SỞ GIÁO D C Ụ VÀ ĐÀO T O Ạ Đ Ề THI TUY N Ể SINH VÀO L P Ớ 10 NAM Đ N Ị H 111Equation TRƯ N
Ờ G THPT CHUYÊN LÊ H N Ồ G PHONG Chapter 1 Section 1 NĂM H C Ọ 2020-2021
Môn thi: Toán chung – Đ 2 ề Dành cho h c ọ sinh vào các l p ớ chuyên xã hôi Th i
ờ gian làm bài :120 phút Câu 1. (2,0 đi m ể ) 1 P 1) Tìm đi u ki ề n xác ệ đ nh c ị a bi ủ u t ể h c ứ 8x 1 2) Tìm t t ấ cả các giá tr c ị a t ủ ham s ố m đ đ ể ư ng ờ th ng ẳ y m x 1 m 0 và đư ng ờ th ng ẳ y 9 x 2 song song 3) Tính chi u cao c ề a
ủ tam giác ABC đ u c ề nh b ạ ng ằ 2 3cm 4) Tính th t ể ích c a hì ủ nh nón có chi u ề cao b ng ằ
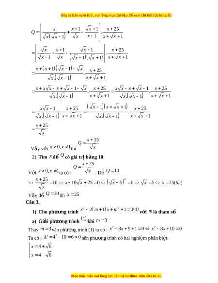
4cm và bán kính đáy 3cm Câu 2. (1,5 đi m ể ) Cho bi u t ể h c ứ x x 1
x 1 x 25 x 0 Q . x. x 1 x
x 1 x x 1 x 1 1) Rút g n bi ọ u t ể h c ứ Q 2) Tìm x đ
ể Q có giá trị b ng ằ 10 Câu 3. (2,5 đi m ể ) 2 2 1) Cho phư ng t ơ
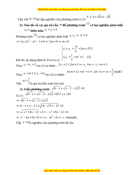
rình x 2 m 1 x m 1 0 1 v i ớ m là tham số a) Gi i ả phư ng t ơ rình 1 khi m 3 b) Tìm t t ấ cả các giá tr c ị a ủ m đ ph ể ư ng ơ trình (1) có hai nghi m ệ phân bi t ệ x ; x 1 2 th a
ỏ mãn x x 2 1 2 2) Gi i ả phư ng t ơ
rình : 6 x x 2 2 2 0 Câu 4. (3,0 đi m
ể ) Cho tam giác nh n
ọ ABC AB AC n i ộ ti p đ ế ư ng t ờ ròn tâm O đư ng ờ kính A . P Các đư ng cao ờ BE,CF c t ắ nhau t i ạ H 1) Ch ng ứ minh r ng t ằ gi ứ ác BCEF n i ộ ti p và ế
AE.AC AF.AB 2) G i
ọ K, I lần lư t ợ là trung đi m ể c a
ủ EF và AH.Ch ng m ứ
inh AP EF và AP / /IK 3) G i ọ M là giao đi m ể c a
ủ IK và BC.N là giao đi m ể c a ủ MH v i ớ cung nh ỏ AC c a ủ đư ng
ờ tròn O .Ch ng ứ minh r ng ằ M là trung đi m ể c a ủ đo n ạ BC và H MC H AN Câu 5. (1,0 đi m ể )
2 x 3y 2 3 y x 2 2 2 1) Gi i ả h ph ệ ư ng t ơ
rình : y x 2x 0
2) Cho x, y, z là các số dư ng t ơ h a m ỏ ãn xyz 1 . Ch ng ứ minh r ng : ằ 2 2 2 x y z x y z 2 yz xz xy y z z x x y ĐÁP ÁN Đ
Ề THI VÀO 10 CHUNG 2021 NAM Đ N Ị H TOÁN CHUNG CÁC L P Ớ XÃ H I Ộ Câu 1. 1 P 1) Tìm đi u ki ề n xác đ ệ n ị h c a bi ủ u t ể h c ứ 8x 1 1 P 1
8x 1 0 x Bi u ể th c ứ
8x 1 xác định khi và ch khi ỉ 8 1 1 x P V y ậ v i ớ 8 thì bi u t ể h c ứ 8x 1 xác định 2) Tìm t t ấ cả các giá tr c ị a t ủ ham s
ố m đ đ ể ư ng t ờ hẳng y m
x 1 m 0 và đư ng t ờ hẳng y 9
x 2 song song m 9( tmdk ) Để y m x 1song song v i ớ đư ng t ờ h ng ẳ y 9
x 2 khi và chỉ khi 1 2( luon dung) . V y ậ m 9 3) Tính chi u cao c ề a t ủ am giác đ u c ề nh b ạ ng ằ 2 3cm
Kẻ AH BC H BC . Vì tam giác ABC đ u có ề AH là đư ng
ờ cao nên AH đồng th i ờ là 1 1
HB BC .2 3 3 cm đư ng ờ trung tuy n ế 2 2
Tam giác AHB vuông t i ạ H có : 2 2 2
AB AH BH (Định lý Pytago)
AH AB HB 2 2 2 2 2 3 3 9 3 cm V y ậ chi u cao c ề a ủ tam giác đ u ề ABC có c nh ạ 2 3cm là AH 3 cm 4) Tính th t ể ích c a hì ủ nh nón có chi u cao b ề ng ằ
4cm và bán kính đáy 3cm Th t ể ích c a hì ủ nh nón có chi u cao ề h 4
cm và bán kính đáy R 3 cm là : 1 1 2 2
V R h ..3 .4 1 2 3 cm 3 3 Câu 2. 1) Rút g n bi ọ u t ể h c Q ứ V i ớ x 0, x 1 ta có :
x x 1 x 1 x 25 Q . x x 1 x
x 1 x x 1 x x 1 x 1 x 25 . x 1 x
x 1 x 1 x x 1
x x
1 x 1 x x 25 . x. x 1 x x 1
x x x x x 1 x x 25
x x x x 1 x 25 . . x. x 1 x x 1 x. x 1 x x 1
x 1 x x x x x 1 1 25 x 25 . .
x. x 1 x x 1 x. x 1 x x 1 x 25 x x 25 Q V y ậ v i ớ x 0, x 1 thì x
2) Tìm x đ
ể Q có giá tr b ị ng 10 ằ x 25 Q V i ớ x 0, x 1 ta có : x . Đ ể Q 1 0 x x x x 2 25 10 10 25 0 5 0 x 5 x 2 5(tm) x V y ậ đ ể Q 1 0 thì x 2 5 Câu 3. 2 2 1) Cho phư ng t ơ
rình x 2 m 1 x m 1 0 1 v i
ớ m là tham số a) Giải phư ng t ơ rình 1 khi m 3 Thay m 3 vào phư ng t ơ rình (1) ta có : 2 2
x 8x 9 1 0
x 8x 10 0 Ta có : 2 ' 4 10 6 0 nên phư ng ơ trình có hai nghi m ệ phân bi t ệ x 4 6 x 4 6
Đề thi vào 10 môn Toán tỉnh Nam Định năm 2022
667
334 lượt tải
MUA NGAY ĐỂ XEM TOÀN BỘ TÀI LIỆU
CÁCH MUA:
- B1: Gửi phí vào TK:
1133836868- CT TNHH DAU TU VA DV GD VIETJACK - Ngân hàng MB (QR) - B2: Nhắn tin tới Zalo VietJack Official ( nhấn vào đây ) để xác nhận thanh toán và tải tài liệu - giáo án
Liên hệ ngay Hotline hỗ trợ: 084 283 45 85
Đề thi được cập nhật liên tục trong gói này từ nay đến hết tháng 6/2023. Chúng tôi đảm bảo đủ số lượng đề đã cam kết hoặc có thể nhiều hơn, tất cả có BẢN WORD, LỜI GIẢI CHI TIẾT và tải về dễ dàng.
Để tải tài liệu gốc về máy bạn click vào nút Tải Xuống ở trên!
Thuộc bộ (mua theo bộ để tiết kiệm hơn):
- Tailieugiaovien.com.vn giới thiệu bộ 63 đề thi chính thức vào 10 môn Toán năm 2022 nhằm giúp Giáo viên có thêm tài liệu tham khảo đề luyện thi Toán vào 10.
- File word có lời giải chi tiết 100%.
- Mua trọn bộ sẽ tiết kiệm hơn tải lẻ 50%.
Đánh giá
4.6 / 5(667 )5
4
3
2
1
Trọng Bình
Tài liệu hay
Giúp ích cho tôi rất nhiều
Duy Trần
Tài liệu chuẩn
Rất thích tài liệu bên VJ soạn (bám sát chương trình dạy)
TÀI LIỆU BỘ BÁN CHẠY MÔN Toán Học
Xem thêmTÀI LIỆU BỘ BÁN CHẠY Ôn vào 10
Xem thêmTài liệu bộ mới nhất

Đây là bản xem thử, vui lòng mua tài liệu để xem chi ết (có lời giải)
S GIÁO D C VÀ ĐÀO T OỞ Ụ Ạ
NAM Đ NH Ị 111Equation
Chapter 1 Section 1
Đ THI TUY N SINH VÀO L P 10Ề Ể Ớ
TR NG THPT CHUYÊN LÊ H NG PHONGƯỜ Ồ
NĂM H C 2020-2021Ọ
Môn thi: Toán chung – Đ 2ề
Dành cho h c sinh vào các l p chuyên xã hôiọ ớ
Th i gian làm bài :120 phút ờ
Câu 1. (2,0 đi m)ể
1) Tìm đi u ki n xác đ nh c a bi u th c ề ệ ị ủ ể ứ
1
8 1
P
x
2) Tìm t t c các giá tr c a tham s ấ ả ị ủ ố
m
đ đ ng th ng ể ườ ẳ
1 0y mx m
và đ ng ườ
th ng ẳ
9 2y x
song song
3) Tính chi u cao c a tam giác ề ủ
ABC
đ u c nh b ng ề ạ ằ
2 3cm
4) Tính th tích c a hình nón có chi u cao b ng ể ủ ề ằ
4cm
và bán kính đáy
3cm
Câu 2. (1,5 đi m) ể Cho bi u th cể ứ
0
1 1 25
.
1
1
1
. 1
x
x x x x
Q
x
x
x x x
x x
1) Rút g n bi u th c ọ ể ứ
Q
2) Tìm
x
đ ể
Q
có giá tr b ng 10ị ằ
Câu 3. (2,5 đi m)ể
1) Cho ph ng trình ươ
2 2
2 1 1 0 1x m x m
v i ớ
m
là tham số
a) Gi i ph ng trình ả ươ
1
khi
3m
b) Tìm t t c các giá tr c a ấ ả ị ủ
m
đ ph ng trình (1) có hai nghi m phân bi t ể ươ ệ ệ
1 2
;x x
th a mãn ỏ
1 2
2x x
2) Gi i ph ng trình : ả ươ
6 2 2 2 0x x
Câu 4. (3,0 đi m) ể Cho tam giác nh n ọ
ABC AB AC
n i ti p đ ng tròn tâm O ộ ế ườ
đ ng kính ườ
.AP
Các đ ng cao ườ
,BE CF
c t nhau t i ắ ạ
H
1) Ch ng minh r ng t giác ứ ằ ứ
BCEF
n i ti p và ộ ế
. .AE AC AF AB
2) G i ọ
,K I
l n l t là trung đi m c a ầ ượ ể ủ
EF
và
.AH
Ch ng minh ứ
AP EF
và
/ /AP IK
3) G i ọ
M
là giao đi m c a ể ủ
IK
và
.BC N
là giao đi m c a ể ủ
MH
v i cung nh ớ ỏ
AC
c a ủ
đ ng tròn ườ
.O
Ch ng minh r ng ứ ằ
M
là trung đi m c a đo n ể ủ ạ
BC
và
HMC HAN
Câu 5. (1,0 đi m)ể
Mọi thắc mắc vui lòng xin liên hệ hotline: 084 283 45 85

Đây là bản xem thử, vui lòng mua tài liệu để xem chi ết (có lời giải)
1) Gi i h ph ng trình : ả ệ ươ
2 2
2 3 2 3 2
2 0
x y y x
y x x
2) Cho
, ,x y z
là các s d ng th a mãn ố ươ ỏ
1.xyz
Ch ng minh r ng :ứ ằ
2 2 2
2
x y z x y z
yz xz xy y z z x x y
ĐÁP ÁN Đ THI VÀO 10 CHUNG 2021 NAM Đ NHỀ Ị
TOÁN CHUNG CÁC L P XÃ H IỚ Ộ
Câu 1.
1) Tìm đi u ki n xác đ nh c a bi u th c ề ệ ị ủ ể ứ
1
8 1
P
x
Bi u th c ể ứ
1
8 1
P
x
xác đ nh khi và ch khi ị ỉ
1
8 1 0
8
x x
V y v i ậ ớ
1
8
x
thì bi u th c ể ứ
1
8 1
P
x
xác đ nhị
2) Tìm t t c các giá tr c a tham s ấ ả ị ủ ố
m
đ đ ng th ng ể ườ ẳ
1y mx
0m
và
đ ng th ng ườ ẳ
9 2y x
song song
Đ ể
1y mx
song song v i đ ng th ng ớ ườ ẳ
9 2y x
khi và ch khi ỉ
9( )
1 2( )
m tmdk
luon dung
.
V y ậ
9m
3) Tính chi u cao c a tam giác đ u c nh b ng ề ủ ề ạ ằ
2 3cm
Mọi thắc mắc vui lòng xin liên hệ hotline: 084 283 45 85

Đây là bản xem thử, vui lòng mua tài liệu để xem chi ết (có lời giải)
K ẻ
.AH BC H BC
Vì tam giác
ABC
đ u có ề
AH
là đ ng cao nên ườ
AH
đ ng th i làồ ờ
đ ng trung tuy n ườ ế
1 1
.2 3 3
2 2
HB BC cm
Tam giác
AHB
vuông t i H có : ạ
2 2 2
AB AH BH
(Đ nh lý Pytago)ị
2 2
2 2
2 3 3 9 3AH AB HB cm
V y chi u cao c a tam giác đ u ậ ề ủ ề
ABC
có c nh ạ
2 3cm
là
3AH cm
4) Tính th tích c a hình nón có chi u cao b ng ể ủ ề ằ
4cm
và bán kính đáy
3cm
Th tích c a hình nón có chi u cao ể ủ ề
4h cm
và bán kính đáy
3R cm
là :
2 2 3
1 1
. .3 .4 12
3 3
V R h cm
Câu 2.
1) Rút g n bi u th c Qọ ể ứ
V i ớ
0, 1x x
ta có :
Mọi thắc mắc vui lòng xin liên hệ hotline: 084 283 45 85

Đây là bản xem thử, vui lòng mua tài liệu để xem chi ết (có lời giải)
1 1 25
.
1
1
1
1 1 25
.
1 1
1 1
1 1
25
.
1
. 1
1 25 1 25
. .
1 1
. 1 . 1
1 1
1 25 25
. .
1 1
. 1 . 1
x x x x
Q
x
x x x
x x
x x x x
x x x x
x x
x x x x
x
x x
x x
x x x x x x x x x x x x
x x x x
x x x x
x x x
x x x x
x x x x
x x x x
x
25
x
V y v i ậ ớ
0, 1x x
thì
25x
Q
x
2) Tìm
x
đ ể
Q
có giá tr b ng 10ị ằ
V i ớ
0, 1x x
ta có :
25x
Q
x
. Đ ể
10Q
2
25
10 10 25 0 5 0 5 25( )
x
x x x x x tm
x
V y đ ậ ể
10Q
thì
25x
Câu 3.
1) Cho ph ng trình ươ
2 2
2 1 1 0 1x m x m
v i ớ
m
là tham số
a) Gi i ph ng trình ả ươ
1
khi
3m
Thay
3m
vào ph ng trình (1) ta có : ươ
2 2
8 9 1 0 8 10 0x x x x
Ta có :
2
' 4 10 6 0
nên ph ng trình có hai nghi m phân bi t ươ ệ ệ
4 6
4 6
x
x
Mọi thắc mắc vui lòng xin liên hệ hotline: 084 283 45 85

Đây là bản xem thử, vui lòng mua tài liệu để xem chi ết (có lời giải)
V y v i ậ ớ
3m
thì t p nghi m c a ph ng trình (1) là ậ ệ ủ ươ
4 6;4 6S
b) Tìm t t c các giá tr c a ấ ả ị ủ
m
đ ph ng trình ể ươ
1
có hai nghi m phân bi tệ ệ
1 2
;x x
th a mãn ỏ
1 2
2x x
Ph ng trình ươ
1
có hai nghi m phân bi t ệ ệ
1 2
, ' 0x x
2
2
1 1 0 2 0 0m m m m
Khi đó, áp d ng đ nh lý Vi-et ta có: ụ ị
1 2
2
1 2
2 2 1
1 (2)
b
x x m
a
c
x x m
a
Thay
1 2
2x x
vào (1) ta đ c : ượ
2 2 1
2 2 2 2 2x m x m x m
Thay
1 2
2,x m x m
vào (2) ta đ c : ượ
2
1
2 1 2 1
2
m m m m m tmdk
V y ậ
1
2
m
là giá tr th a mãn bài toán ị ỏ
2) Gi i ph ng trình : ả ươ
6 2 2 2 0x x
Ta có :
6 2 2 2 0 2 6x x x
6 2 2 2x x
2 2
2
2
6 2 2 6 2 8
8 12 2 8 12 4
8 16 0 4 0 4( )
x x x x
x x x x
x x x x tmdk
V y ậ
4x
là nghi m c a ph ng trình đã choệ ủ ươ
Mọi thắc mắc vui lòng xin liên hệ hotline: 084 283 45 85
