111Equation Chapter 1 Section KỲ THI TUY N Ể SINH VÀO L P Ớ 10 THPT 1SỞ GIÁO D C Ụ VÀ ĐÀO T O Ạ NĂM H C Ọ 2021 – 2022 T N Ỉ H ĐỒNG NAI Môn : Toán Th i ờ gian làm bài : 120 phút Đ C Ề HÍNH TH C Ứ (Đề g m
ồ 01 trang có 05 câu) Câu 1. (2,0 đi m ể ) 1) Gi i ả phư ng t ơ rình 2
x 3x 10 0 2) Gi i ả phư ng t ơ rình 4 2
3x 2x 5 0 2x 3y 1 3) Gi i ả h ph ệ ư ng t ơ
rình : x 2y 4 Câu 2. (2,25 đi m ể ) 1) Vẽ đồ th hàm ị s ố P 2 : y x 2) Tìm giá tr c ị a t ủ ham số m đ
ể Parabol P 2
: y x và đư ng t ờ h ng ẳ d : y 2
x 3m có đúng m t ộ đi m ể chung 3) Cho phư ng t ơ rình 2 x 5x 4 0 . G i ọ x ; x 1 2 là hai nghi m ệ c a ủ phư ng t ơ rình. 2 2 Không gi i ả phư ng t ơ rình, hãy tính giá tr bi ị u t ể h c
ứ Q x x 6x x 1 2 1 2 Câu 3. (1,0 đi m ể ) x 4 x 2 x x 0 A : x x 2 x x 4 Rút g n bi ọ u t ể h c ứ Câu 4. (1,75 đi m ể ) 1) H ng ằ ngày, b n M ạ ai đi h c b ọ ng ằ xe đ p, ạ quãng đư ng t ờ nhà đ ừ n ế trư ng dài ờ 3k . m Hôm nay, xe đ p h ạ nên M ư ai nh m ờ ch ẹ đi ở đ n t ế rư ng b ờ ng ằ xe máy v i ớ v n ậ tốc l n h ớ n v ơ n t ậ ốc khi đi xe đ p ạ là 24km / , h cùng m t ộ th i ờ đi m ể kh i ở hành như m i ọ ngày nh ng M ư ai đã đ n t ế rư ng ờ s m ớ h n 10 phút ơ . Tính v n t ậ c ố c a ủ b n M ạ ai khi đi h c b ọ ng ằ xe đ p ạ 2) Cho AB C vuông t i ạ A, bi t ế AB a , AC 2 a (v i ớ a là số th c ự dư ng) ơ . Tính th ể tích theo a c a ủ hình nón đư c t ợ o ạ thành khi quay AB C m t ộ vòng quanh c nh ạ AC cố định Câu 5. (3,0 đi m
ể ) Cho tam giác ABC có ba góc nh n
ọ AB AC . Ba đư ng cao ờ AD, BE,CF c t ắ nhau t i ạ H 1) Ch ng ứ minh t gi ứ ác BFEC n i ộ ti p. X ế ác đ nh t ị âm O c a đ ủ ư ng ờ tròn ngo i ạ ti p ế t gi ứ ác BFEC 2) G i ọ I là trung đi m ể c a ủ AH.Ch ng m ứ inh IE là ti p t ế uy n c ế a ủ đư ng t ờ ròn O
3) Vẽ CI c t ắ đư ng t ờ ròn O t i ạ M M C , EF c t ắ AD t i ạ K. Ch ng m ứ inh ba đi m
ể B, K,M th ng ẳ hàng.
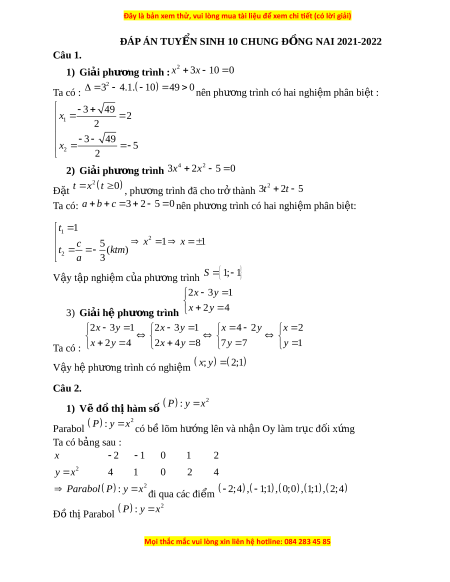
ĐÁP ÁN TUY N Ể SINH 10 CHUNG Đ N Ồ G NAI 2021-2022 Câu 1. 1) Giải phư ng t ơ rình : 2
x 3x 10 0 2 Ta có : 3 4.1. 10 49 0 nên phư ng ơ trình có hai nghi m ệ phân bi t ệ : 3 49 x 2 1 2 3 49 x 5 2 2 2) Giải phư ng t ơ rình 4 2
3x 2x 5 0 2 Đ t
ặ t x t 0 , phư ng t ơ rình đã cho trở thành 2 3t 2t 5
Ta có: a b c 3 2 5 0 nên phư ng ơ trình có hai nghi m ệ phân bi t ệ : t 1 1 2 c 5 x 1 x 1
t (ktm) 2 a 3 V y ậ t p nghi ậ m ệ c a ph ủ ư ng ơ trình S 1; 1 2x 3y 1 3) Giải h p ệ hư ng t ơ
rình x 2y 4 2x 3y 1 2x 3y 1 x 4 2 y x 2
Ta có : x 2y 4 2x 4y 8 7 y 7 y 1 V y ậ h ph ệ ư ng t ơ rình có nghi m ệ ; x y 2; 1 Câu 2. 1) V đ ẽ ồ th hàm ị số P 2 : y x Parabol P 2 : y x có b l ề õm hư ng l ớ ên và nh n O ậ y làm tr c đ ụ i ố x ng ứ Ta có b ng ả sau : x 2 1 0 1 2 2 y x 4 1 0 2 4
Parabol P 2
: y x đi qua các đi m
ể 2;4 , 1; 1 , 0;0 ,1; 1 , 2;4
Đồ thị Parabol P 2 : y x
2) Tìm giá tr c ị a t ủ ham s t ố h c
ự m đ P
ể arabol P 2
: y x và đư ng ờ thẳng d : y 2
x 3m có đúng m t ộ đi m ể chung Xét phư ng
ơ trình hoành độ giao đi m ể c a
ủ P , d ta đư c ợ : 2 2 x 2
x 3m x 2x 3m 0 1 Để P c t ắ d t i ạ đúng m t ộ đi m ể chung khi và ch khi ỉ 1 có nghiêm kép 1 ' 0 1 3m 0 m 3 1 m V y ậ 3 th a m ỏ ãn yêu cầu bài toán 3) Cho phư ng t ơ rình 2
x 5x 4.G i ọ x , x 1 2 là hai nghi m ệ phân bi t ệ c a p ủ hư ng ơ 2 2
trình, hãy tính giá tr c ị a bi ủ u t ể h c
ứ Q x x 6x x 1 2 1 2 Vì x , x 1 2 là hai nghi m ệ phân bi t ệ c a ph ủ ư ng
ơ trình đã cho nên áp d ng ụ Vi et v i ớ
x x 5 1 2 phư ng ơ trình 2
x 5x 4 , ta có: x x 4 1 2 . Ta có :
Đề thi vào 10 môn Toán tỉnh Đồng Nai năm 2022
654
327 lượt tải
MUA NGAY ĐỂ XEM TOÀN BỘ TÀI LIỆU
CÁCH MUA:
- B1: Gửi phí vào TK:
1133836868- CT TNHH DAU TU VA DV GD VIETJACK - Ngân hàng MB (QR) - B2: Nhắn tin tới Zalo VietJack Official ( nhấn vào đây ) để xác nhận thanh toán và tải tài liệu - giáo án
Liên hệ ngay Hotline hỗ trợ: 084 283 45 85
Đề thi được cập nhật liên tục trong gói này từ nay đến hết tháng 6/2023. Chúng tôi đảm bảo đủ số lượng đề đã cam kết hoặc có thể nhiều hơn, tất cả có BẢN WORD, LỜI GIẢI CHI TIẾT và tải về dễ dàng.
Để tải tài liệu gốc về máy bạn click vào nút Tải Xuống ở trên!
Thuộc bộ (mua theo bộ để tiết kiệm hơn):
- Tailieugiaovien.com.vn giới thiệu bộ 63 đề thi chính thức vào 10 môn Toán năm 2022 nhằm giúp Giáo viên có thêm tài liệu tham khảo đề luyện thi Toán vào 10.
- File word có lời giải chi tiết 100%.
- Mua trọn bộ sẽ tiết kiệm hơn tải lẻ 50%.
Đánh giá
4.6 / 5(654 )5
4
3
2
1
Trọng Bình
Tài liệu hay
Giúp ích cho tôi rất nhiều
Duy Trần
Tài liệu chuẩn
Rất thích tài liệu bên VJ soạn (bám sát chương trình dạy)
TÀI LIỆU BỘ BÁN CHẠY MÔN Toán Học
Xem thêmTÀI LIỆU BỘ BÁN CHẠY Ôn vào 10
Xem thêmTài liệu bộ mới nhất

Đây là bản xem thử, vui lòng mua tài liệu để xem chi ết (có lời giải)
111Equation Chapter 1 Section
1S GIÁO D C VÀ ĐÀO T OỞ Ụ Ạ
T NH Đ NG NAIỈ Ồ
Đ CHÍNH TH C Ề Ứ
KỲ THI TUY N SINH VÀO L P 10 THPTỂ Ớ
NĂM H C 2021 – 2022 Ọ
Môn : Toán
Th i gian làm bài : 120 phútờ
(Đ g m 01 trang có 05 câu)ề ồ
Câu 1. (2,0 đi m)ể
1) Gi i ph ng trình ả ươ
2
3 10 0x x
2) Gi i ph ng trình ả ươ
4 2
3 2 5 0x x
3) Gi i h ph ng trình :ả ệ ươ
2 3 1
2 4
x y
x y
Câu 2. (2,25 đi m)ể
1) V đ th hàm s ẽ ồ ị ố
2
:P y x
2) Tìm giá tr c a tham s ị ủ ố
m
đ ể
2
:Parabol P y x
và đ ng th ngườ ẳ
: 2 3d y x m
có đúng m t đi m chungộ ể
3) Cho ph ng trình ươ
2
5 4 0.x x
G i ọ
1 2
;x x
là hai nghi m c a ph ng trình. ệ ủ ươ
Không gi i ph ng trình, hãy tính giá tr bi u th c ả ươ ị ể ứ
2 2
1 2 1 2
6Q x x x x
Câu 3. (1,0 đi m)ể
Rút g n bi u th c ọ ể ứ
0
4 2
:
4
2
x
x x x
A x
x
x x
Câu 4. (1,75 đi m)ể
1) H ng ngày, b n Mai đi h c b ng xe đ p, quãng đ ng t nhà đ n tr ng dàiằ ạ ọ ằ ạ ườ ừ ế ườ
3 .km
Hôm nay, xe đ p h nên Mai nh m ch đi đ n tr ng b ng xe máy v i ạ ư ờ ẹ ở ế ườ ằ ớ
v n t c l n h n v n t c khi đi xe đ p là ậ ố ớ ơ ậ ố ạ
24 / ,km h
cùng m t th i đi m kh i ộ ờ ể ở
hành nh m i ngày nh ng Mai đã đ n tr ng s m h n 10 phút. Tính v n t c ư ọ ư ế ườ ớ ơ ậ ố
c a b n Mai khi đi h c b ng xe đ pủ ạ ọ ằ ạ
2) Cho
ABC
vuông t i A, bi t ạ ế
, 2AB a AC a
(v i ớ
a
là s th c d ng). Tính th ố ự ươ ể
tích theo
a
c a hình nón đ c t o thành khi quay ủ ượ ạ
ABC
m t vòng quanh c nhộ ạ
AC
c đ nhố ị
Câu 5. (3,0 đi m) ể Cho tam giác
ABC
có ba góc nh n ọ
AB AC
. Ba đ ng cao ườ
,AD
,BE CF
c t nhau t i ắ ạ
H
1) Ch ng minh t giác ứ ứ
BFEC
n i ti p. Xác đ nh tâm ộ ế ị
O
c a đ ng tròn ngo i ti p ủ ườ ạ ế
t giác ứ
BFEC
2) G i ọ
I
là trung đi m c a ể ủ
.AH
Ch ng minh ứ
IE
là ti p tuy n c a đ ng tròn ế ế ủ ườ
O
Mọi thắc mắc vui lòng xin liên hệ hotline: 084 283 45 85

Đây là bản xem thử, vui lòng mua tài liệu để xem chi ết (có lời giải)
3) V ẽ
CI
c t đ ng tròn ắ ườ
O
t i M ạ
,M C EF
c t ắ
AD
t i K. Ch ng minh ba ạ ứ
đi m ể
, ,B K M
th ng hàng.ẳ
Mọi thắc mắc vui lòng xin liên hệ hotline: 084 283 45 85

Đây là bản xem thử, vui lòng mua tài liệu để xem chi ết (có lời giải)
ĐÁP ÁN TUY N SINH 10 CHUNG Đ NG NAI 2021-2022Ể Ồ
Câu 1.
1) Gi i ph ng trình :ả ươ
2
3 10 0x x
Ta có :
2
3 4.1. 10 49 0
nên ph ng trình có hai nghi m phân bi t :ươ ệ ệ
1
2
3 49
2
2
3 49
5
2
x
x
2) Gi i ph ng trình ả ươ
4 2
3 2 5 0x x
Đ t ặ
2
0t x t
, ph ng trình đã cho tr thành ươ ở
2
3 2 5t t
Ta có:
3 2 5 0a b c
nên ph ng trình có hai nghi m phân bi t:ươ ệ ệ
1
2
2
1
1 1
5
( )
3
t
x x
c
t ktm
a
V y t p nghi m c a ph ng trình ậ ậ ệ ủ ươ
1; 1S
3) Gi i h ph ng trình ả ệ ươ
2 3 1
2 4
x y
x y
Ta có :
2 3 1 2 3 1 4 2 2
2 4 2 4 8 7 7 1
x y x y x y x
x y x y y y
V y h ph ng trình có nghi m ậ ệ ươ ệ
; 2;1x y
Câu 2.
1) V đ th hàm s ẽ ồ ị ố
2
:P y x
Parabol
2
:P y x
có b lõm h ng lên và nh n Oy làm tr c đ i x ngề ướ ậ ụ ố ứ
Ta có b ng sau :ả
2
2 1 0 1 2
4 1 0 2 4
x
y x
2
:Parabol P y x
đi qua các đi m ể
2;4 , 1;1 , 0;0 , 1;1 , 2;4
Đ th Parabol ồ ị
2
:P y x
Mọi thắc mắc vui lòng xin liên hệ hotline: 084 283 45 85

Đây là bản xem thử, vui lòng mua tài liệu để xem chi ết (có lời giải)
2) Tìm giá tr c a tham s th c ị ủ ố ự
m
đ Parabol ể
2
:P y x
và đ ng th ngườ ẳ
: 2 3d y x m
có đúng m t đi m chungộ ể
Xét ph ng trình hoành đ giao đi m c a ươ ộ ể ủ
,P d
ta đ c :ượ
2 2
2 3 2 3 0 1x x m x x m
Đ ể
P
c t ắ
d
t i đúng m t đi m chung khi và ch khi ạ ộ ể ỉ
1
có nghiêm kép
1
' 0 1 3 0
3
m m
V y ậ
1
3
m
th a mãn yêu c u bài toánỏ ầ
3) Cho ph ng trình ươ
2
5 4.x x
G i ọ
1 2
,x x
là hai nghi m phân bi t c a ph ngệ ệ ủ ươ
trình, hãy tính giá tr c a bi u th c ị ủ ể ứ
2 2
1 2 1 2
6Q x x x x
Vì
1 2
,x x
là hai nghi m phân bi t c a ph ng trình đã cho nên áp d ng ệ ệ ủ ươ ụ
Vi et
v i ớ
ph ng trình ươ
2
5 4x x
, ta có:
1 2
1 2
5
4
x x
x x
. Ta có :
Mọi thắc mắc vui lòng xin liên hệ hotline: 084 283 45 85

Đây là bản xem thử, vui lòng mua tài liệu để xem chi ết (có lời giải)
2
2 2
1 2 1 2 1 2 1 2 1 2
2 2
1 2 1 2
6 2 6
4 5 4. 4 9
Q x x x x x x x x x x
x x x x
V y ậ
9Q
Câu 3.
Rút g n bi u th c ọ ể ứ
0
4 2
:
4
2
x
x x x
A x
x
x x
V i ớ
0, 4x x
, ta có :
0
4 2
:
4
2
2 2 2
1
.
2
1
2 2 . 2
x
x x x
A x
x
x x
x x x x
x x x
x x
x
V y v i ậ ớ
0, 4x x
thì
2A
Câu 4.
1) H ng ngày, b n Mai đi h c b ng xe đ p, quãng đ ng t nhà đ n tr ng ằ ạ ọ ằ ạ ườ ừ ế ườ
dài
3 .km
Hôm nay, xe đ p h nên Mai nh m ch đi đ n tr ng b ng xe ạ ư ờ ẹ ở ế ườ ằ
máy v i v n t c l n h n v n t c khi đi xe đ p là ớ ậ ố ớ ơ ậ ố ạ
24 / ,km h
cùng m t th i ộ ờ
đi m kh i hành nh m i ngày nh ng Mai đã đ n tr ng s m h n 10 phút.ể ở ư ọ ư ế ườ ớ ơ
Tính v n t c c a b n Mai khi đi h c b ng xe đ pậ ố ủ ạ ọ ằ ạ
G i v n t c c a Mai khi đi h c b ng xe đ p là ọ ậ ố ủ ọ ằ ạ
/ 0x km h x
Th i gian Mai đi xe đ p h t quãng đ ng ờ ạ ế ườ
3km
là
3
x
(gi )ờ
Hôm nay, m ch Mai đ n tr ng b ng xe máy v i v n t c là ẹ ở ế ườ ằ ớ ậ ố
24 /x km h
Th i gian đi xe máy h t quãng đ ng ờ ế ườ
3km
là
3
24
h
x
Vì cùng m t th i đi m kh i hành nh m i ngày nh ng Mai đã đ n s m h nộ ờ ể ở ư ọ ư ế ớ ơ
1
10
6
ph h
nên ta có ph ng trình :ươ
Mọi thắc mắc vui lòng xin liên hệ hotline: 084 283 45 85
