111Equation Chapter 1 KỲ THI TUY N Ể SINH VÀO L P Ớ 10 CÁC TRƯ N Ờ G THPT
Section 1SỞ GD&ĐT HÒA PTDTNT THPT T N Ỉ H, CÁC TRƯ N Ờ G PT DTNT THCS&THPT BÌNH NĂM H C 2021 – 2022 Ọ Đ Ề THI MÔN TOÁN Đ C Ề HÍNH TH C Ứ (DÀNH CHO T T Ấ C CÁ Ả C THÍ SINH) Th i
ờ gian làm bài : 120 phút Câu I. (2,0 đi m ể ) 1) Tìm đi u ki ề n xác ệ đ nh ị 5
a)A x 4
b)B x 2 2) Rút g n ọ a A b B 2 ) 75 3 ) 2 1 2 Câu II. (2,0 đi m ể ) 1) Vẽ đồ th hàm ị s :
ố y 2x 3 2) Cho phư ng t ơ rình 2
x 4x m 1 0 . Tìm m đ ph ể ư ng ơ trình có hai nghi m ệ x , x 2 2 x x 1 4 1 2 th a ỏ mãn 1 2 Câu III. (3,0 đi m ể )
1) Cho tam giác ABC vuông t i ạ , A đư ng ờ cao AH , bi t ế HB 2 c , m HC 8 cm . Tính đ dài ộ các c nh ạ AB, AC 2) M t ộ ô tô và m t ộ xe máy kh i ở hành cùng m t ộ lúc t hai ừ t nh cách nhau ỉ 200km, đi ngư c ợ chi u và g ề p ặ nhau sau 2 gi . ờ Tìm v n t ậ ốc c a ủ ô tô và xe máy, bi t ế r ng n ằ u ế v n t ậ ốc c a ô t ủ
ô tăng thêm 10km / h và v n ậ tốc c a xe m ủ áy gi m ả đi 5km / h thì v n ậ tốc c a ủ ô tô b ng 2 l ằ n v ầ n t ậ ốc c a ủ xe máy. 3
x 6 7 y 5 27
x 6 2 y 5 8 3) Gi i ả h ph ệ ư ng t ơ rình : Câu IV. (2,0 đi m ể )
Cho hình vuông ABCD, các đi m
ể M , N thay đổi trên các c nh
ạ BC,CD sao cho M AN 4
5 M , N không trùng v i ớ các đ nh c ỉ a ủ hình vuông). G i
ọ P,Q lần lư t ợ là giao đi m ể c a ủ AM , AN v i ớ B . D Ch ng m ứ inh r ng : ằ 1) T gi
ứ ác ABMQ và tứ giác MNQP là các t gi ứ ác n i ộ ti p ế
2) NA là phân giác c a ủ M ND 3) MN ti p xúc v ế i ớ m t ộ đư ng t ờ ròn c đ ố nh ị Câu V. (1,0 đi m ể )
1) Cho a b 0 . Hãy so sánh a 2 a v i
ớ b 2 b
2) Cho x, y là các số th c ự dư ng t ơ h a
ỏ mãn : x 3y 1 0 1 27 10 Ch ng ứ minh r ng : ằ x 3y
ĐÁP ÁN Đ
Ề THI VÀO 10 MON TOÁN – T N Ỉ H HÒA BÌNH 2021 Câu I. 1) Tìm đi u ki ề n xác đ ệ n ị h
a) A x 4 Bi u ể th c
ứ A x 4 xác định khi và ch khi ỉ x 4 0 x 4 V y
ậ A x 4 xác định khi và chỉ khi x 4 5 B b) x 2 5 B Bi u ể th c ứ
x 2 xác định khi và ch khi ỉ x 2 0 x 2 5 B V y ậ
x 2 xác định khi và chỉ khi x 2 2) Rút g n ọ a)A 75 3
Ta có : A 75 3 5 3 3 4 3 V y ậ A 4 3 b B 2 ) 2 1 2 . Ta có : B 2
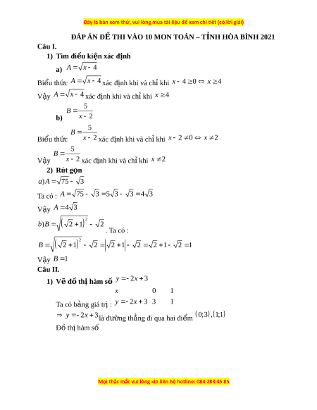
2 1 2 2 1 2 2 1 2 1 V y ậ B 1 Câu II. 1) V đ ẽ ồ th hàm ị
số y 2x 3 x 0 1 Ta có b ng ả giá tr :
ị y 2x 3 3 1
y 2x 3 là đư ng ờ th ng đi ẳ qua hai đi m ể 0;3 ,1; 1 Đồ thị hàm số
2) Cho phư ng t ơ rình 2
x 4x m 1 0
. Tìm m đ ph ể ư ng t ơ rình có 2 nghi m ệ x , x 2 2 x x 1 4 1 2 th a m ỏ ãn 1 2 2 Phư ng ơ trình 2
x 4x m 1 0 có ' 2 m 1 5 m Để phư ng t ơ rình 2
x 4x m 1 0
có hai nghiệm x ; x 1 2 thì ' 0 5 m 0 m 5 x x 4 1 2 Khi đó , áp d ng ụ đ nh l ị ý Vi-et, ta có : x x m 1 1 2 . Ta có : x x 14
x x 2 2 2 2 2x x 14 4 2 m 1 1 4 1 2 1 2 1 2 2 m 1 2 m 1 1 m 2( tm) V y ậ m 2
Đề thi vào 10 môn Toán tỉnh Hòa Bình 2 năm 2022
557
279 lượt tải
MUA NGAY ĐỂ XEM TOÀN BỘ TÀI LIỆU
CÁCH MUA:
- B1: Gửi phí vào TK:
1133836868- CT TNHH DAU TU VA DV GD VIETJACK - Ngân hàng MB (QR) - B2: Nhắn tin tới Zalo VietJack Official ( nhấn vào đây ) để xác nhận thanh toán và tải tài liệu - giáo án
Liên hệ ngay Hotline hỗ trợ: 084 283 45 85
Đề thi được cập nhật liên tục trong gói này từ nay đến hết tháng 6/2023. Chúng tôi đảm bảo đủ số lượng đề đã cam kết hoặc có thể nhiều hơn, tất cả có BẢN WORD, LỜI GIẢI CHI TIẾT và tải về dễ dàng.
Để tải tài liệu gốc về máy bạn click vào nút Tải Xuống ở trên!
Thuộc bộ (mua theo bộ để tiết kiệm hơn):
- Tailieugiaovien.com.vn giới thiệu bộ 63 đề thi chính thức vào 10 môn Toán năm 2022 nhằm giúp Giáo viên có thêm tài liệu tham khảo đề luyện thi Toán vào 10.
- File word có lời giải chi tiết 100%.
- Mua trọn bộ sẽ tiết kiệm hơn tải lẻ 50%.
Đánh giá
4.6 / 5(557 )5
4
3
2
1
Trọng Bình
Tài liệu hay
Giúp ích cho tôi rất nhiều
Duy Trần
Tài liệu chuẩn
Rất thích tài liệu bên VJ soạn (bám sát chương trình dạy)
TÀI LIỆU BỘ BÁN CHẠY MÔN Toán Học
Xem thêmTÀI LIỆU BỘ BÁN CHẠY Ôn vào 10
Xem thêmTài liệu bộ mới nhất

Đây là bản xem thử, vui lòng mua tài liệu để xem chi ết (có lời giải)
111Equation Chapter 1
Section 1S GD&ĐT HÒAỞ
BÌNH
Đ CHÍNH TH C Ề Ứ
KỲ THI TUY N SINH VÀO L P 10 CÁC TR NG THPTỂ Ớ ƯỜ
PTDTNT THPT T NH, CÁC TR NG PT DTNT THCS&THPTỈ ƯỜ
NĂM H C 2021 – 2022Ọ
Đ THI MÔN TOÁN Ề
(DÀNH CHO T T C CÁC THÍ SINH)Ấ Ả
Th i gian làm bài : 120 phút ờ
Câu I. (2,0 đi m)ể
1) Tìm đi u ki n xác đ nh ề ệ ị
5
) 4 )
2
a A x b B
x
2) Rút g n ọ
2
) 75 3 ) 2 1 2a A b B
Câu II. (2,0 đi m)ể
1) V đ th hàm s : ẽ ồ ị ố
2 3y x
2) Cho ph ng trình ươ
2
4 1 0.x x m
Tìm
m
đ ph ng trình có hai nghi mể ươ ệ
1 2
,x x
th a mãn ỏ
2 2
1 2
14x x
Câu III. (3,0 đi m)ể
1) Cho tam giác
ABC
vuông t i ạ
,A
đ ng cao ườ
,AH
bi t ế
2 , 8HB cm HC cm
.
Tính đ dài các c nh ộ ạ
,AB AC
2) M t ô tô và m t xe máy kh i hành cùng m t lúc t hai t nh cách nhau ộ ộ ở ộ ừ ỉ
200 ,km
đi ng c chi u và g p nhau sau ượ ề ặ
2
gi . Tìm v n t c c a ô tô và xe máy, bi t ờ ậ ố ủ ế
r ng n u v n t c c a ô tô tăng thêm ằ ế ậ ố ủ
10 /km h
và v n t c c a xe máy gi m điậ ố ủ ả
5 /km h
thì v n t c c a ô tô b ng 2 l n v n t c c a xe máy.ậ ố ủ ằ ầ ậ ố ủ
3) Gi i h ph ng trình : ả ệ ươ
3 6 7 5 27
6 2 5 8
x y
x y
Câu IV. (2,0 đi m)ể
Cho hình vuông
,ABCD
các đi m ể
,M N
thay đ i trên các c nh ổ ạ
,BC CD
sao cho
45 ,MAN M N
không trùng v i các đ nh c a hình vuông). G i ớ ỉ ủ ọ
,P Q
l n l t là ầ ượ
giao đi m c a ể ủ
,AM AN
v i ớ
.BD
Ch ng minh r ng :ứ ằ
1) T giác ứ
ABMQ
và t giác ứ
MNQP
là các t giác n i ti pứ ộ ế
2)
NA
là phân giác c a ủ
MND
3)
MN
ti p xúc v i m t đ ng tròn c đ nhế ớ ộ ườ ố ị
Câu V. (1,0 đi m)ể
1) Cho
0a b
. Hãy so sánh
2a a
v i ớ
2b b
Mọi thắc mắc vui lòng xin liên hệ hotline: 084 283 45 85

Đây là bản xem thử, vui lòng mua tài liệu để xem chi ết (có lời giải)
2) Cho
,x y
là các s th c d ng th a mãn ố ự ươ ỏ
: 3 10x y
Ch ng minh r ng : ứ ằ
1 27
10
3x y
Mọi thắc mắc vui lòng xin liên hệ hotline: 084 283 45 85

Đây là bản xem thử, vui lòng mua tài liệu để xem chi ết (có lời giải)
ĐÁP ÁN Đ THI VÀO 10 MON TOÁN – T NH HÒA BÌNH 2021Ề Ỉ
Câu I.
1) Tìm đi u ki n xác đ nh ề ệ ị
a)
4A x
Bi u th c ể ứ
4A x
xác đ nh khi và ch khi ị ỉ
4 0 4x x
V y ậ
4A x
xác đ nh khi và ch khi ị ỉ
4x
b)
5
2
B
x
Bi u th c ể ứ
5
2
B
x
xác đ nh khi và ch khi ị ỉ
2 0 2x x
V y ậ
5
2
B
x
xác đ nh khi và ch khi ị ỉ
2x
2) Rút g n ọ
) 75 3a A
Ta có :
75 3 5 3 3 4 3A
V y ậ
4 3A
2
) 2 1 2b B
. Ta có :
2
2 1 2 2 1 2 2 1 2 1B
V y ậ
1B
Câu II.
1) V đ th hàm s ẽ ồ ị ố
2 3y x
Ta có b ng giá tr : ả ị
0 1
2 3 3 1
x
y x
2 3y x
là đ ng th ng đi qua hai đi m ườ ẳ ể
0;3 , 1;1
Đ th hàm sồ ị ố
Mọi thắc mắc vui lòng xin liên hệ hotline: 084 283 45 85

Đây là bản xem thử, vui lòng mua tài liệu để xem chi ết (có lời giải)
2) Cho ph ng trình ươ
2
4 1 0.x x m
Tìm
m
đ ph ng trình có 2 nghi mể ươ ệ
1 2
,x x
th a mãn ỏ
2 2
1 2
14x x
Ph ng trình ươ
2
4 1 0x x m
có
2
' 2 1 5m m
Đ ph ng trình ể ươ
2
4 1 0x x m
có hai nghi m ệ
1 2
;x x
thì
' 0 5 0 5m m
Khi đó , áp d ng đ nh lý Vi-et, ta có : ụ ị
1 2
1 2
4
1
x x
x x m
. Ta có :
2
2 2 2
1 2 1 2 1 2
14 2 14 4 2 1 14
2 1 2 1 1 2( )
x x x x x x m
m m m tm
V y ậ
2m
Mọi thắc mắc vui lòng xin liên hệ hotline: 084 283 45 85

Đây là bản xem thử, vui lòng mua tài liệu để xem chi ết (có lời giải)
Câu III.
1) Cho tam giác
ABC
vuông t i ạ
,A
đ ng cao ườ
,AH
bi t ế
2 , 8HB cm HC cm
.
Tính đ dài các c nh ộ ạ
,AB AC
Áp d ng h th c l ng trong tam giác vuông ụ ệ ứ ượ
,ABC
đ ng cao ườ
AH
ta có :
2
. 2.8 16 16 4AH HB HC AH cm
Áp d ng đ nh lý Pytago trong tam giác vuông ụ ị
ABH
ta có :
2 2 2 2 2 2
4 2 20 20 2 5AB AH HB AB AC cm
Áp d ng đ nh lý Pytago trong tam giác vuông ụ ị
ACH
ta có :
2 2 2 2 2
4 8 80 80 4 5( )AC AH HC AC cm
V y ậ
2 5 , 4 5AB cm AC cm
2) M t ô tô và m t xe máy kh i hành cùng m t lúc t hai t nh cách nhauộ ộ ở ộ ừ ỉ
200 ,km
đi ng c chi u và g p nhau sau ượ ề ặ
2
gi . Tìm v n t c c a ô tô và xe ờ ậ ố ủ
máy, bi t r ng n u v n t c c a ô tô tăng thêm ế ằ ế ậ ố ủ
10 /km h
và v n t c c a xe ậ ố ủ
máy gi m đi ả
5 /km h
thì v n t c c a ô tô b ng 2 l n v n t c c a xe máy.ậ ố ủ ằ ầ ậ ố ủ
G i v n t c c a ô tô và v n t c c a xe máy l n l t là ọ ậ ố ủ ậ ố ủ ầ ượ
, / , 0x y km h x y
Sau 2 gi ô tô đi đ c quãng đ ng : ờ ượ ườ
2x km
Sau 2 gi xe máy đi đ c quãng đ ng : ờ ượ ườ
2y km
Mọi thắc mắc vui lòng xin liên hệ hotline: 084 283 45 85
