SỞ GIÁO D C Ụ VÀ ĐÀO T O Ạ KỲ THI TUY N Ể SINH L P Ớ 10 THPT CHUYÊN HÀ NAM Năm h c ọ 2021 – 2022 Môn : Toán (Đ c ề hung) Đ C Ề HÍNH TH C Ứ Th i
ờ gian làm bài : 120 phút không k gi ể ao đ ề Câu 1. (2,0 đi m ể ) 1) Rút g n bi ọ u t ể h c
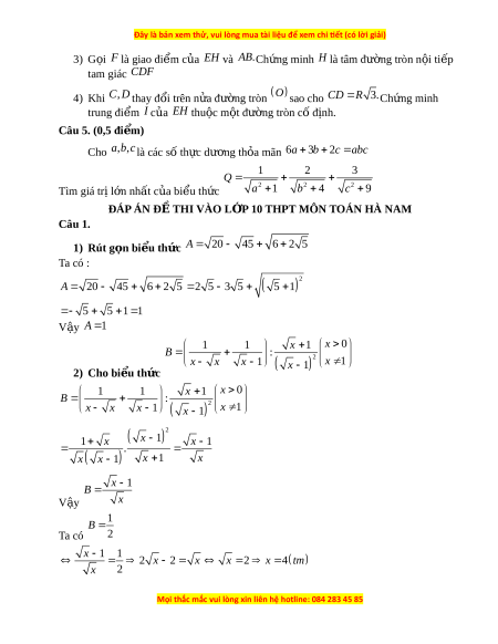
ứ A 20 45 6 2 5 1 1
x 1 x 0 B : x x x 1
x 2 x 1 1 2) Cho bi u t ể h c ứ 1 B Rút g n bi ọ u t ể h c ứ B và tìm t t ấ c các ả giá tr nguyên c ị a ủ x sao cho 2 Câu 2. (2,0 đi m ể ) 1) Gi i ả phư ng t ơ rình : 2 x 6x 5 0 2 x 2 3 y 1 2) Gi i ả h ph ệ ư ng t ơ rình 3x y 6 Câu 3. (1,5 di m ể ) 2 Trong m t ặ ph ng t ẳ a ọ đ
ộ Oxy, cho parabol P có phư ng t ơ
rình y x và đư ng ờ th ng
ẳ d có phư ng t ơ rình y m
x 5 m là tham số)
1) Trên parabol P , tìm các đi m ể có tung đ b ộ ng ằ 2 2) Ch ng ứ minh r ng đ ằ ư ng t ờ h ng ẳ d luôn c t
ắ parabol P t i ạ hai đi m ể phân bi t ệ , A B . G i ọ x , x , A . B 1 2 lần lư t ợ là hoành đ c ộ a ủ Tìm các giá tr c ị a ủ m để x x 6 1 2 Câu 4. (4,0 đi m ể ) Cho n a đ ử ư ng t ờ ròn (O) có đư ng ờ kính AB 2 . R Lấy hai đi m ể phân bi t ệ C và D trên n a đ ử ư ng
ờ tròn O sao cho C thu c
ộ cung AD C, D không trùng v i ớ , A B). G i ọ H là giao đi m ể c a
ủ AD và BC, E là giao đi m ể c a ủ AC và BD 1) Ch ng ứ minh t gi ứ ác CEDH n i ộ ti p ế 2) Ch ng
ứ minh CE.CA CH .CB
3) G i ọ F là giao đi m ể c a ủ EH và A . B Ch ng
ứ minh H là tâm đư ng t ờ ròn n i ộ ti p ế tam giác CDF
4) Khi C, D thay đổi trên n a đ ử ư ng t ờ
ròn O sao cho CD R 3.Ch ng m ứ inh trung đi m ể I c a ủ EH thu c ộ m t ộ đư ng t ờ ròn c đ ố nh. ị Câu 5. (0,5 đi m ể )
Cho a,b,c là các số th c ự dư ng t ơ h a
ỏ mãn 6a 3b 2c a bc 1 2 3 Q Tìm giá tr l ị n nh ớ t ấ c a bi ủ u t ể h c ứ 2 2 2 a 1 b 4 c 9 ĐÁP ÁN Đ Ề THI VÀO L P
Ớ 10 THPT MÔN TOÁN HÀ NAM Câu 1. 1) Rút g n bi ọ u t ể h c
ứ A 20 45 6 2 5 Ta có : A 2 20 45 6 2 5 2 5 3 5 5 1 5 5 1 1 V y ậ A 1 1 1
x 1 x 0 B : x x x 1
x 2 x 1 1 2) Cho bi u t ể h c ứ 1 1
x 1 x 0 B : x x x 1
x 2 x 1 1 x x 2 1 1 x 1 . x x 1 x 1 x x 1 B V y ậ x 1 B Ta có 2 x 1 1
2 x 2 x x 2 x 4 tm x 2
1 B V y ậ x 4 thì 2 Câu 2. 1) Giải phư ng t ơ rình 2 x 6x 5 0 Phư ng ơ trình 2 x 6x 5 0 có d ng ạ
a b c 1 6 5 0 V y ậ phư ng t ơ rình có t p nghi ậ m ệ S 1; 5 2 x 2 3 y 1 2) Giải h p ệ hư ng t ơ
rình 3x y 6 2 x 2 3 y 1 2x 4 3 y 3
2x 3y 7 3x y 6 3x y 6 9x 3y 1 8 1 1x 1 1 x 1 y 6 3x y 3 V y ậ h ph ệ ư ng t ơ rình có nghi m ệ duy nh t ấ ; x y 1;3 Câu 3.
1) Trên parabol (P), tìm các đi m ể có tung đ b ộ ng 2 ằ G i ọ M x ;2 0 là đi m ể thu c ( ộ P) và có tung đ b ộ ng ằ 2 M 2;2 x 2 1 2 0 x 2 0 x 2 0 M 2;2 2 Khi đó ta có : M 2;2 M 2;2 1 2 V y ậ trên (P) có hai đi m ể có tung đ b ộ ng ằ 2là và 2) Chứng minh r ng đ ằ ư ng ờ th ng ẳ
d luôn c t
ắ parabol P tại hai đi m ể phân bi t ệ , A . B G i ọ x ; x 1 2 lần lư t ợ là hoành đ c ộ a ủ ,
A B . Tìm các giá tr c ị a ủ m đ
ể x x 6 1 2 Phư ng ơ trình hoành đ gi ộ ao đi m ể c a
ủ d và P là : 2 2 x m
x 5 x mx 5 0 * d c t ắ P t i ạ hai đi m ể phân bi t ệ ,
A B * có hai nghiệm phân bi t ệ
2
0 m 5 0 (v i ớ m i
ọ m) d luôn c t ắ P t i ạ hai đi m ể phân bi t ệ , A B v i ớ m i ọ m G i ọ x ; x ,
A B x , x 1 2 lần lư t ợ là hoành đ c ộ a ủ 1 2 là hai nghi m ệ c a ph ủ ư ng ơ trình (*) x x m 1 2 Áp d ng ụ h t ệ h c
ứ Vi – et ta có : x x 5 x x 6 1 2 . Theo đ bài ề , ta có 1 2
x x 2 36
x x 2 4x x 36 1 2 1 2 1 2 m 4 2
m 4. 5 2 36 m 1
6 m 4 V y ậ m 4 th a m ỏ ãn bài toán
Đề thi vào 10 môn Toán tỉnh Hà Nam năm 2022
546
273 lượt tải
MUA NGAY ĐỂ XEM TOÀN BỘ TÀI LIỆU
CÁCH MUA:
- B1: Gửi phí vào TK:
1133836868- CT TNHH DAU TU VA DV GD VIETJACK - Ngân hàng MB (QR) - B2: Nhắn tin tới Zalo VietJack Official ( nhấn vào đây ) để xác nhận thanh toán và tải tài liệu - giáo án
Liên hệ ngay Hotline hỗ trợ: 084 283 45 85
Đề thi được cập nhật liên tục trong gói này từ nay đến hết tháng 6/2023. Chúng tôi đảm bảo đủ số lượng đề đã cam kết hoặc có thể nhiều hơn, tất cả có BẢN WORD, LỜI GIẢI CHI TIẾT và tải về dễ dàng.
Để tải tài liệu gốc về máy bạn click vào nút Tải Xuống ở trên!
Thuộc bộ (mua theo bộ để tiết kiệm hơn):
- Tailieugiaovien.com.vn giới thiệu bộ 63 đề thi chính thức vào 10 môn Toán năm 2022 nhằm giúp Giáo viên có thêm tài liệu tham khảo đề luyện thi Toán vào 10.
- File word có lời giải chi tiết 100%.
- Mua trọn bộ sẽ tiết kiệm hơn tải lẻ 50%.
Đánh giá
4.6 / 5(546 )5
4
3
2
1
Trọng Bình
Tài liệu hay
Giúp ích cho tôi rất nhiều
Duy Trần
Tài liệu chuẩn
Rất thích tài liệu bên VJ soạn (bám sát chương trình dạy)
TÀI LIỆU BỘ BÁN CHẠY MÔN Toán Học
Xem thêmTÀI LIỆU BỘ BÁN CHẠY Ôn vào 10
Xem thêmTài liệu bộ mới nhất

Đây là bản xem thử, vui lòng mua tài liệu để xem chi ết (có lời giải)
S GIÁO D C VÀ ĐÀO T OỞ Ụ Ạ
HÀ NAM
Đ CHÍNH TH C Ề Ứ
KỲ THI TUY N SINH L P 10 THPT CHUYÊNỂ Ớ
Năm h c 2021 – 2022ọ
Môn : Toán (Đ chung)ề
Th i gian làm bài : 120 phút không k giao đ ờ ể ề
Câu 1. (2,0 đi m)ể
1) Rút g n bi u th c ọ ể ứ
20 45 6 2 5A
2) Cho bi u th c ể ứ
2
0
1 1 1
:
1
1
1
x
x
B
x
x x x
x
Rút g n bi u th c ọ ể ứ
B
và tìm t t c các giá tr nguyên c a ấ ả ị ủ
x
sao cho
1
2
B
Câu 2. (2,0 đi m)ể
1) Gi i ph ng trình : ả ươ
2
6 5 0x x
2) Gi i h ph ng trình ả ệ ươ
2 2 3 1
3 6
x y
x y
Câu 3. (1,5 di m)ể
Trong m t ph ng t a đ ặ ẳ ọ ộ
,Oxy
cho parabol
P
có ph ng trình ươ
2
y x
và đ ng ườ
th ng ẳ
d
có ph ng trình ươ
5y mx m
là tham s )ố
1) Trên
,parabol P
tìm các đi m có tung đ b ng 2ể ộ ằ
2) Ch ng minh r ng đ ng th ng ứ ằ ườ ẳ
d
luôn c t ắ
parabol P
t i hai đi m phân bi tạ ể ệ
,A B
. G i ọ
1 2
,x x
l n l t là hoành đ c a ầ ượ ộ ủ
, .A B
Tìm các giá tr c a ị ủ
m
để
1 2
6x x
Câu 4. (4,0 đi m)ể
Cho n a đ ng tròn (O) có đ ng kính ử ườ ườ
2 .AB R
L y hai đi m phân bi t ấ ể ệ
C
và
D
trên n a đ ng tròn ử ườ
O
sao cho
C
thu c cung ộ
,AD C D
không trùng v i ớ
, ).A B
G iọ
H
là giao đi m c a ể ủ
AD
và
,BC E
là giao đi m c a ể ủ
AC
và
BD
1) Ch ng minh t giác ứ ứ
CEDH
n i ti pộ ế
2) Ch ng minh ứ
. .CE CA CH CB
Mọi thắc mắc vui lòng xin liên hệ hotline: 084 283 45 85

Đây là bản xem thử, vui lòng mua tài liệu để xem chi ết (có lời giải)
3) G i ọ
F
là giao đi m c a ể ủ
EH
và
.AB
Ch ng minh ứ
H
là tâm đ ng tròn n i ti p ườ ộ ế
tam giác
CDF
4) Khi
,C D
thay đ i trên n a đ ng tròn ổ ử ườ
O
sao cho
3.CD R
Ch ng minh ứ
trung đi m ể
I
c a ủ
EH
thu c m t đ ng tròn c đ nh.ộ ộ ườ ố ị
Câu 5. (0,5 đi m)ể
Cho
, ,a b c
là các s th c d ng th a mãn ố ự ươ ỏ
6 3 2a b c abc
Tìm giá tr l n nh t c a bi u th c ị ớ ấ ủ ể ứ
2 2 2
1 2 3
1 4 9
Q
a b c
ĐÁP ÁN Đ THI VÀO L P 10 THPT MÔN TOÁN HÀ NAMỀ Ớ
Câu 1.
1) Rút g n bi u th c ọ ể ứ
20 45 6 2 5A
Ta có :
2
20 45 6 2 5 2 5 3 5 5 1
5 5 1 1
A
V y ậ
1A
2) Cho bi u th c ể ứ
2
0
1 1 1
:
1
1
1
x
x
B
x
x x x
x
2
2
0
1 1 1
:
1
1
1
1
1 1
.
1
1
x
x
B
x
x x x
x
x
x x
x x
x x
V y ậ
1x
B
x
Ta có
1
2
B
1 1
2 2 2 4
2
x
x x x x tm
x
Mọi thắc mắc vui lòng xin liên hệ hotline: 084 283 45 85

Đây là bản xem thử, vui lòng mua tài liệu để xem chi ết (có lời giải)
V y ậ
4x
thì
1
2
B
Câu 2.
1) Gi i ph ng trình ả ươ
2
6 5 0x x
Ph ng trình ươ
2
6 5 0x x
có d ng ạ
1 6 5 0a b c
V y ph ng trình có t p nghi m ậ ươ ậ ệ
1;5S
2) Gi i h ph ng trình ả ệ ươ
2 2 3 1
3 6
x y
x y
2 2 3 1
2 4 3 3 2 3 7
3 6 9 3 18
3 6
11 11 1
6 3 3
x y
x y x y
x y x y
x y
x x
y x y
V y h ph ng trình có nghi m duy nh t ậ ệ ươ ệ ấ
; 1;3x y
Câu 3.
1) Trên parabol (P), tìm các đi m có tung đ b ng 2ể ộ ằ
G i ọ
0
;2M x
là đi m thu c (P) và có tung đ b ng ể ộ ộ ằ
2
Khi đó ta có :
1
0
2
0
0
2
2;2
2
2
2
2;2
M
x
x
x
M
V y trên (P) có hai đi m có tung đ b ng ậ ể ộ ằ
2
là
1
2;2M
và
2
2;2M
2) Ch ng minh r ng đ ng th ng ứ ằ ườ ẳ
d
luôn c t parabol ắ
P
t i hai đi m ạ ể
phân bi t ệ
, .A B
G i ọ
1 2
;x x
l n l t là hoành đ c a ầ ượ ộ ủ
,A B
. Tìm các giá tr c aị ủ
m
đ ể
1 2
6x x
Ph ng trình hoành đ giao đi m c a ươ ộ ể ủ
d
và
P
là :
2 2
5 5 0 *x mx x mx
d
c t ắ
P
t i hai đi m phân bi t ạ ể ệ
, *A B
có hai nghi m phân bi tệ ệ
Mọi thắc mắc vui lòng xin liên hệ hotline: 084 283 45 85

Đây là bản xem thử, vui lòng mua tài liệu để xem chi ết (có lời giải)
2
0 5 0m
(v i m i ớ ọ
)m
d
luôn c t ắ
P
t i hai đi m phân bi t ạ ể ệ
,A B
v iớ
m i ọ
m
G i ọ
1 2
;x x
l n l t là hoành đ c a ầ ượ ộ ủ
1 2
, ,A B x x
là hai nghi m c a ph ng trình (*)ệ ủ ươ
Áp d ng h th c Vi – et ta có : ụ ệ ứ
1 2
1 2
5
x x m
x x
. Theo đ bài, ta có ề
1 2
6x x
2 2
1 2 1 2 1 2
2 2
36 4 36
4
4. 5 36 16
4
x x x x x x
m
m m
m
V y ậ
4m
th a mãn bài toán ỏ
Mọi thắc mắc vui lòng xin liên hệ hotline: 084 283 45 85

Đây là bản xem thử, vui lòng mua tài liệu để xem chi ết (có lời giải)
Câu 4.
1) Ch ng minh t giác ứ ứ
CEDH
n i ti pộ ế
Vì
,C D
đ ng tròn đ ng kính AB do đó ườ ườ
90 .ACB ADB
Do đó
90ECH EDH
V y t giác ậ ứ
CEDH
n i ti p đ ng tròn đ ng kính ộ ế ườ ườ
EH
2) Ch ng minh ứ
. .CE CA CH CB
T ý 1) ta nh n xét ừ ậ
,AD BC
th t là các đ ng cao t ứ ự ườ ừ
,A B
c a tam giác ủ
,EAB
nên
H
là tr c tâm tam giác ự
.EAB
Vì v y, ậ
EH AB
hay
90EFB
.
Ta có
90ECB EFB
t giác ứ
ECFB
n i ti p đ ng tròn đ ng kính ộ ế ườ ườ
EB
Nh v y ư ậ
CEF CBF
hay
CEH CBA
Xét hai tam giác
CEH
và
CBA
đ u vuông t i C và có ề ạ
CEH CBA
Mọi thắc mắc vui lòng xin liên hệ hotline: 084 283 45 85
