111Equation Chapter 1 Section 1SỞ GIÁO KỲ THI TUY N Ể SINH L P Ớ 10 D C Ụ VÀ ĐÀO T O Ạ  TRUNG H C Ọ PH  Ổ THÔNG NĂM H C Ọ 2021 THÀNH PH Đ Ố À N N Ẵ G -2022  MÔN THI: TOÁN Đ C Ề HÍNH TH C Ứ  Th i ờ gian: 120 phút  Bài 1. (2,0 đi m ể )
a) Tính A  4  3. 12  x x  4  x  x  0  B    : 2  x 4  x
x  2 x  x 4 b) Cho bi u t ể h c  ứ      Rút g n  ọ B và tìm t t
ấ cả các giá tr nguyên c ị a  ủ x đ  ể B   x Bài 2.(1,5 đi m ể ) 2
Cho hàm số y x có đồ thị  P và đư ng ờ th ng  ẳ  d  : y k
 x  2k  4 a) Vẽ đồ th  ị  P .Ch ng m ứ inh r ng  ằ
 d  luôn đi qua đi m ể C  2;4 b) G i ọ H là hình chi u c ế a ủ đi m
ể B  4;4 trên  d  .Ch ng ứ minh r ng khi ằ  k thay  đổi  k 0   thì di n t
ệ ích tam giác HBC không vư t ợ quá  2 9cm (đ n v ơ ị đo trên các  tr c t ụ a đ ọ ộ là xentimet) 2 Bài 3. (1,5 đi m ể ) Cho phư ng t ơ
rình x  4 m   1 x  12 0   * v i ớ m là tham số a) Gi i ả phư ng t ơ rình  * khi m 2  b) Tìm t t ấ cả các giá tr c ị a t ủ ham s  ố m đ ph ể ư ng ơ trình (*) có hai nghi m ệ phân  biệt x , x
4 x  2 4  mx  x  x  x x  8 1 2  1 2 1 2  2 1 2 th a m ỏ ãn  Bài 4. (1,5 đi m ể ) a) Tìm hai s t ố  nhi ự ên, bi t ế r ng t ằ ng c ổ a chúng b ủ ng ằ 2021và hiệu c a s ủ ố l n ớ và số bé b ng 15 ằ b) M t ộ địa phư ng l ơ ên kế ho ch xét ạ  nghi m
ệ SARS  CoV  2 cho 12000 ngư i ờ  trong m t ộ th i ờ gian quy đ nh. N ị h c ờ i ả ti n ph ế ư ng pháp nên m ơ i ỗ gi xét ờ   nghiệm đư c ơ thêm 1000 ngư i ờ . Vì th , đ ế a ị phư ng này hoàn t ơ hành s m ớ h n k ơ ế ho ch ạ là 16 gi . H ờ i ỏ theo k ho ế ch, đ ạ a ph ị ư ng ơ này ph i ả xét nghi m ệ trong  th i ờ gian bao nhiêu gi ? ờ
 Bài 5. (3,5 đi m
ể ) Cho tam giác nh n 
ọ ABC có AB  AC, các đư ng cao ờ  BD,CE
 D  AC, E  AB c t ắ nhau t i ạ H a) Ch ng ứ minh r ng t ằ  gi ứ ác BEDC n i ộ ti p ế b) G i ọ M là trung đi m ể c a ủ BC.Đư ng t ờ ròn đư ng kí ờ nh AH c t ắ AM t i ạ đi m ể G (G  khác A). Ch ng m ứ inh r ng  ằ AE.AB  . AG AM c) Hai đư ng ờ th ng  ẳ DE và BC c t ắ nhau t i ạ K. Ch ng m ứ inh r ng  ằ M  AC  G  CM và đư ng ờ th ng n ẳ i ố tâm hai đư ng t ờ ròn ngo i ạ ti p hai ế
 tam giác MBE, MCD song song v i ớ đư ng ờ th ng  ẳ K . G
 ĐÁP ÁN Đ  Ề VÀO 10 ĐÀ N N Ẵ G
MÔN TOÁN NĂM 2021 – 2022  Bài 1.
a) Tính A  4  3. 12
Ta có : A  4  3. 12 2   36 2   6 8  V y ậ A 8   x x  4  x  x  0 B    :  2  x 4  x
x  2 x  x 4 b) Cho bi u t ể h c  ứ      Rút g n 
ọ B và tìm t t
ấ cả các giá tr nguyên c ị a  ủ x đ 
ể B   x V i ớ x  0, x 4  thì   x x  4  x B    : 2  x 4  x x  2 x  
x  x  2  x  4 x  x  2 x  2 x  x  4  . 
 x  2  x  2 x
 x  2. x  2 x  2  2  
 x  2. x x  2 2 B   x    x   x  0 x x 2  x 
 0  2  x  0  x  2 x K t ế h p ợ v i ớ đi u ki ề n 
ệ  0  x  2 thì B   x Bài 2. a) V đ ẽ ồ th 
ị  P . Chứng minh r ng  ằ
 d  luôn đi qua đi m ể C  2;4 +)V đ ẽ ồ th ị P Parabol  P 2 : y x có b l ề õm hư ng l ớ ên và nh n O ậ y làm tr c đ ụ i ố x ng ứ Hệ số a 1
  0 nên hàm số đồng bi n khi ế
 x  0 và nghịch bi n khi ế  x  0 Ta có b ng ả giá tr s ị au :
 x  2  1 0 1 2 2 y x 4 1 0 1 4 2
 Parabol (P) : y x đi qua các đi m
ể   2;4 ,  1;  1 , 0;0 ,1;  1 , 2;4 Đồ thị parabol (P):y=x2 Ch ng m ứ inh r ng  ằ
 d  luôn đi qua đi m ể C  2;4 +)  x 2  , y 4   d  : y k
 x  2k  4 Thay  vào phư ng t ơ rình  ta đư c: ợ 4 2
 k  2k  4  4 4  (luon dung) V y
ậ (d) luôn đi qua điêm C(2;4) v i ớ m i ọ m b) G i
ọ H là hình chi u c ế a đi ủ m
ể B  4;4 trên  d  .Chứng minh r ng k ằ hi k thay đ i ổ  k 0   thì di n t
ệ ích tam giác HBC không vư t ợ quá  2 9cm (đ n v ơ ị đo trên các tr c t ụ a đ ọ  l ộ à xentimet) 1 1 S  H . B HC  HB  HC H  BC  2 2  Vì H  BC vuông t i ạ H nên ta có :  2 4
 
Đề thi vào 10 môn Toán tỉnh Đà Nẵng năm 2022
                                                                
                                    
                                    
                                        
                                        
                                        
                                        
                                        
                                    
                                    371 
                                
                                
                                 186 lượt tải
                            
                            
                            
                        
                            MUA NGAY ĐỂ XEM TOÀN BỘ TÀI LIỆU
                        
                        CÁCH MUA:
- B1: Gửi phí vào TK: 
1053587071- NGUYEN VAN DOAN - Ngân hàng Vietcombank (QR) - B2: Nhắn tin tới Zalo VietJack Official ( nhấn vào đây ) để xác nhận thanh toán và tải tài liệu - giáo án
 
Liên hệ ngay Hotline hỗ trợ: 084 283 45 85
Đề thi được cập nhật liên tục trong gói này từ nay đến hết tháng 6/2023. Chúng tôi đảm bảo đủ số lượng đề đã cam kết hoặc có thể nhiều hơn, tất cả có BẢN WORD, LỜI GIẢI CHI TIẾT và tải về dễ dàng.
Để tải tài liệu gốc về máy bạn click vào nút Tải Xuống ở trên!
Thuộc bộ (mua theo bộ để tiết kiệm hơn):
- Tailieugiaovien.com.vn giới thiệu bộ 63 đề thi chính thức vào 10 môn Toán năm 2022 nhằm giúp Giáo viên có thêm tài liệu tham khảo đề luyện thi Toán vào 10.
 - File word có lời giải chi tiết 100%.
 - Mua trọn bộ sẽ tiết kiệm hơn tải lẻ 50%.
 
Đánh giá
4.6 / 5(371 )5
                                            4
                                            3
                                            2
                                            1
                                            Trọng Bình
                                                
                                                
                                                
                                                
                                                
                                                Tài liệu hay
                                            
                                            
                                            Giúp ích cho tôi rất nhiều
Duy Trần
                                                
                                                
                                                
                                                
                                                
                                                Tài liệu chuẩn
                                            
                                            
                                            Rất thích tài liệu bên VJ soạn (bám sát chương trình dạy)
TÀI LIỆU BỘ BÁN CHẠY MÔN Toán Học
Xem thêmTÀI LIỆU BỘ BÁN CHẠY Ôn vào 10
Xem thêmTài liệu bộ mới nhất

Đây là bản xem thử, vui lòng mua tài liệu để xem chi ết (có lời giải)
111Equation Chapter 1 Section 1S  GIÁOỞ
D C VÀ ĐÀO T O Ụ Ạ
THÀNH PH  ĐÀ N NGỐ Ẵ
Đ  CHÍNH TH C Ề Ứ
KỲ THI TUY N SINH L P 10Ể Ớ
TRUNG H C PH  THÔNG NĂM H C 2021Ọ Ổ Ọ
-2022 
MÔN THI: TOÁN
Th i gian: 120 phút ờ
Bài 1. (2,0 đi m)ể
a) Tính 
4 3. 12A  
b) Cho bi u th c ể ứ
0
4
:
4
4
2 2
x
x x x
B
x
x
x x x
 
 
 
 
 
 
 
 
Rút g n ọ
B
và tìm t t c  các giá tr  nguyên c a ấ ả ị ủ
x
đ  ể
B x 
Bài 2.(1,5 đi m)ể
Cho hàm s  ố
2
y x
có đ  th  ồ ị
 
P
và đ ng th ng ườ ẳ
 
: 2 4d y kx k  
a) V  đ  th  ẽ ồ ị
 
.P
Ch ng minh r ng ứ ằ
 
d
luôn đi qua đi m ể
 
2;4C
b) G i ọ
H
là hình chi u c a đi m ế ủ ể
 
4;4B 
trên 
 
.d
Ch ng minh r ng khi ứ ằ
k
thay 
đ i ổ
 
0k 
thì di n tích tam giác ệ
HBC
không v t quá ượ
2
9cm
(đ n v  đo trên các ơ ị
tr c t a đ  là xentimet)ụ ọ ộ
Bài 3. (1,5 đi m) ể Cho ph ng trình ươ
   
2
4 1 12 0 *x m x   
v i ớ
m
là tham số
a) Gi i ph ng trình ả ươ
 
*
khi 
2m 
b) Tìm t t c  các giá tr  c a tham s  ấ ả ị ủ ố
m
đ  ph ng trình (*) có hai nghi m phân ể ươ ệ
bi t ệ
1 2
,x x
th a mãn ỏ
 
2
1 2 1 2 1 2
4 2 4 8x mx x x x x     
Bài 4. (1,5 đi m)ể
a) Tìm hai s  t  nhiên, bi t r ng t ng c a chúng b ng ố ự ế ằ ổ ủ ằ
2021
và hi u c a s  l n vàệ ủ ố ớ
s  bé b ng 15ố ằ
b) M t đ a ph ng lên k  ho ch xét nghi m ộ ị ươ ế ạ ệ
2SARS CoV 
cho 
12000
ng i ườ
trong m t th i gian quy đ nh. Nh  c i ti n ph ng pháp nên m i gi  xét ộ ờ ị ờ ả ế ươ ỗ ờ
nghi m đ c thêm ệ ươ
1000
ng i. Vì th , đ a ph ng này hoàn thành s m h n kườ ế ị ươ ớ ơ ế
ho ch là 16 gi . H i theo k  ho ch, đ a ph ng này ph i xét nghi m trong ạ ờ ỏ ế ạ ị ươ ả ệ
th i gian bao nhiêu gi  ?ờ ờ
Mọi thắc mắc vui lòng xin liên hệ hotline: 084 283 45 85

Đây là bản xem thử, vui lòng mua tài liệu để xem chi ết (có lời giải)
Bài 5. (3,5 đi m) ể Cho tam giác nh n ọ
ABC
có 
,AB AC
các đ ng cao ườ
,BD CE
 
,D AC E AB 
c t nhau t i ắ ạ
H
a) Ch ng minh r ng t  giác ứ ằ ứ
BEDC
n i ti pộ ế
b) G i ọ
M
là trung đi m c a ể ủ
.BC
Đ ng tròn đ ng kính ườ ườ
AH
c t ắ
AM
t i đi m ạ ể
G
(G 
khác A). Ch ng minh r ng ứ ằ
. .AE AB AG AM
c) Hai đ ng th ng ườ ẳ
DE
và 
BC
c t nhau t i K. Ch ng minh r ng ắ ạ ứ ằ
MAC GCM 
và
đ ng th ng n i tâm hai đ ng tròn ngo i ti p hai tam giác ườ ẳ ố ườ ạ ế
,MBE MCD
song song
v i đ ng th ng ớ ườ ẳ
.KG
Mọi thắc mắc vui lòng xin liên hệ hotline: 084 283 45 85

Đây là bản xem thử, vui lòng mua tài liệu để xem chi ết (có lời giải)
ĐÁP ÁN Đ  VÀO 10 ĐÀ N NGỀ Ẵ
MÔN TOÁN NĂM 2021 – 2022 
Bài 1.
a) Tính 
4 3. 12A  
Ta có : 
4 3. 12 2 36 2 6 8A       
V y ậ
8A 
b) Cho bi u th c ể ứ
0
4
:
4
4
2 2
x
x x x
B
x
x
x x x
 
 
 
 
 
 
 
 
Rút g n ọ
B
và tìm t t c  các giá tr  nguyên c a ấ ả ị ủ
x
đ  ể
B x 
V i ớ
0, 4x x 
thì 
 
   
 
 
 
 
4
:
4
2 2
2 4 2
2 4
.
2 2 2 .
2 2
2
2 .
x x x
B
x
x x x
x x x x x
x x x
x
x x x x
x
x
x x
 
 
 
 
 
   
  
 
  
 
 
2 2
0
2
0 2 0 2
B x x x
x x
x
x x
x
       
      
K t h p v i đi u ki n ế ợ ớ ề ệ
0 2x  
thì 
B x 
Bài 2.
a) V  đ  th  ẽ ồ ị
 
P
. Ch ng minh r ng ứ ằ
 
d
luôn đi qua đi m ể
 
2;4C
+)V  đ  th  ẽ ồ ị
 
P
Parabol 
 
2
:P y x
có b  lõm h ng lên và nh n Oy làm tr c đ i x ngề ướ ậ ụ ố ứ
H  s  ệ ố
1 0a  
nên hàm s  đ ng bi n khi ố ồ ế
0x 
và ngh ch bi n khi ị ế
0x 
Ta có b ng giá tr  sau :ả ị
Mọi thắc mắc vui lòng xin liên hệ hotline: 084 283 45 85

Đây là bản xem thử, vui lòng mua tài liệu để xem chi ết (có lời giải)
2
2 1 0 1 2
4 1 0 1 4
x
y x
 
2
( ):Parabol P y x 
đi qua các đi m ể
         
2;4 , 1;1 , 0;0 , 1;1 , 2;4 
Đ  th  parabol (P):y=xồ ị
2
+) 
Ch ng minh r ng ứ ằ
 
d
luôn đi qua đi m ể
 
2;4C
Thay 
2, 4x y 
vào ph ng trình ươ
 
: 2 4d y kx k  
ta đ c:ượ
4 2 2 4 4 4( )k k luon dung    
V y (d) luôn đi qua điêm C(2;4) v i m i mậ ớ ọ
b) G i ọ
H
là hình chi u c a đi m ế ủ ể
 
4;4B 
trên 
 
.d
Ch ng minh r ng khi ứ ằ
k
thay đ i ổ
 
0k 
thì di n tích tam giác ệ
HBC
không v t quá ượ
2
9cm
(đ n v  đoơ ị
trên các tr c t a đ  là xentimet)ụ ọ ộ
Vì 
HBC
vuông t i H nên ta có : ạ
 
2 2
1 1
.
2 4
HBC
S HB HC HB HC
  
Mọi thắc mắc vui lòng xin liên hệ hotline: 084 283 45 85

Đây là bản xem thử, vui lòng mua tài liệu để xem chi ết (có lời giải)
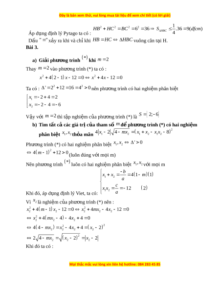
Áp d ng đ nh lý Pytago ta có : ụ ị
2 2 2 2
1
6 36 .36 9( )
4
HBC
HB HC BC S dfcm
      
D u ấ
" "
x y ra khi và ch  khi ả ỉ
HB HC HBC  
vuông cân t i H.ạ
Bài 3.
a) Gi i ph ng trình ả ươ
 
*
khi 
2m 
Thay 
2m 
vào ph ng trình (*) ta có :ươ
 
2 2
4 2 1 12 0 4 12 0x x x x       
Ta có : 
2 2
' 2 12 16 4 0     
nên ph ng trình có hai nghi m phân bi tươ ệ ệ
1
2
2 4 2
2 4 6
x
x
  
  
V y v i ậ ớ
2m 
thì t p nghi m c a ph ng trình (*) là ậ ệ ủ ươ
 
2; 6S  
b) Tìm t t c  các giá tr  c a tham s  ấ ả ị ủ ố
m
đ  ph ng trình (*) có hai nghi m ể ươ ệ
phân bi t ệ
1 2
,x x
th a mãn ỏ
 
2
1 2 1 2 1 2
4 2 4 8x mx x x x x     
Ph ng trình (*) có hai nghi m phân bi t ươ ệ ệ
1 2
, ' 0x x   
 
2
4 1 12 0m   
(luôn đúng v i m i m)ớ ọ
Nên ph ng trình ươ
 
*
luôn có hai nghi m phân bi t ệ ệ
1 2
,x x
v i m i mớ ọ
Khi đó, áp d ng đ nh lý Viet, ta có: ụ ị
   
 
1 2
1 2
4 1 1
12 2
b
x x m
a
c
x x
a
   
 
Vì 
2
x
là nghi m c a ph ng trình (*) nên :ệ ủ ươ
 
 
   
 
2 2
2 2 2 2 2
2
2 2 2
2
2
2 2 2 2
2
2 2 2
4 1 12 0 4 4 12 0
4 4 4 4 0
4 4 4 4 2
2 4 2 2
x m x x mx x
x mx x
mx x x x
mx x x
        
     
      
     
Khi đó ta có :
Mọi thắc mắc vui lòng xin liên hệ hotline: 084 283 45 85
                                            
                                            
                                            
                                            
                                            
                        