111Equation Chapter 1 Section 1SỞ KỲ THI TUY N Ể SINH L P Ớ 10 THPT GIÁO D C Ụ VÀ ĐÀO T O Ạ Năm h c ọ 2021 – 2022 HÀ NAM Môn Toán Th i
ờ gian làm bài : 120 phút Đ C Ề HÍNH TH C Ứ Câu I. (2,0 đi m ể ) 1. Gi i ả phư ng t ơ rình : 2 x 7x 10 0
2 x 3 y 1 2. Gi i ả h ph ệ ư ng t ơ
rình : 3x 4y 13 Câu II. (2,0 đi m ể ) 1 1 1 x 0 A 1. Cho bi u t ể h c ứ 2 x 2 2 x 2 x 1 x 1 a) Rút g n bi ọ u t ể h c ứ A
b) Tìm các số nguyên x đ ể A đ t ạ giá tr nguyên ị 2 2. M t ộ m nh v ả ư n ờ hình ch nh ữ t ậ ban đ u có ầ di n t ệ ích b ng ằ 680m , n u t ế ăng chi u
ề dài thêm 6m và gi m ả chi u ề r ng đi ộ 3m thì di n t ệ ích m nh v ả ư n ờ không
thay đổi. Tính chu vi m nh v ả ư n ờ ban đ u. ầ Câu III. (1,5 đi m ể ) 2 Trong m t ặ ph ng t ẳ a ọ đ
ộ Oxy, cho parabol P có phư ng t ơ
rình y x và 2 đư ng ờ th ng ẳ d có phư ng ơ trình y 2 m
1 x m 2m m là tham số) 1. Tìm t a đ ọ các ộ đi m ể thu c par ộ
abol P có tung đ b ộ ng ằ 9 2. Ch ng ứ minh đư ng t ờ h ng ẳ d luôn c t
ắ parabol P t i ạ hai đi m ể phân bi t ệ , A . B G i ọ y , y , A . B 1 2 lần lư t ợ là tung đ c ộ a hai ủ đi m ể Tìm tất c các ả giá tr ị c a ủ m đ ể y y 4 1 2 Câu IV. (4,0 đi m ể )
Cho tam giác ABC có ba góc nh n. ọ Đư ng t ờ ròn (O) đư ng kí ờ nh BC c t ắ các c nh
ạ AB, AC lần lư t ợ t i ạ các đi m
ể E, F E B,F C . G i ọ H là giao đi m ể c a ủ BF và CE 1. Ch ng ứ minh t gi ứ ác AEHF n i ộ ti p ế 2. Ch ng
ứ minh AF.AC A . B AE 3. G i ọ K là trung đi m ể c a ủ đo n t ạ h ng ẳ AH.Ch ng m ứ inh E BF E FK 4. T đi ừ m ể A kẻ các ti p t ế uy n ế AM , AN c a ủ đư ng t ờ
ròn (O) ( M , N là các ti p ế đi m ể ). Ch ng m ứ inh ba đi m
ể M , H , N th ng ẳ hàng. Câu V. (0,5 đi m ể )
Cho a,b,c là ba số dư ng ơ th a m ỏ
ãn a b c 3 .Ch ng ứ minh r ng : ằ 3a bc 3b ac 3c ab 2
a 3a bc
b 3b ac
c 3c ab
ĐÁP ÁN Đ Ề THI VÀO L P
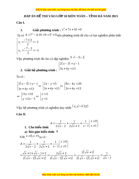
Ớ 10 MÔN TOÁN – T N Ỉ H HÀ NAM 2021 Câu I. 1. Giải phư ng t ơ rình : 2 x 7x 10 0 Ta có 2 2 7 4.10 9 3 0 nên phư ng t ơ rình đã cho có hai nghi m ệ phân bi t ệ 7 3 x 2 1 2 7 3 x 5 2 2 V y ậ phư ng t ơ rình đã cho có t p ậ nghi m ệ S 5; 2
2 x 3 y 1 2. Giải h p ệ hư ng t ơ
rình : 3x 4 y 1 3 Ta có :
2 x 3 y 1 2x y 5 8 x 4 y 2 0 3x 4y 1 3 3x 4 y 1 3 3x 4 y 1 3 1 1x 3 3 x 3 y 2x 5 y 1 V y ậ h ph ệ ư ng t ơ rình có nghi m ệ duy nh t ấ ; x y 3; 1 Câu II. 1 1 1 x 0 A 1. Cho bi u t ể h c ứ 2 x 2 2 x 2 x 1 x 1 a) Rút g n bi ọ u t ể h c ứ A V i ớ x 0 , x 1 ta có : 1 1 1 x 0 A
2 x 2 2 x 2
x 1 x 1 2 x x x x 1 1 1 2 2 2 1
2 x 1 x 1 2 x 1 x 1 2 x 1 x 1 x 1
1 A V y ậ v i ớ x 0 , x 1 thì x 1 b) Tìm các s nguyên ố x đ
ể A đ t ạ giá tr nguyên ị 1
Để Athì x 1
mà x nên x 1U 1 1; 1 t 1 h : x 1 1 x 2 x 4( tm)
th2 : x 1 1 x 0 x 0( tm) V y ậ đ
ể Athì x 0; 4 2 2. M t ộ mảnh vư n hì ờ nh ch n ữ h t ậ ban đ u có di ầ n t ệ ích b ng ằ 680m , n u t ế ăng chi u dài ề
thêm 6m và giảm chi u r ề ng
ộ đi 3m thì di n t ệ ích m nh v ả ư n không t ờ hay đ i
ổ . Tính chu vi m nh v ả ư n ờ ban đ u. ầ G i ọ chi u dài ề và chi u r ề ng c ộ a ủ m nh v ả ư n l ờ n l ầ ư t
ợ là x, y m DK : x, y 0 Vì di n t ệ ích m nh v ả ư n ờ là 2
680m nên ta có phư ng ơ trình xy 6 80 1 Khi tăng chi u ề dài thêm 6m và gi m ả chi u r ề ng đi ộ 3m thì di n t ệ ích chi u dài ề m i ớ c a ủ m nh v ả ư n
ờ là x 6(m) và chi u r ề ng m ộ i ớ c a ủ m nh v ả ư n ờ y 3(m) Vì di n t ệ ích m nh v ả ư n ờ lúc sau không đ i ổ nên ta có phư ng t ơ rình :
x 6 y 3 6 80 2 xy 680
x 6 y 3 6 80 T ( ừ 1) và (2) ta có h ph ệ ư ng t ơ rình : xy 680 xy 680
xy 3x 6 y 18 680
680 3x 6 y 18 680 xy 680 xy 68 0 xy 680 3x 6y 18 0 x 2 y 6 x 2 y 6 2 y 6 2 y 680
2 y 6 y 680 0 1 x 2 y 6 x 2 y 6 2
Đề thi vào 10 môn Toán tỉnh Hà Nam năm 2022
574
287 lượt tải
MUA NGAY ĐỂ XEM TOÀN BỘ TÀI LIỆU
CÁCH MUA:
- B1: Gửi phí vào TK:
1133836868- CT TNHH DAU TU VA DV GD VIETJACK - Ngân hàng MB (QR) - B2: Nhắn tin tới Zalo VietJack Official ( nhấn vào đây ) để xác nhận thanh toán và tải tài liệu - giáo án
Liên hệ ngay Hotline hỗ trợ: 084 283 45 85
Đề thi được cập nhật liên tục trong gói này từ nay đến hết tháng 6/2023. Chúng tôi đảm bảo đủ số lượng đề đã cam kết hoặc có thể nhiều hơn, tất cả có BẢN WORD, LỜI GIẢI CHI TIẾT và tải về dễ dàng.
Để tải tài liệu gốc về máy bạn click vào nút Tải Xuống ở trên!
Thuộc bộ (mua theo bộ để tiết kiệm hơn):
- Tailieugiaovien.com.vn giới thiệu bộ 63 đề thi chính thức vào 10 môn Toán năm 2022 nhằm giúp Giáo viên có thêm tài liệu tham khảo đề luyện thi Toán vào 10.
- File word có lời giải chi tiết 100%.
- Mua trọn bộ sẽ tiết kiệm hơn tải lẻ 50%.
Đánh giá
4.6 / 5(574 )5
4
3
2
1
Trọng Bình
Tài liệu hay
Giúp ích cho tôi rất nhiều
Duy Trần
Tài liệu chuẩn
Rất thích tài liệu bên VJ soạn (bám sát chương trình dạy)
TÀI LIỆU BỘ BÁN CHẠY MÔN Toán Học
Xem thêmTÀI LIỆU BỘ BÁN CHẠY Ôn vào 10
Xem thêmTài liệu bộ mới nhất

Đây là bản xem thử, vui lòng mua tài liệu để xem chi ết (có lời giải)
111Equation Chapter 1 Section 1SỞ
GIÁO D C VÀ ĐÀO T OỤ Ạ
HÀ NAM
Đ CHÍNH TH C Ề Ứ
KỲ THI TUY N SINH L P 10 THPTỂ Ớ
Năm h c 2021 – 2022 ọ
Môn Toán
Th i gian làm bài : 120 phút ờ
Câu I. (2,0 đi m)ể
1. Gi i ph ng trình : ả ươ
2
7 10 0x x
2. Gi i h ph ng trình : ả ệ ươ
2 3 1
3 4 13
x y
x y
Câu II. (2,0 đi m)ể
1. Cho bi u th c ể ứ
0
1 1 1
1
1
2 2 2 2
x
A
x
x
x x
a) Rút g n bi u th c ọ ể ứ
A
b) Tìm các s nguyên ố
x
đ ể
A
đ t giá tr nguyên ạ ị
2. M t m nh v n hình ch nh t ban đ u có di n tích b ng ộ ả ườ ữ ậ ầ ệ ằ
2
680 ,m
n u tăng ế
chi u dài thêm ề
6m
và gi m chi u r ng đi ả ề ộ
3m
thì di n tích m nh v n không ệ ả ườ
thay đ i. Tính chu vi m nh v n ban đ u. ổ ả ườ ầ
Câu III. (1,5 đi m)ể
Trong m t ph ng t a đ ặ ẳ ọ ộ
,Oxy
cho parabol
P
có ph ng trình ươ
2
y x
và
đ ng th ng ườ ẳ
d
có ph ng trình ươ
2
2 1 2y m x m m m
là tham s )ố
1. Tìm t a đ các đi m thu c parabol ọ ộ ể ộ
P
có tung đ b ng 9ộ ằ
2. Ch ng minh đ ng th ng ứ ườ ẳ
d
luôn c t parabol ắ
P
t i hai đi m phân bi tạ ể ệ
, .A B
G i ọ
1 2
,y y
l n l t là tung đ c a hai đi m ầ ượ ộ ủ ể
, .A B
Tìm t t c các giá tr ấ ả ị
c a ủ
m
đ ể
1 2
4y y
Câu IV. (4,0 đi m)ể
Cho tam giác
ABC
có ba góc nh n. Đ ng tròn (O) đ ng kính ọ ườ ườ
BC
c t các ắ
c nh ạ
,AB AC
l n l t t i các đi m ầ ượ ạ ể
, ,E F E B F C
. G i ọ
H
là giao đi m c aể ủ
BF
và
CE
1. Ch ng minh t giác ứ ứ
AEHF
n i ti pộ ế
2. Ch ng minh ứ
. .AF AC AB AE
3. G i K là trung đi m c a đo n th ng ọ ể ủ ạ ẳ
.AH
Ch ng minh ứ
EBF EFK
4. T đi m ừ ể
A
k các ti p tuy n ẻ ế ế
,AM AN
c a đ ng tròn (O) (ủ ườ
,M N
là các ti p ế
đi m). Ch ng minh ba đi m ể ứ ể
, ,M H N
th ng hàng.ẳ
Câu V. (0,5 đi m)ể
Mọi thắc mắc vui lòng xin liên hệ hotline: 084 283 45 85

Đây là bản xem thử, vui lòng mua tài liệu để xem chi ết (có lời giải)
Cho
, ,a b c
là ba s d ng th a mãn ố ươ ỏ
3.a b c
Ch ng minh r ng :ứ ằ
3 3 3
2
3 3 3
a bc b ac c ab
a a bc b b ac c c ab
Mọi thắc mắc vui lòng xin liên hệ hotline: 084 283 45 85

Đây là bản xem thử, vui lòng mua tài liệu để xem chi ết (có lời giải)
ĐÁP ÁN Đ THI VÀO L P 10 MÔN TOÁN – T NH HÀ NAM 2021Ề Ớ Ỉ
Câu I.
1. Gi i ph ng trình : ả ươ
2
7 10 0x x
Ta có
2 2
7 4.10 9 3 0
nên ph ng trình đã cho có hai nghi m phân bi t ươ ệ ệ
1
2
7 3
2
2
7 3
5
2
x
x
V y ph ng trình đã cho có t p nghi m ậ ươ ậ ệ
5; 2S
2. Gi i h ph ng trình : ả ệ ươ
2 3 1
3 4 13
x y
x y
Ta có :
2 3 1
2 5 8 4 20
3 4 13 3 4 13
3 4 13
11 33 3
2 5 1
x y
x y x y
x y x y
x y
x x
y x y
V y h ph ng trình có nghi m duy nh t ậ ệ ươ ệ ấ
; 3;1x y
Câu II.
1. Cho bi u th c ể ứ
0
1 1 1
1
1
2 2 2 2
x
A
x
x
x x
a) Rút g n bi u th c ọ ể ứ
A
V i ớ
0, 1x x
ta có :
0
1 1 1
1
1
2 2 2 2
2 1
1 1 2 2 2 1
1
2 1 1 2 1 1 2 1 1
x
A
x
x
x x
x
x x x
x
x x x x x x
Mọi thắc mắc vui lòng xin liên hệ hotline: 084 283 45 85

Đây là bản xem thử, vui lòng mua tài liệu để xem chi ết (có lời giải)
V y v i ậ ớ
0, 1x x
thì
1
1
A
x
b) Tìm các s nguyên ố
x
đ ể
A
đ t giá tr nguyên ạ ị
Đ ể
A
thì
1
1x
mà
x
nên
1 1 1;1x U
1: 1 1 2 4( )
2: 1 1 0 0( )
th x x x tm
th x x x tm
V y đ ậ ể
A
thì
0;4x
2. M t m nh v n hình ch nh t ban đ u có di n tích b ng ộ ả ườ ữ ậ ầ ệ ằ
2
680 ,m
n u tăng chi u dài thêm ế ề
6m
và gi m chi u r ng đi ả ề ộ
3m
thì di n tích ệ
m nh v n không thay đ i. Tính chu vi m nh v n ban đ u. ả ườ ổ ả ườ ầ
G i chi u dài và chi u r ng c a m nh v n l n l t là ọ ề ề ộ ủ ả ườ ầ ượ
, : , 0x y m DK x y
Vì di n tích m nh v n là ệ ả ườ
2
680m
nên ta có ph ng trình ươ
680 1xy
Khi tăng chi u dài thêm 6m và gi m chi u r ng đi 3m thì di n tích chi u dài m i ề ả ề ộ ệ ề ớ
c a m nh v n là ủ ả ườ
6( )x m
và chi u r ng m i c a m nh v n ề ộ ớ ủ ả ườ
3( )y m
Vì di n tích m nh v n lúc sau không đ i nên ta có ph ng trình :ệ ả ườ ổ ươ
6 3 680 2x y
T (1) và (2) ta có h ph ng trình : ừ ệ ươ
680
6 3 680
xy
x y
2
680 680
3 6 18 680 680 3 6 18 680
680 680 680
3 6 18 0 2 6 2 6
2 6 680 0 1
2 6 680
2 6
2 6 2
xy xy
xy x y x y
xy xy xy
x y x y x y
y y
y y
x y
x y
Mọi thắc mắc vui lòng xin liên hệ hotline: 084 283 45 85

Đây là bản xem thử, vui lòng mua tài liệu để xem chi ết (có lời giải)
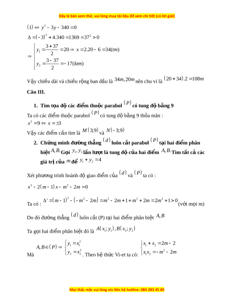
2
2
2
1
2
1 3 340 0
3 4.340 1369 37 0
3 37
20 2.20 6 34( )
2
3 37
17( )
2
y y
y x tm
y ktm
V y chi u dài và chi u r ng ban đ u là ậ ề ề ộ ầ
34 ,20m m
nên chu vi là
20 34 .2 108m
Câu III.
1. Tìm t a đ các đi m thu c parabol ọ ộ ể ộ
P
có tung đ b ng 9ộ ằ
Ta có các đi m thu c parabol ể ộ
P
có tung đ b ng 9 th a mãn :ộ ằ ỏ
2
9 3x x
V y các đi m c n tìm là ậ ể ầ
3;9M
và
3;9N
2. Ch ng minh đ ng th ng ứ ườ ẳ
d
luôn c t parabol ắ
P
t i hai đi m phân ạ ể
bi tệ
, .A B
G i ọ
1 2
,y y
l n l t là tung đ c a hai đi m ầ ượ ộ ủ ể
, .A B
Tìm t t c các ấ ả
giá tr c a ị ủ
m
đ ể
1 2
4y y
Xét ph ng trình hoành đ giao đi m c a ươ ộ ể ủ
d
và
P
ta có :
2 2
2 1 2 0x m x m m
Ta có :
2
2 2 2 2
' 1 2 2 1 2 2 1 0m m m m m m m m
(v i m i m)ớ ọ
Do đó đ ng th ng ườ ẳ
d
luôn c t (P) t i hai đi m phân bi t ắ ạ ể ệ
,A B
Ta g i hai đi m phân bi t đó là ọ ể ệ
1 1 2 2
; , ;A x y B x y
Mà
2
1 1
2
2 2
,
y x
A B P
y x
. Theo h th c Vi-et ta có: ệ ứ
1 2
2
1 2
2 2
2
x x m
x x m m
Mọi thắc mắc vui lòng xin liên hệ hotline: 084 283 45 85
