SỞ GIÁO D C Ụ VÀ ĐÀO T O Ạ KỲ THI TUY N Ể SINH VÀO L P Ớ 10 THPT T N Ỉ H Đ C Ắ L C Ắ NĂM H C Ọ 2021 – 2022 Môn thi : TOÁN Đ C Ề HÍNH TH C Ứ Th i
ờ gian làm bài 120 phút Câu 1.(1,5 đi m ể ) 1) Gi i ả phư ng t ơ rình : 2
2x 5x 3 0 2) Cho hàm số y m
1 x 2021.Tìm tất c các ả giá tr c ị a ủ tham s ố m đ hàm ể số đồng bi n t ế rên 3) Cho a 1 2 và b 1 2 . Tính giá tr c ị a ủ bi u ể th c ứ P a
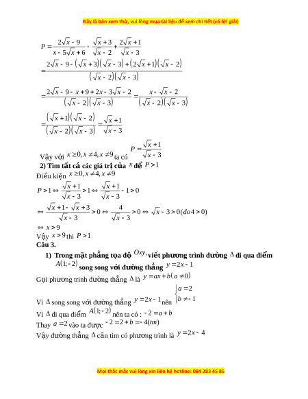
b 2ab Câu 2.(2,0 đi m ể ) Cho bi u t ể h c ứ 2 x 9 x 3 2 x 1 P x 5 x 6 x 2 x 3 (v i ớ x 0 , x 4 , x 9 ) 1) Rút g n bi ọ u t ể h c ứ P 2) Tìm t t ấ cả các giá tr c ị a ủ x đ ể P 1 Câu 3.(2,0 đi m ể ) 1) Trong m t ặ ph ng t ẳ a ọ đ ộ Oxy, vi t ế phư ng t ơ rình đư ng t ờ h ng ẳ đi qua đi m ể
A1; 2 và song song v i ớ đư ng t ờ h ng ẳ y 2 x 1 2) Trong m t ặ ph ng t ẳ a ọ đ
ộ Oxy, cho Parabol P 2
: y x và đư ng t ờ h ng ẳ d : y 2 m
1 x m 3.G i ọ x ; x 1 2 lần lư t ợ là hoành đ gi ộ ao đi m ể c a ủ đư ng ờ 2 2 th ng
ẳ d và Parabol P .Tìm giá tr nh ị ỏ nh t ấ c a ủ bi u t ể h c
ứ M x x 1 2 Câu 4.(3,5 đi m ể ) Trên n a đ ử ư ng ờ tròn tâm O đư ng ờ kính AB v i ớ AB 2 022, lấy đi m
ể C (C khác A và B), t C
ừ kẻ CH vuông góc v i
ớ AB H AB .G i ọ D là đi m ể bất kỳ trên đo n
ạ CH D khác C và H), đư ng t ờ h ng ẳ AD c t ắ n a ử đư ng t ờ ròn t i ạ đi m ể th 2 l ứ à E 1) Ch ng ứ minh t gi ứ ác BHDE là t gi ứ ác n i ộ ti p ế 2) Ch ng ứ minh . AD EC . CD AC 3) Ch ng ứ minh 2 A .
D AE BH.BA 2 022 4) Khi đi m ể C di đ ng t ộ rên n a đ ử ư ng ờ tròn C khác , A B và đi m ể chính gi a cung ữ
AB) , xác định vị trí đi m
ể C sao cho chu vi tam giác COH đ t ạ giá tr l ị n nh ớ t ấ Câu 5.(1, 0 đi m ể ) Cho a 1 348,b 1 348 . Ch ng ứ minh r ng : ằ 2 2
a b ab 202 2 a b
ĐÁP ÁN Đ Ề THI VÀO L P Ớ 10 MÔN TOÁN T N
Ỉ H ĐẮC LẮC NĂM 2021 Câu 1. 1) Giải phư ng t ơ rình 2
2x 5x 3 0 Xét phư ng ơ trình 2
2x 5x 3 0 Ta có : 2 5 24 4 9 0 Phư ng ơ trình có hai nghi m ệ : 5 49 1 5 49 x ; x 3 1 2 4 2 4 1 S 3; V y ậ phư ng t ơ rình có t p nghi ậ m ệ 2 2) Cho hàm s ố y m
1 x 2021. Tìm tất cả các giá tr c ị a t ủ ham s
ố m đ đ ể ồ th hà ị m s đ ố ng bi ồ n t ế rên R Hàm số y m
1 x 2021đồng bi n ế trên R khi và ch khi ỉ
m 1 0 m 1 V y ậ v i
ớ m 1thì hàm số đồng bi n t ế rên R 3) Cho a 1
2 và b 1
2.Tính giá trị c a b ủ i u t ề h c ứ P a
b 2ab Thay a 1 2 và b 1 2 vào P a
b 2ab ta đư c : ợ P 1 2 1
2 21 2 1 2 2 21 2 2 2.( 1) 4 V y ậ P 4 khi a 1 2,b 1 2 Câu 2. 1) Rút g n bi ọ u t ể h c ứ P ĐKXĐ: x 0 , x 4 , x 9
2 x 9 x 3 2 x 1 P x 5 x 6 x 2 x 3
2 x 9 x 3 x 3 2 x 1 x 2
x 2 x 3
2 x 9 x 9 2x 3 x 2 x x 2
x 2 x 3
x 2 x 3
x 1 x 2 x 1
x 2 x 3 x 3 x 1 P V y ậ v i ớ x 0 , x 4 , x 9 ta có x 3 2) Tìm t t ấ cả các giá tr c ị a ủ x đ ể P 1 Đi u ki ề n ệ x 0 , x 4 , x 9 x 1 x 1 P 1 1 1 0 x 3 x 3 x 1 x 3 4 0 0
x 3 0(do4 0) x 3 x 3 x 9 V y
ậ x 9 thì P 1 Câu 3.
1) Trong mặt phẳng t a đ ọ
ộ Oxy, vi t ế phư ng ơ trình đư ng
ờ đi qua đi m ể
A1; 2 song song v i ớ đư ng t ờ h ng ẳ y 2 x 1 G i ọ phư ng t ơ rinh đư ng ờ th ng ẳ là y a
x b a 0 a 2 Vì song song v i ớ đư ng ờ th ng ẳ y 2
x 1nên b 1 Vì đi qua đi m
ể A1; 2 nên ta có : 2 a b Thay a 2 vào ta đư c ợ 2 2
b 4(tm) V y ậ đư ng t ờ h ng
ẳ cần tìm có phư ng t ơ rình là y 2 x 4
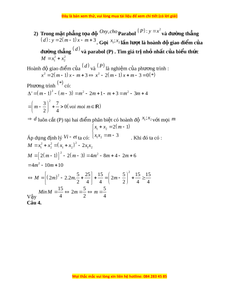
2) Trong mặt phẳng t a đ ọ
ộ Oxy,cho Parabol P 2
: y x và đư ng ờ thẳng d : y 2 m
1 x m 3 . G i ọ x ; x 1 2 lần lư t ợ là hoành đ gi ộ ao đi m ể c a ủ đư ng t ờ
hẳng d và parabol (P) . Tìm giá tr nh ị nh ỏ t ấ c a bi ủ u t ể h c ứ 2 2
M x x 1 2 Hoành đ gi ộ ao đi m ể c a
ủ d và P là nghi m ệ c a ủ phư ng t ơ rình : 2
x m 2 2
1 x m 3 x 2 m
1 x m 3 0 * Phư ng ơ trình * có: ' m 2 1 m 3 2 2 m
2m 1 m 3 m 3m 4 2 3 7 m 0 voi moi m 2 4 d luôn c t ắ (P) t i ạ hai đi m ể phân bi t ệ có hoành đ ộ x ; x 1 2 v i ớ m i ọ m x x 2 m 1 1 2 Áp d ng ụ đ nh l ị
ý Vi et ta có: x x m 3 1 2 . Khi đó ta có :
M x x
x x 2 2 2 2x x 1 2 1 2 1 2 2
M 2 m
1 2 m 3 2 4
m 8m 4 2m 6 2 4
m 10m 10 2 5 25 15 5 15 15
M 2m 2 2.2 . m 2m 2 4 4 2 4 4 15 5 5 Min M
2m m V y ậ 4 2 4 Câu 4.
Đề thi vào 10 môn Toán tỉnh Đắc Lắc năm 2022
567
284 lượt tải
MUA NGAY ĐỂ XEM TOÀN BỘ TÀI LIỆU
CÁCH MUA:
- B1: Gửi phí vào TK:
1133836868- CT TNHH DAU TU VA DV GD VIETJACK - Ngân hàng MB (QR) - B2: Nhắn tin tới Zalo VietJack Official ( nhấn vào đây ) để xác nhận thanh toán và tải tài liệu - giáo án
Liên hệ ngay Hotline hỗ trợ: 084 283 45 85
Đề thi được cập nhật liên tục trong gói này từ nay đến hết tháng 6/2023. Chúng tôi đảm bảo đủ số lượng đề đã cam kết hoặc có thể nhiều hơn, tất cả có BẢN WORD, LỜI GIẢI CHI TIẾT và tải về dễ dàng.
Để tải tài liệu gốc về máy bạn click vào nút Tải Xuống ở trên!
Thuộc bộ (mua theo bộ để tiết kiệm hơn):
- Tailieugiaovien.com.vn giới thiệu bộ 63 đề thi chính thức vào 10 môn Toán năm 2022 nhằm giúp Giáo viên có thêm tài liệu tham khảo đề luyện thi Toán vào 10.
- File word có lời giải chi tiết 100%.
- Mua trọn bộ sẽ tiết kiệm hơn tải lẻ 50%.
Đánh giá
4.6 / 5(567 )5
4
3
2
1
Trọng Bình
Tài liệu hay
Giúp ích cho tôi rất nhiều
Duy Trần
Tài liệu chuẩn
Rất thích tài liệu bên VJ soạn (bám sát chương trình dạy)
TÀI LIỆU BỘ BÁN CHẠY MÔN Toán Học
Xem thêmTÀI LIỆU BỘ BÁN CHẠY Ôn vào 10
Xem thêmTài liệu bộ mới nhất

Đây là bản xem thử, vui lòng mua tài liệu để xem chi ết (có lời giải)
S GIÁO D C VÀ ĐÀO T OỞ Ụ Ạ
T NH Đ C L C Ỉ Ắ Ắ
Đ CHÍNH TH C Ề Ứ
KỲ THI TUY N SINH VÀO L P 10 THPTỂ Ớ
NĂM H C 2021 – 2022Ọ
Môn thi : TOÁN
Th i gian làm bài 120 phút ờ
Câu 1.(1,5 đi m)ể
1) Gi i ph ng trình : ả ươ
2
2 5 3 0x x
2) Cho hàm s ố
1 2021.y m x
Tìm t t c các giá tr c a tham s ấ ả ị ủ ố
m
đ hàm ể
s đ ng bi n trên ố ồ ế
3) Cho
1 2a
và
1 2b
. Tính giá tr c a bi u th c ị ủ ể ứ
2P a b ab
Câu 2.(2,0 đi m) ể Cho bi u th c ể ứ
2 9 3 2 1
5 6 2 3
x x x
P
x x x x
(v i ớ
0, 4, 9)x x x
1) Rút g n bi u th c ọ ể ứ
P
2) Tìm t t c các giá tr c a ấ ả ị ủ
x
đ ể
1P
Câu 3.(2,0 đi m)ể
1) Trong m t ph ng t a đ ặ ẳ ọ ộ
,Oxy
vi t ph ng trình đ ng th ng ế ươ ườ ẳ
đi qua đi mể
1; 2A
và song song v i đ ng th ng ớ ườ ẳ
2 1y x
2) Trong m t ph ng t a đ ặ ẳ ọ ộ
,Oxy
cho Parabol
2
:P y x
và đ ng th ngườ ẳ
: 2 1 3.d y m x m
G i ọ
1 2
;x x
l n l t là hoành đ giao đi m c a đ ngầ ượ ộ ể ủ ườ
th ng ẳ
d
và Parabol
.P
Tìm giá tr nh nh t c a bi u th c ị ỏ ấ ủ ể ứ
2 2
1 2
M x x
Câu 4.(3,5 đi m) ể Trên n a đ ng tròn tâm O đ ng kính ử ườ ườ
AB
v i ớ
2022,AB
l y ấ
đi m C (C khác A và ể
),B
t C k ừ ẻ
CH
vuông góc v i ớ
.AB H AB
G i ọ
D
là đi m ể
b t kỳ trên đo n ấ ạ
CH D
khác C và H), đ ng th ng ườ ẳ
AD
c t n a đ ng tròn t i đi m ắ ử ườ ạ ể
th 2 là ứ
E
1) Ch ng minh t giác ứ ứ
BHDE
là t giác n i ti pứ ộ ế
2) Ch ng minh ứ
. .AD EC CD AC
3) Ch ng minh ứ
2
. . 2022AD AE BH BA
4) Khi đi m ể
C
di đ ng trên n a đ ng tròn ộ ử ườ
C
khác
,A B
và đi m chính gi a cungể ữ
)AB
, xác đ nh v trí đi m C sao cho chu vi tam giác ị ị ể
COH
đ t giá tr l n nh t ạ ị ớ ấ
Câu 5.(1, 0 đi m) ể Cho
1348, 1348a b
. Ch ng minh r ng :ứ ằ
2 2
2022a b ab a b
Mọi thắc mắc vui lòng xin liên hệ hotline: 084 283 45 85

Đây là bản xem thử, vui lòng mua tài liệu để xem chi ết (có lời giải)
ĐÁP ÁN Đ THI VÀO L P 10 MÔN TOÁN Ề Ớ
T NH Đ C L C NĂM 2021Ỉ Ắ Ắ
Câu 1.
1) Gi i ph ng trình ả ươ
2
2 5 3 0x x
Xét ph ng trình ươ
2
2 5 3 0x x
Ta có :
2
5 24 49 0
Ph ng trình có hai nghi m :ươ ệ
1 2
5 49 1 5 49
; 3
4 2 4
x x
V y ph ng trình có t p nghi m ậ ươ ậ ệ
1
3;
2
S
2) Cho hàm s ố
1 2021y m x
. Tìm t t c các giá tr c a tham s ấ ả ị ủ ố
m
đ đ ể ồ
th hàm s đ ng bi n trên ị ố ồ ế
R
Hàm s ố
1 2021y m x
đ ng bi n trên R khi và ch khi ồ ế ỉ
1 0 1m m
V y v i ậ ớ
1m
thì hàm s đ ng bi n trên Rố ồ ế
3) Cho
1 2a
và
1 2.b
Tính giá tr c a bi u th c ị ủ ề ứ
2P a b ab
Thay
1 2a
và
1 2b
vào
2P a b ab
ta đ c :ượ
1 2 1 2 2 1 2 1 2
2 2 1 2 2 2.( 1) 4
P
V y ậ
4P
khi
1 2, 1 2a b
Câu 2.
1) Rút g n bi u th c ọ ể ứ
P
ĐKXĐ:
0, 4, 9x x x
Mọi thắc mắc vui lòng xin liên hệ hotline: 084 283 45 85

Đây là bản xem thử, vui lòng mua tài liệu để xem chi ết (có lời giải)
2 9 3 2 1
5 6 2 3
2 9 3 3 2 1 2
2 3
2 9 9 2 3 2 2
2 3 2 3
1 2
1
3
2 3
x x x
P
x x x x
x x x x x
x x
x x x x x x
x x x x
x x
x
x
x x
V y v i ậ ớ
0, 4, 9x x x
ta có
1
3
x
P
x
2) Tìm t t c các giá tr c a ấ ả ị ủ
x
đ ể
1P
Đi u ki n ề ệ
0, 4, 9x x x
1 1
1 1 1 0
3 3
1 3 4
0 0 3 0( 4 0)
3 3
9
x x
P
x x
x x
x do
x x
x
V y ậ
9x
thì
1P
Câu 3.
1) Trong m t ph ng t a đ ặ ẳ ọ ộ
,Oxy
vi t ph ng trình đ ng ế ươ ườ
đi qua đi mể
1; 2A
song song v i đ ng th ng ớ ườ ẳ
2 1y x
G i ph ng trinh đ ng th ng ọ ươ ườ ẳ
là
0y ax b a
Vì
song song v i đ ng th ng ớ ườ ẳ
2 1y x
nên
2
1
a
b
Vì
đi qua đi m ể
1; 2A
nên ta có :
2 a b
Thay
2a
vào ta đ c ượ
2 2 4( )b tm
V y đ ng th ng ậ ườ ẳ
c n tìm có ph ng trình là ầ ươ
2 4y x
Mọi thắc mắc vui lòng xin liên hệ hotline: 084 283 45 85

Đây là bản xem thử, vui lòng mua tài liệu để xem chi ết (có lời giải)
2) Trong m t ph ng t a đ ặ ẳ ọ ộ
,Oxy cho
Parabol
2
:P y x
và đ ng th ngườ ẳ
: 2 1 3d y m x m
. G i ọ
1 2
;x x
l n l t là hoành đ giao đi m c a ầ ượ ộ ể ủ
đ ng th ng ườ ẳ
d
và parabol (P) . Tìm giá tr nh nh t c a bi u th cị ỏ ấ ủ ể ứ
2 2
1 2
M x x
Hoành đ giao đi m c a ộ ể ủ
d
và
P
là nghi m c a ph ng trình :ệ ủ ươ
2 2
2 1 3 2 1 3 0 *x m x m x m x m
Ph ng trình ươ
*
có:
2
2 2
2
' 1 3 2 1 3 3 4
3 7
0
2 4
m m m m m m m
m voi moi m
d
luôn c t (P) t i hai đi m phân bi t có hoành đ ắ ạ ể ệ ộ
1 2
;x x
v i m i ớ ọ
m
Áp d ng đ nh lý ụ ị
Vi et
ta có:
1 2
1 2
2 1
3
x x m
x x m
. Khi đó ta có :
2
2 2
1 2 1 2 1 2
2
2
2
2
2
2
2 1 2 3 4 8 4 2 6
4 10 10
5 25 15 5 15 15
2 2.2 . 2
2 4 4 2 4 4
M x x x x x x
M m m m m m
m m
M m m m
V y ậ
15 5 5
2
4 2 4
Min M m m
Câu 4.
Mọi thắc mắc vui lòng xin liên hệ hotline: 084 283 45 85

Đây là bản xem thử, vui lòng mua tài liệu để xem chi ết (có lời giải)
1) Ch ng minh ứ
BHDE
n i ti p ộ ế
Trong (O) ta có
90AEB
(góc n i ti p ch n n a đ ng tròn)ộ ế ắ ử ườ
T giác ứ
BHDE
có :
180BED BHD
T giác ứ
BHDE
n i ti p (d u hi u nh n bi t)ộ ế ấ ệ ậ ế
2) Ch ng minh ứ
. .AD EC CD AC
Ta có
ACD CBA
(cùng ph v i ụ ớ
)BCD
CEA CBA
(2 góc n i ti p cùng ch n cung ộ ế ắ
)CA
ACD CEA
Xét
ACD
và
AEC
có :
; ( )CAD CAE ACD CEA cmt
( . ) . .
AD CD
ACD AEC g g AD EC CD AC dfcm
AE EC
∽
3) Ch ng minh ứ
2
. . 2022AD AE BH BA
Xét
AHD
và
AEB
có :
90AHD AEB
HAD BAE
( . )AHD AEB g g ∽
. . 1
AH AD
AD AE AH AB
AE AB
Ta có :
2 2
. . . .
. 2022
AD AE BH AB AH AB BH AB
AH BH AB AB dfcm
Mọi thắc mắc vui lòng xin liên hệ hotline: 084 283 45 85
