UBND T N Ỉ H KON TUM KỲ THI TUY N Ể SINH L P Ớ 10 SỞ GIÁO D C Ụ VÀ ĐÀO T O Ạ Trư n
ờ g THPT chuyên Nguy n ễ T t ấ Thành Năm h c ọ 2021 – 2022 Đ Ề THI CHÍNH TH C Ứ Môn : TOÁN (chung) Ngày thi: 21/6/2021 Th i
ờ gian: 120 phút (không k gi ể ao đ ) ề Câu 1.(2,0 đi m ể ) 1. Không dùng máy tính c m ầ tay, tính giá tr c ị a ủ bi u t ể h c : ứ A 2 2 4 8 32 2. Tìm m đ đ ể ồ th hàm ị số y 2m
1 x m 4 đi qua đi m ể I 2;3 Câu 2. 3 x 2 y 10 1. Không dùng máy tính c m ầ tay, gi i ả h ph ệ ư ng
ơ trình : 2x 3y 2 2 2. Cho phư ng t ơ
rình x 2 m 1 x m 0 1 m là tham số) a. Gi i ả phư ng t ơ rình (1) khi m 3 2 2 b. Tìm m đ ph ể ư ng t ơ rình
1 có hai nghiệm x ,x x x x x 4 1 2 th a m ỏ ãn 1 2 1 2 Câu 3.(1,5 đi m ể ) Để khuy n khí ế ch ngư i ờ lao đ ng s ộ d ử ng c ụ ồn sát khu n r ẩ a t ử ay phòng
dịch Covid-19. Công ty A đã gi m ả giá m t ặ hàng này hai l n l ầ iên ti p t ế rong m t ộ th i ờ gian ng n, ắ l n 1 gi ầ m
ả 10% giá bán ban đầu, lần 2 gi m ả ti p ế 15% giá đang bán. Do đó m t ặ hàng này đ n t ế ay ngư i ờ tiêu dùng v i
ớ giá là 15300 đồng/ 1 chai s n ph ả ẩm. H i
ỏ ban đầu công ty A bán 1 chai s n ph ả m ẩ này giá bao nhiêu Câu 4.(2,0 đi m ể )
Cho tam giác ABC có ba góc nh n, ọ n i ộ ti p đ ế ư ng t ờ ròn tâm O. K các ẻ đư ng
ờ cao BH ,CK (H n m
ằ trên AC, K n m ằ trên AB) 1) Ch ng ứ minh t gi ứ ác BCHK n i ộ ti p và ế
AH.AC AK.AB 2) Ch ng
ứ minh OA HK Câu 5.(1,0 đi m ể ) Cho đư ng t ờ
ròn C tâm O bán kính R 5
cm , vẽ dây cung AB c a đ ủ ư ng ờ
tròn C sao cho kho ng cách ả t t ừ âm O t i
ớ AB là 3cm. Tính di n t ệ ích hình ch ữ nh t ậ n i ộ ti p đ ế ư ng t ờ ròn O có m t ộ c nh ạ là dây cung AB Câu 6.(0,5 đi m ể )
Cho a,b là hai số th c t ự h a
ỏ mãn a b 2 .Ch ng m ứ inh r ng ằ 4 4 3 3 a b a b
ĐÁP ÁN Đ Ề THI VÀO L P
Ớ 10 CHUYÊN NĂM 2021 T N
Ỉ H KON TUM MÔN TOÁN CHUNG Câu 1.
1. Không dùng máy tính c m
ầ tay, tính giá tr c ị a bi ủ u t ể h c ứ A 2 2 4 8 32 Ta có : A 2 2 4 8 32 2 2 4. 4.2 16.2 2 2 8 2 4 2 6 2 V y ậ A 6 2
2. Tìm m đ đ ể t ồ h hà ị m s ố y 2m
1 x m 4đi qua đi m ể I 2;3
Đồ thị hàm số đi qua đi m
ể I 2;3 khi và chỉ khi : 2m 1 .2 m 4 3
4m 2 m 4 3 3m 9 m 3 V y ậ v i ớ m 3 thì đồ th hàm ị s ố y 2m
1 x m 4đi qua đi m ể I 2;3 Câu 2. 3 x 2 y 10
1. Không dùng máy tính c m ầ tay, gi i ả h ph ệ ư ng
ơ trình : 2x 3y 2 Ta có: 1 3x 26 3 x 2 y 10 9 x 6 y 30 x 2 2x 2
2x 3y 2
4x 6y 4 y y 2 3 V y ậ h ph ệ ư ng t ơ rình có nghi m ệ duy nh t ấ ; x y 2;2 2 2. Cho phư ng t ơ
rình x 2 m 1 x m 0
1 m là tham s ) ố a) Giải phư ng t ơ
rình (1) khi m 3 Thay m 3 vào phư ng t ơ rình (1) ta đư c ợ :
2 x 2 2 3 1 x 3 0
x 4x 3 0 x 1 c x 3
Vì a b c 1 4 3 0 nên phư ng ơ trình có hai nghi m ệ phân bi t ệ a V y ậ v i ớ m 3 , phư ng ơ trình có t p ậ nghi m ệ là S 1; 3 b)
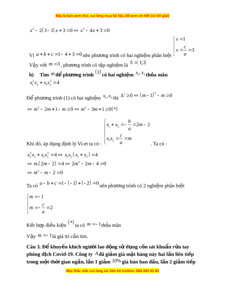
Tìm m đ ph ể ư ng t ơ rình 1 có hai nghi m ệ x , x 1 2 th a m ỏ ãn 2 2 x x x x 4 1 2 1 2 Để phư ng t ơ rình (1) có hai nghi m ệ x , x m m 1 2 thì 2 ' 0 1 0 2 2
m 2m 1 m 0
m 3m 1 0 * b x x 2 m 2 1 2 a c x x m 1 2 Khi đó, áp d ng ụ đ nh l ị ý Vi-et ta có : a . Ta có : 2 2 x x x x 4
x x x x 4 1 2 1 2 1 2 1 2 .
m 2m 2 2 4
2m 2m 4 0 2
m m 2 0
Ta có a b c 1 1 2 0 nên phư ng ơ trình có 2 nghi m ệ phân bi t ệ m 1 c m 2 a K t ế h p ợ đi u ki ề n
ệ * ta có m 1th a ỏ mãn V y
ậ m 1là giá tri c n t ầ ìm. Câu 3. Đ khuy ể n kh ế ích ngư i ờ lao đ ng s ộ d ử ng c ụ n s ồ át khu n r ẩ a t ử ay phòng d ch C ị
ovid-19. Công ty A đã giảm giá m t
ặ hàng này hai l n l ầ iên ti p ế trong m t ộ th i ờ gian ng n, l ắ n 1 gi ầ m
ả 10% giá bán ban đ u, l ầ n 2 gi ầ m ả ti p ế
15% giá đang bán. Do đó m t ặ hàng này đ n t ế ay ngư i ờ tiêu dùng v i ớ giá là 15300 đ ng/ ồ 1 chai s n ph ả m ẩ . H i ỏ ban đ u công t ầ y A bán 1 chai s n ả ph m ẩ này giá bao nhiêu G i ọ giá bán ban đ u c ầ a 1 chai ủ c n s ồ át khu n l
ẩ à x (đồng ) x 0 Sau lần th nh ứ t ấ gi m ả giá thì giá bán c a
ủ 1 chai là x 10%x 0 ,9x (đồng) Sau lần th hai ứ gi m
ả giá thì giá bán c a 1 chai ủ là : 0,9x 0,9 . x 15%
0,9 0,9.15% x 0 ,765x (đồng) Vì sau hai l n gi ầ m ả giá thì giá c a ủ 1 chai sát khu n có gi ẩ á là 15300 đồng nên ta có phư ng ơ trình : 0,765x 1 5300 x 2 0000 (đồng) V y ậ ban đ u công t ầ y A bán 1 chai s n ả ph m ẩ sát khu n v ẩ i ớ giá 20 000 đ ng ồ Câu 4.
Đề thi vào 10 môn Toán tỉnh Kon Tum năm 2022
567
284 lượt tải
MUA NGAY ĐỂ XEM TOÀN BỘ TÀI LIỆU
CÁCH MUA:
- B1: Gửi phí vào TK:
1133836868- CT TNHH DAU TU VA DV GD VIETJACK - Ngân hàng MB (QR) - B2: Nhắn tin tới Zalo VietJack Official ( nhấn vào đây ) để xác nhận thanh toán và tải tài liệu - giáo án
Liên hệ ngay Hotline hỗ trợ: 084 283 45 85
Đề thi được cập nhật liên tục trong gói này từ nay đến hết tháng 6/2023. Chúng tôi đảm bảo đủ số lượng đề đã cam kết hoặc có thể nhiều hơn, tất cả có BẢN WORD, LỜI GIẢI CHI TIẾT và tải về dễ dàng.
Để tải tài liệu gốc về máy bạn click vào nút Tải Xuống ở trên!
Thuộc bộ (mua theo bộ để tiết kiệm hơn):
- Tailieugiaovien.com.vn giới thiệu bộ 63 đề thi chính thức vào 10 môn Toán năm 2022 nhằm giúp Giáo viên có thêm tài liệu tham khảo đề luyện thi Toán vào 10.
- File word có lời giải chi tiết 100%.
- Mua trọn bộ sẽ tiết kiệm hơn tải lẻ 50%.
Đánh giá
4.6 / 5(567 )5
4
3
2
1
Trọng Bình
Tài liệu hay
Giúp ích cho tôi rất nhiều
Duy Trần
Tài liệu chuẩn
Rất thích tài liệu bên VJ soạn (bám sát chương trình dạy)
TÀI LIỆU BỘ BÁN CHẠY MÔN Toán Học
Xem thêmTÀI LIỆU BỘ BÁN CHẠY Ôn vào 10
Xem thêmTài liệu bộ mới nhất

Đây là bản xem thử, vui lòng mua tài liệu để xem chi ết (có lời giải)
UBND T NH KON TUMỈ
S GIÁO D C VÀ ĐÀO T OỞ Ụ Ạ
Đ THI CHÍNH TH C Ề Ứ
KỲ THI TUY N SINH L P 10Ể Ớ
Tr ng THPT chuyên Nguy n T t Thànhườ ễ ấ
Năm h c 2021 – 2022 ọ
Môn : TOÁN (chung)
Ngày thi: 21/6/2021
Th i gian: 120 phút (không k giao đ )ờ ể ề
Câu 1.(2,0 đi m)ể
1. Không dùng máy tính c m tay, tính giá tr c a bi u th c :ầ ị ủ ể ứ
2 2 4 8 32A
2. Tìm
m
đ đ th hàm s ể ồ ị ố
2 1 4y m x m
đi qua đi m ể
2;3I
Câu 2.
1. Không dùng máy tính c m tay, gi i h ph ng trình : ầ ả ệ ươ
3 2 10
2 3 2
x y
x y
2. Cho ph ng trình ươ
2
2 1 0 1x m x m m
là tham s )ố
a. Gi i ph ng trình (1) khi ả ươ
3m
b. Tìm
m
đ ph ng trình ể ươ
1
có hai nghi m ệ
1 2
,x x
th a mãn ỏ
2 2
1 2 1 2
4x x x x
Câu 3.(1,5 đi m) ể
Đ khuy n khích ng i lao đ ng s d ng c n sát khu n r a tay phòng ể ế ườ ộ ử ụ ồ ẩ ử
d ch Covid-19. Công ty ị
A
đã gi m giá m t hàng này hai l n liên ti p trong m t ả ặ ầ ế ộ
th i gian ng n, l n 1 gi m ờ ắ ầ ả
10%
giá bán ban đ u, l n 2 gi m ti p ầ ầ ả ế
15%
giá đang
bán. Do đó m t hàng này đ n tay ng i tiêu dùng v i giá là ặ ế ườ ớ
15300
đ ng/ 1 chai ồ
s n ph m. H i ban đ u công ty A bán 1 chai s n ph m này giá bao nhiêu ả ẩ ỏ ầ ả ẩ
Câu 4.(2,0 đi m)ể
Cho tam giác
ABC
có ba góc nh n, n i ti p đ ng tròn tâm O. K các ọ ộ ế ườ ẻ
đ ng cao ườ
,BH CK
(H n m trên ằ
,AC K
n m trên ằ
)AB
1) Ch ng minh t giác ứ ứ
BCHK
n i ti p và ộ ế
. .AH AC AK AB
2) Ch ng minh ứ
OA HK
Câu 5.(1,0 đi m)ể
Cho đ ng tròn ườ
C
tâm O bán kính
5R cm
, v dây cung ẽ
AB
c a đ ng ủ ườ
tròn
C
sao cho kho ng cách t tâm O t i ả ừ ớ
AB
là 3cm. Tính di n tích hình ch ệ ữ
nh t n i ti p đ ng tròn ậ ộ ế ườ
O
có m t c nh là dây cung ộ ạ
AB
Câu 6.(0,5 đi m)ể
Cho
,a b
là hai s th c th a mãn ố ự ỏ
2.a b
Ch ng minh r ngứ ằ
4 4 3 3
a b a b
Mọi thắc mắc vui lòng xin liên hệ hotline: 084 283 45 85

Đây là bản xem thử, vui lòng mua tài liệu để xem chi ết (có lời giải)
ĐÁP ÁN Đ THI VÀO L P 10 CHUYÊN NĂM 2021 Ề Ớ
T NH KON TUM MÔN TOÁN CHUNGỈ
Câu 1.
1. Không dùng máy tính c m tay, tính giá tr c a bi u th cầ ị ủ ể ứ
2 2 4 8 32A
Ta có :
2 2 4 8 32 2 2 4. 4.2 16.2
2 2 8 2 4 2 6 2
A
V y ậ
6 2A
2. Tìm
m
đ đ th hàm s ể ồ ị ố
2 1 4y m x m
đi qua đi m ể
2;3I
Đ th hàm s đi qua đi m ồ ị ố ể
2;3I
khi và ch khi :ỉ
2 1 .2 4 3 4 2 4 3 3 9 3m m m m m m
V y v i ậ ớ
3m
thì đ th hàm s ồ ị ố
2 1 4y m x m
đi qua đi m ể
2;3I
Câu 2.
1. Không dùng máy tính c m tay, gi i h ph ng trình : ầ ả ệ ươ
3 2 10
2 3 2
x y
x y
Ta có:
13 26
3 2 10 9 6 30 2
2 2
2 3 2 4 6 4 2
3
x
x y x y x
x
x y x y y
y
V y h ph ng trình có nghi m duy nh t ậ ệ ươ ệ ấ
; 2;2x y
2. Cho ph ng trình ươ
2
2 1 0 1x m x m m
là tham s )ố
a) Gi i ph ng trình (1) khi ả ươ
3m
Thay
3m
vào ph ng trình (1) ta đ c : ươ ượ
Mọi thắc mắc vui lòng xin liên hệ hotline: 084 283 45 85

Đây là bản xem thử, vui lòng mua tài liệu để xem chi ết (có lời giải)
2 2
2 3 1 3 0 4 3 0x x x x
Vì
1 4 3 0a b c
nên ph ng trình có hai nghi m phân bi t ươ ệ ệ
1
3
x
c
x
a
V y v i ậ ớ
3m
, ph ng trình có t p nghi m là ươ ậ ệ
1;3S
b) Tìm
m
đ ph ng trình ể ươ
1
có hai nghi m ệ
1 2
,x x
th a mãnỏ
2 2
1 2 1 2
4x x x x
Đ ph ng trình (1) có hai nghi m ể ươ ệ
1 2
,x x
thì
2
' 0 1 0m m
2 2
2 1 0 3 1 0 *m m m m m
Khi đó, áp d ng đ nh lý Vi-et ta có : ụ ị
1 2
1 2
2 2
b
x x m
a
c
x x m
a
. Ta có :
2 2
1 2 1 2 1 2 1 2
2
2
4 4
. 2 2 4 2 2 4 0
2 0
x x x x x x x x
m m m m
m m
Ta có
1 1 2 0a b c
nên ph ng trình có 2 nghi m phân bi t ươ ệ ệ
1
2
m
c
m
a
K t h p đi u ki n ế ợ ề ệ
*
ta có
1m
th a mãnỏ
V y ậ
1m
là giá tri c n tìm.ầ
Câu 3. Đ khuy n khích ng i lao đ ng s d ng c n sát khu n r a tay ể ế ườ ộ ử ụ ồ ẩ ử
phòng d ch Covid-19. Công ty ị
A
đã gi m giá m t hàng này hai l n liên ti p ả ặ ầ ế
trong m t th i gian ng n, l n 1 gi m ộ ờ ắ ầ ả
10%
giá bán ban đ u, l n 2 gi m ti pầ ầ ả ế
Mọi thắc mắc vui lòng xin liên hệ hotline: 084 283 45 85

Đây là bản xem thử, vui lòng mua tài liệu để xem chi ết (có lời giải)
15%
giá đang bán. Do đó m t hàng này đ n tay ng i tiêu dùng v i giá làặ ế ườ ớ
15300
đ ng/ 1 chai s n ph m. H i ban đ u công ty A bán 1 chai s n ph m ồ ả ẩ ỏ ầ ả ẩ
này giá bao nhiêu
G i giá bán ban đ u c a 1 chai c n sát khu n là ọ ầ ủ ồ ẩ
x
(đ ng ) ồ
0x
Sau l n th nh t gi m giá thì giá bán c a 1 chai là ầ ứ ấ ả ủ
10% 0,9x x x
(đ ng)ồ
Sau l n th hai gi m giá thì giá bán c a 1 chai là :ầ ứ ả ủ
0,9 0,9 .15% 0,9 0,9.15% 0,765x x x x
(đ ng)ồ
Vì sau hai l n gi m giá thì giá c a 1 chai sát khu n có giá là ầ ả ủ ẩ
15300
đ ng nên ta ồ
có ph ng trình : ươ
0,765 15300 20000x x
(đ ng)ồ
V y ban đ u công ty A bán 1 chai s n ph m sát khu n v i giá 20 000 đ ng ậ ầ ả ẩ ẩ ớ ồ
Câu 4.
Mọi thắc mắc vui lòng xin liên hệ hotline: 084 283 45 85

Đây là bản xem thử, vui lòng mua tài liệu để xem chi ết (có lời giải)
1) Ch ng minh t giác ứ ứ
BCHK
n i ti p và ộ ế
. .AH AC AK AB
Vì
,BH CK
là các đ ng cao c a ườ ủ
ABC
nên
90
BH AC
BHC BKC
CK AB
Xét t giác ứ
BCHK
có
90BHC BKC
nên
BCHK
là t giác n i ti p (t ứ ộ ế ứ
giác có hai đ nh k cùng nhìn 1 c nh d i các góc b ng nhau)ỉ ề ạ ướ ằ
AHK ABC
(góc ngoài và góc trong t i đ nh đ i di n c a t giác n i ạ ỉ ố ệ ủ ứ ộ
ti p)ế
Xét
AHK
và
ABC
có
,BAC chung AHK ABC cmt
( . )
AH AK
AHK ABC g g
AB AC
∽
(2 c p c nh t ng ng t l )ặ ạ ươ ứ ỉ ệ
. . ( )AH AC AK AB dfcm
2) Ch ng minh ứ
OA HK
K ti p tuy n ẻ ế ế
Ax
c a (O)ủ
Mọi thắc mắc vui lòng xin liên hệ hotline: 084 283 45 85
