mặt trụ B. hai đường thẳng C. một mặt trụ D. một mặt nón
2
Mọi thắc mắc vui lòng xin liên hệ hotline: 084 283 45 85

Đây là bản xem thử, vui lòng mua tài liệu để xem chi tiết (có lời giải)
Câu 19. Một vi khuẩn hình cầu có khối lượng khoảng cứ 20 phút lại nhân đôi một lần. Giả sử vi
khuẩn được nuôi trong các điều kiện sinh trưởng hoàn toàn tối ưu. Hỏi khoảng thời gian bao lâu thì khối
lượng do tế bào vi khuẩn này sinh ra sẽ đạt tới khối lượng của trái đất khoảng
A. 32,3 giờ B. 44,3 giờ C. 46,3 giờ D. 54,3 giờ
Câu 20. Tìm m để phương trình có nghiệm
A. B. C. D.
Câu 21. Biết rằng thì (với ). Tính
A. 4 B. – 2 C. 0 D. – 4
Câu 22. Tổng các góc của tất cả các mặt khối của đa diện đều loại {4;3} là
A. B. C. D.
Câu 23. Trong mặt phẳng cho đường thẳng Viết phương trình đường thẳng là
ảnh của qua phép tâm O góc 90
0
A. B.
C. D.
Câu 24. Cho hình chóp đáy ABC là tam giác vuông tại B, cạnh bên SA vuông
góc với mặt phẳng đáy và SB tạo với mặt đáy một góc bằng 45
0
. Thể tích khối chóp là
A. B. C. D.
Câu 25. Biết (với ). Tính
A. 2 B. 0 C. 1 D. 3
Câu 26. Đồ thị bên là của hàm số nào?
A. B. C. D.
Câu 27. Cho hàm số có đồ thị (C). Biết đồ thị (C) có điểm cực trị là A(1;3).
Tính giá trị của
A. B. C. D.
3
Mọi thắc mắc vui lòng xin liên hệ hotline: 084 283 45 85

Đây là bản xem thử, vui lòng mua tài liệu để xem chi tiết (có lời giải)
Câu 28. Hai hình cầu đồng tâm lần lượt có bán kính là 30cm và 18cm như hình vẽ. Tính thể tích phần không
gian bị giới hạn bởi hai mặt cầu này
A. B. C. D.
Câu 29. Cho hàm số có đồ thị (C). Có bao nhiêu tiếp tuyến của đồ thị (C) song song với
đường thẳng
A. 2 B. 3 C. 1 D. 4
Câu 30. Có bao nhiêu giá trị để cho ba số theo thứ tự lập thành một cấp số cộng với công sai
khác 0
A. 2 B. 3 C. 4 D. 1
Câu 31. Cho hình lăng trụ tam giác đều có độ dài cạnh đáy bằng và chiều cao bằng Tính
thể tích V của khối trụ ngoại tiếp lăng trụ đã cho
A. B. C. D.
Câu 32. Hàm số nghịch biến trên khoảng nào trong các khoảng dưới đây?
A. và B.
C. D.
Câu 33. Cho hình chóp tứ giác đều có tất cả các cạnh bằng Gọi M là điểm trên đoạn SD sao
cho Tính tan góc giữa đường thẳng BM và mặt phẳng
A. B. C. D.
Câu 34. Cho hàm số
Khẳng định nào đúng trong các khẳng định sau?
A. có đạo hàm tại B.
C. gián đoạn tại D. liên tục tại
4
Mọi thắc mắc vui lòng xin liên hệ hotline: 084 283 45 85

Đây là bản xem thử, vui lòng mua tài liệu để xem chi tiết (có lời giải)
Câu 35. Cho tứ diện có hai mặt phẳng và vuông góc với nhai. Biết tam giác ABC
đêì cạnh a, tam giá BCD vuông cân tại D. Bán kính mặt cầu ngoại tiếp tứ diện bằng
A. B. C. D.
Câu 36. Cho Biểu thức nào sau đây là đúng?
A. B. C. D.
Câu 37. Cho các số 1,2,3,4,5,6,7,8. Có thể lập được bao nhiêu số có 4 chữ số từ các số đã cho
A. B. C. D.
Câu 38. Có tất cả bao nhiêu giá trị nguyên dương của tham số thực để phương trình
có nghiệm trên [0;2]
A. 1 B. 2 C. 4 D. 0
Câu 39. Tìm tất cả giá trị của m để phương trình có 4 nghiệm thực phân biệt?
A. B. C. D.
Câu 40. Cho hàm số Biết rằng hình phẳng giới hạn bởi đồ thị hàm số và trục Ox
có diện tích phần nằm phía trên trục Ox và phần nằm phía dưới trục Ox bằng nhau. Giá trị của m là
A. B. C. D.
Câu 41. Có bao nhiêu giá trị nguyên của tham số m để hàm số xác định trên
R?
A. 6 B. 8 C. 7 D. 5
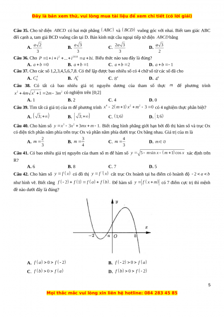
Câu 42. Cho hàm số có đồ thị cắt trục Ox hoành tại ba điểm có hoành độ
như hình vẽ. Biết rằng Để hàm số có 7 điểm cực trị thì mệnh
đề nào dưới đây là đúng?
A. B.
C. D.
5
Mọi thắc mắc vui lòng xin liên hệ hotline: 084 283 45 85