SỞ GIÁO D C Ụ VÀ ĐÀO T O Ạ Đ Ề THI TUY N Ể SINH L P Ớ 10 THPT T N Ỉ H NINH BÌNH
NĂM HỌC 2021 – 2022
Bài thi môn: TOÁN – Ngày thi: 09/06/2021 Đ Ề THI CHÍNH TH C Ứ Th i
ờ gian làm bài : 120 phút Câu 1. (2,0 đi m ể ) 1) Hàm số y 2
x 3 là hàm số đồng bi n hay ngh ế ịch bi n t ế rên ? Vì sao ? 2) Rút g n bi ọ u t ể h c
ứ A 18 2 50 3 8 x y 1 3) Gi i ả h ph ệ ư ng t ơ
rình : 2x y 5 Câu 2. (2,5 đi m ể ) 2 Cho phư ng t ơ
rình x mx m 1 0 1 v i ớ m là tham số a) Gi i ả phư ng t ơ rình 1 v i ớ m 3 b) Ch ng ứ minh r ng ph ằ ư ng t ơ rình 1 luôn có nghiệm v i ớ m i ọ m c) G i ọ x ; x 1 . 1 2 là hai nghi m ệ c a ph ủ ư ng ơ trình Tìm giá tr c ị a ủ m đ bi ể u t ể h c ứ 2 2
P x x 1 2 đ t ạ giá tr nh ị nh ỏ t ấ Câu 3.(1,0 đi m ể ) Gi i ả bài toán b ng ằ cách l p ph ậ ư ng ơ trình ho c ặ h ph ệ ư ng t ơ rình M t ộ ngư i ờ đi xe đ p ạ t ừ A đ n
ế B cách nhau 24k . m Khi đi t ừ B tr v ở ề , A ngư i ờ đó tăng v n
ậ tốc thêm 4km / h, vì v y t ậ h i ờ gian về ít h n ơ th i
ờ gian đi là 30 phút. Tính v n ậ tốc c a ủ ngư i ờ đi xe đ p khi ạ đi t ừ A đ n ế . B Câu 4. (3,5 đi m ể ) 1. Cho đư ng t ờ ròn tâm O và đi m ể A n m ằ bên ngoài đư ng ờ tròn. T ừ A vẽ các ti p ế tuy n ế AB, AC v i ớ đư ng
ờ tròn B,C là các ti p đi ế m ể ) a) Ch ng ứ minh t gi ứ ác ABOC là t gi ứ ác n i ộ ti p ế b) Vẽ cát tuy n
ế ADE không đi qua tâm O c a đ ủ ư ng ờ tròn D n m ằ gi a ữ A và E) G i ọ M là trung đi m ể c a ủ DE. Ch ng m ứ
inh MA là tia phân giác c a góc ủ BMC 2. M t ộ d ng c ụ đ ụ ng ự ch t ấ l ng ỏ có d ng hì ạ nh tr v ụ i ớ chi u cao ề b ng ằ 3dm và bán kính đáy b ng ằ 2d . m D ng c ụ này ụ đ ng đ ư ư c bao nhi ợ êu lít ch t ấ l ng ( ỏ B qua đ ỏ ộ dày c a ủ thành và đáy d ng ụ c , l ụ ấy 3 ,14) Câu 5. (1,0 đi m ể ) 2 2 1) Tìm t t ấ cả các c p s ặ nguyên ố ; x y th a ỏ mãn phư ng t ơ
rình x 2 y 2xy 1
2) Cho a,b là hai số th c d ự ư ng ơ th a m ỏ ãn đi u ki ề n ệ 2 2 a b 2 ab
1 1 1 Ch ng ứ minh r ng : ằ 4 4 4 2 2 2 2
a b 2ab
a b 2a b 2
ĐÁP ÁN Đ Ề THI VÀO 10 T N
Ỉ H NINH BÌNH MÔN TOÁN 2021 Câu 1. 1) Hàm số y 2
x 3 là hàm s đ ố ng bi ồ n hay n ế gh ch bi ị n ? ế Vì sao ? Hàm số y 2
x 3 có a 2
0 nên hàm số y 2
x 3 đồng bi n t ế rên 2) Rút g n bi ọ u t ể h c
ứ A 18 2 50 3 8
A 18 2 50 3 8 9.2 2 25.2 3 4.2 3 2 2.5 2 3.2 2 3 2 10 2 6 2 2 V y ậ A 2 x y 1 3) Giải h p ệ hư ng t ơ
rình : 2x y 5 x y 1 3 x 6 x 2
Ta có : 2x y 5 y x 1 y 1 V y ậ h ph ệ ư ng t ơ rình có nghi m ệ ; x y 2; 1 Câu 2. 2 Cho phư ng t ơ
rình x mx m 1 0
1 m là tham s ) ố 1) Giải phư ng t ơ rình 1 khi m 3 V i ớ m 3 thì
1 trở thành 2x 3x 2 0 x 1 1 c x 2 2
Ta có a b c 1 3 2 0 nên phư ng ơ trình có hai nghi m ệ a V y ậ t p nghi ậ m ệ phư ng t ơ rình là S 1; 2 2) Chứng minh r ng p ằ hư ng t ơ
rình (1) luôn có nghi m ệ v i ớ moi m Phư ng ơ trình 1 có : m m m m m 2 2 2 4 1 4 4 2 0 (v i ớ m i ọ m)
Suy ra phư ng t ơ rình luôn có hai nghi m ệ phân bi t ệ v i ớ m i ọ giá tr c ị a ủ m 2 2 3) G i ọ x ; x 1
P x x 1 2 là hai nghi m ệ c a ph ủ ư ng t ơ rình . Tìm giá trị c a ủ m đ ể 1 2 đ t ạ giá tr nh ị nh ỏ t ấ Theo câu 2) phư ng t ơ rình luôn có hai nghi m ệ x ; x 1 2 v i ớ m i ọ m x x m 1 2 Áp d ng ụ h t ệ h c
ứ Vi et ta có : x x m 1 1 2 . Khi đó ta có :
P x x
x x 2 2x x m 2 m 1 m 2 2 2 2 1 1 1 2 1 2 1 2 Nh n ậ th y ấ m 2 1 0 (v i ớ m i
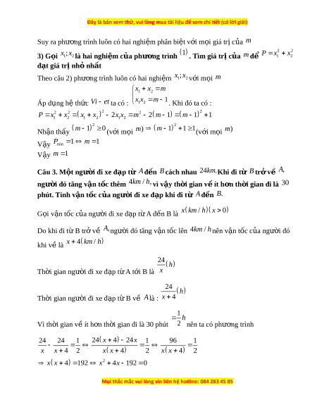
ọ m) m 2 1 1 1 (v i ớ m i ọ m) V y ậ P 1 m 1 min V y ậ m 1 Câu 3. M t ộ ngư i ờ đi xe đ p t ạ
ừ A đ n
ế B cách nhau 24k . m Khi đi t
ừ B tr v ở ề , A ngư i ờ đó tăng v n t ậ c t
ố hêm 4km / h, vì vậy th i ờ gian về ít h n t ơ h i ờ gian đi là 30 phút. Tính v n t ậ c ố c a n ủ gư i ờ đi xe đ p k ạ hi đi t
ừ A đ n ế . B G i ọ v n t ậ ốc c a ng ủ ư i ờ đi xe đ p t ạ ừ A đ n B ế
là x km / h x 0 Do khi đi t B ừ tr v ở ề , A ngư i ờ đó tăng v n
ậ tốc lên 4km / h nên v n t ậ ốc c a ủ ngư i ờ đó khi v l
ề à x 4 km / h 24 h Th i ờ gian ngư i ờ đi xe đ p ạ t ừ A t i ớ B là x 24 h Th i ờ gian ngư i ờ đi xe đ p ạ t B ừ v
ề A là : x 4 1 h Vì th i ờ gian về ít h n ơ th i
ờ gian đi là 30 phút 2 nên ta có phư ng ơ trình 24 24 1
24 x 4 24x 1 96 1 x x 4 2 x x 4 2
x x 4 2
x x 4 2 1
92 x 4x 192 0
Đề thi vào 10 môn Toán tỉnh Ninh Bình năm 2022
656
328 lượt tải
MUA NGAY ĐỂ XEM TOÀN BỘ TÀI LIỆU
CÁCH MUA:
- B1: Gửi phí vào TK:
1133836868- CT TNHH DAU TU VA DV GD VIETJACK - Ngân hàng MB (QR) - B2: Nhắn tin tới Zalo VietJack Official ( nhấn vào đây ) để xác nhận thanh toán và tải tài liệu - giáo án
Liên hệ ngay Hotline hỗ trợ: 084 283 45 85
Đề thi được cập nhật liên tục trong gói này từ nay đến hết tháng 6/2023. Chúng tôi đảm bảo đủ số lượng đề đã cam kết hoặc có thể nhiều hơn, tất cả có BẢN WORD, LỜI GIẢI CHI TIẾT và tải về dễ dàng.
Để tải tài liệu gốc về máy bạn click vào nút Tải Xuống ở trên!
Thuộc bộ (mua theo bộ để tiết kiệm hơn):
- Tailieugiaovien.com.vn giới thiệu bộ 63 đề thi chính thức vào 10 môn Toán năm 2022 nhằm giúp Giáo viên có thêm tài liệu tham khảo đề luyện thi Toán vào 10.
- File word có lời giải chi tiết 100%.
- Mua trọn bộ sẽ tiết kiệm hơn tải lẻ 50%.
Đánh giá
4.6 / 5(656 )5
4
3
2
1
Trọng Bình
Tài liệu hay
Giúp ích cho tôi rất nhiều
Duy Trần
Tài liệu chuẩn
Rất thích tài liệu bên VJ soạn (bám sát chương trình dạy)
TÀI LIỆU BỘ BÁN CHẠY MÔN Toán Học
Xem thêmTÀI LIỆU BỘ BÁN CHẠY Ôn vào 10
Xem thêmTài liệu bộ mới nhất

Đây là bản xem thử, vui lòng mua tài liệu để xem chi ết (có lời giải)
S GIÁO D C VÀ ĐÀO T OỞ Ụ Ạ
T NH NINH BÌNHỈ
Đ THI CHÍNH TH C Ề Ứ
Đ THI TUY N SINH L P 10 THPTỀ Ể Ớ
NĂM H C 2021 – 2022Ọ
Bài thi môn: TOÁN – Ngày thi: 09/06/2021
Th i gian làm bài : 120 phút ờ
Câu 1. (2,0 đi m)ể
1) Hàm s ố
2 3y x
là hàm s đ ng bi n hay ngh ch bi n trên ố ồ ế ị ế
?
Vì sao ?
2) Rút g n bi u th c ọ ể ứ
18 2 50 3 8A
3) Gi i h ph ng trình : ả ệ ươ
1
2 5
x y
x y
Câu 2. (2,5 đi m)ể
Cho ph ng trình ươ
2
1 0 1x mx m
v i ớ
m
là tham s ố
a) Gi i ph ng trình ả ươ
1
v i ớ
3m
b) Ch ng minh r ng ph ng trình ứ ằ ươ
1
luôn có nghi m v i m i ệ ớ ọ
m
c) G i ọ
1 2
;x x
là hai nghi m c a ph ng trình ệ ủ ươ
1 .
Tìm giá tr c a ị ủ
m
đ bi u th cể ể ứ
2 2
1 2
P x x
đ t giá tr nh nh t ạ ị ỏ ấ
Câu 3.(1,0 đi m) ể Gi i bài toán b ng cách l p ph ng trình ho c h ph ng trìnhả ằ ậ ươ ặ ệ ươ
M t ng i đi xe đ p t ộ ườ ạ ừ
A
đ n ế
B
cách nhau
24 .km
Khi đi t ừ
B
tr v ở ề
,A
ng i đóườ
tăng v n t c thêm ậ ố
4 / ,km h
vì v y th i gian v ít h n th i gian đi là ậ ờ ề ơ ờ
30
phút. Tính v n ậ
t c c a ng i đi xe đ p khi đi t ố ủ ườ ạ ừ
A
đ n ế
.B
Câu 4. (3,5 đi m)ể
1. Cho đ ng tròn tâm O và đi m ườ ể
A
n m bên ngoài đ ng tròn. T ằ ườ ừ
A
v các ti p ẽ ế
tuy n ế
,AB AC
v i đ ng tròn ớ ườ
,B C
là các ti p đi m) ế ể
a) Ch ng minh t giác ứ ứ
ABOC
là t giác n i ti pứ ộ ế
b) V cát tuy n ẽ ế
ADE
không đi qua tâm O c a đ ng tròn ủ ườ
D
n m gi a A và E)ằ ữ
G i ọ
M
là trung đi m c a ể ủ
.DE
Ch ng minh ứ
MA
là tia phân giác c a góc ủ
BMC
2. M t d ng c đ ng ch t l ng có d ng hình tr v i chi u cao b ng ộ ụ ụ ự ấ ỏ ạ ụ ớ ề ằ
3dm
và bán
kính đáy b ng ằ
2 .dm
D ng c này đ ng đ c bao nhiêu lít ch t l ng (B qua đ ụ ụ ư ượ ấ ỏ ỏ ộ
dày c a thành và đáy d ng c , l y ủ ụ ụ ấ
3,14)
Câu 5. (1,0 đi m)ể
1) Tìm t t c các c p s nguyên ấ ả ặ ố
;x y
th a mãn ph ng trình ỏ ươ
2 2
2 2 1x y xy
2) Cho
,a b
là hai s th c d ng th a mãn đi u ki n ố ự ươ ỏ ề ệ
2 2
2a b ab
Mọi thắc mắc vui lòng xin liên hệ hotline: 084 283 45 85

Đây là bản xem thử, vui lòng mua tài liệu để xem chi ết (có lời giải)
Ch ng minh r ng : ứ ằ
4 4 4 2 2 2 2
1 1 1
2 2 2a b ab a b a b
Mọi thắc mắc vui lòng xin liên hệ hotline: 084 283 45 85

Đây là bản xem thử, vui lòng mua tài liệu để xem chi ết (có lời giải)
ĐÁP ÁN Đ THI VÀO 10 T NH NINH BÌNH MÔN TOÁN 2021 Ề Ỉ
Câu 1.
1) Hàm s ố
2 3y x
là hàm s đ ng bi n hay ngh ch bi n ? Vì sao ?ố ồ ế ị ế
Hàm s ố
2 3y x
có
2 0a
nên hàm s ố
2 3y x
đ ng bi n trên ồ ế
2) Rút g n bi u th c ọ ể ứ
18 2 50 3 8A
18 2 50 3 8 9.2 2 25.2 3 4.2
3 2 2.5 2 3.2 2 3 2 10 2 6 2 2
A
V y ậ
2A
3) Gi i h ph ng trình : ả ệ ươ
1
2 5
x y
x y
Ta có :
1 3 6 2
2 5 1 1
x y x x
x y y x y
V y h ph ng trình có nghi m ậ ệ ươ ệ
; 2;1x y
Câu 2.
Cho ph ng trình ươ
2
1 0 1x mx m m
là tham s )ố
1) Gi i ph ng trình ả ươ
1
khi
3m
V i ớ
3m
thì
1
tr thành ở
2
3 2 0x x
Ta có
1 3 2 0a b c
nên ph ng trình có hai nghi m ươ ệ
1
2
1
2
x
c
x
a
V y t p nghi m ph ng trình là ậ ậ ệ ươ
1;2S
2) Ch ng minh r ng ph ng trình (1) luôn có nghi m v i moi ứ ằ ươ ệ ớ
m
Ph ng trình ươ
1
có :
2
2 2
4 1 4 4 2 0m m m m m
(v i m i ớ ọ
)m
Mọi thắc mắc vui lòng xin liên hệ hotline: 084 283 45 85

Đây là bản xem thử, vui lòng mua tài liệu để xem chi ết (có lời giải)
Suy ra ph ng trình luôn có hai nghi m phân bi t v i m i giá tr c a ươ ệ ệ ớ ọ ị ủ
m
3) G i ọ
1 2
;x x
là hai nghi m c a ph ng trình ệ ủ ươ
1
. Tìm giá tr c a ị ủ
m
đ ể
2 2
1 2
P x x
đ t giá tr nh nh t ạ ị ỏ ấ
Theo câu 2) ph ng trình luôn có hai nghi m ươ ệ
1 2
;x x
v i m i ớ ọ
m
Áp d ng h th c ụ ệ ứ
Vi et
ta có :
1 2
1 2
1
x x m
x x m
. Khi đó ta có :
2 2
2 2 2
1 2 1 2 1 2
2 2 1 1 1P x x x x x x m m m
Nh n th y ậ ấ
2
1 0m
(v i m i ớ ọ
)m
2
1 1 1m
(v i m i ớ ọ
)m
V y ậ
min
1 1P m
V y ậ
1m
Câu 3. M t ng i đi xe đ p t ộ ườ ạ ừ
A
đ n ế
B
cách nhau
24 .km
Khi đi t ừ
B
tr v ở ề
,A
ng i đó tăng v n t c thêm ườ ậ ố
4 / ,km h
vì v y th i gian v ít h n th i gian đi là ậ ờ ề ơ ờ
30
phút. Tính v n t c c a ng i đi xe đ p khi đi t ậ ố ủ ườ ạ ừ
A
đ n ế
.B
G i v n t c c a ng i đi xe đ p t A đ n B là ọ ậ ố ủ ườ ạ ừ ế
/ 0x km h x
Do khi đi t B tr v ừ ở ề
,A
ng i đó tăng v n t c lên ườ ậ ố
4 /km h
nên v n t c c a ng i đó ậ ố ủ ườ
khi v là ề
4 /x km h
Th i gian ng i đi xe đ p t A t i B là ờ ườ ạ ừ ớ
24
h
x
Th i gian ng i đi xe đ p t B v ờ ườ ạ ừ ề
A
là :
24
4
h
x
Vì th i gian v ít h n th i gian đi là 30 phút ờ ề ơ ờ
1
2
h
nên ta có ph ng trình ươ
2
24 4 24
24 24 1 1 96 1
4 2 4 2 4 2
4 192 4 192 0
x x
x x x x x x
x x x x
Mọi thắc mắc vui lòng xin liên hệ hotline: 084 283 45 85

Đây là bản xem thử, vui lòng mua tài liệu để xem chi ết (có lời giải)
Ta có :
2 2
' 2 192 196 14 0
nên ph ng trình có hai nghi m phân bi t :ươ ệ ệ
2 14 12( )
2 14 16( )
x tm
x ktm
V y v n t c ng i đi xe đ p t A đ n ậ ậ ố ườ ạ ừ ế
B
là
12 /km h
Câu 4.
1)
a) Ch ng minh t giác ứ ứ
ABOC
là t giác n i ti p ứ ộ ế
Vì
,AB AC
là các ti p tuy n c a ế ế ủ
O
l n l t t i ầ ượ ạ
,A B
nên
90
90
OB AB OBA
OC AC OCA
(đ nh nghĩa)ị
Xét t giác ứ
ABOC
có
90 90 180OBA OCA
V y ậ
ABOC
là t giác nôi ti p (d u hi u nh n bi t)ứ ế ấ ệ ậ ế
Mọi thắc mắc vui lòng xin liên hệ hotline: 084 283 45 85
