SỞ GIÁO D C Ụ VÀ ĐÀO T O Ạ Đ Ề THI TUY N Ể SINH L P Ớ 10 THPT NĂM H C Ọ 2021 - THÁI BÌNH 2022 MÔN THI : TOÁN Đ C Ề HÍNH TH C Ứ Th i
ờ gian làm bài : 120 phút (không k t ể hời gian giao đ ) ề (Đề g m ồ 01 trang) Câu 1. (2,0 đi m ể ) 1 2
2 x 7 x 0 P Cho bi u t ể h c ứ x 2 x 1 x x 2 x 4 1 P a) Ch ng ứ minh x 1 b) Tính giá tr c ị a ủ biêu th c ứ P khi x 3 2 2 c) Tìm giá tr l ị n nh ớ t ấ c a bi ủ u t ể h c ứ P Câu 2. (2,0 đi m ể ) a) Gi i ả phư ng t ơ rình : 2 x 3x 1 0 b) M t ộ m nh v ả ư n ờ hình ch nh ữ t ậ có chu vi b ng ằ 60 . m N u ế gi m ả chi u dài ề đi 1mvà tăng chi u ề r ng t ộ hêm 1m thì m nh ả vư n t ờ r t
ở hành hình vuông. Tính chi u dài ề và chi u ề r ng c ộ a ủ m nh v ả ư n ờ đó Câu 3. (2,0 đi m ể ) Cho parabol P 2
: y x và đư ng t ờ h ng
ẳ d : y m x 1, v i ớ m là tham số a) Tìm m đ đ ể ư ng t ờ h ng
ẳ d và parabol P cùng đi qua đi m
ể có hoành độ x 2 b) Ch ng ứ minh đư ng t ờ h ng ẳ d luôn c t
ắ parabol P t i ạ hai đi m ể phân bi t ệ v i ớ 2 x x 1 3 m i ọ . m G i ọ x ; x 1 2 là các hoành đ gi ộ ao đi m ể , tìm m đ ể 2 1 Câu 4. (3,5 đi m
ể ) Cho tam giác ABC AB AC n i ộ ti p đ ế ư ng
ờ tròn tâm O đư ng ờ kính BC cố định, đi m ể D bất kỳ thu c cung nh ộ
ỏ AC D không trùng v i
ớ A và C). Tia BA c t ắ tia CD t i ạ đi m ể . G Đi m ể I là giao đi m ể c a
ủ BD và AC. Kẻ AE vuông góc v i ớ BC t i ạ đi m ể E, đư ng ờ th ng ẳ AE c t ắ đư ng t ờ ròn O t i ạ đi m ể th hai ứ là F.G i ọ H là hình chi u ế vuông góc c a đi ủ m
ể A trên BD, K là giao đi m ể c a
ủ BC và DF . Ch ng ứ minh : a) T gi ứ ác AIDG n i ộ ti p đ ế ư ng ờ tròn
b) BE.BC BH .BI c) Ba đi m
ể G, I, K th ng hàng ẳ d) Đư ng ờ tròn ngo i ạ ti p t
ế am giác AKD luôn đi qua m t ộ đi m ể cố đ nh khác ị A khi đi m ể D di đ ng t ộ rên cung nhỏ AC Câu 5. (0,5 đi m ể ) 2 2 Gi i ả phư ng t ơ
rình : x 6x 1 2x 1 x 2x 3 0 ĐÁP ÁN Đ Ề THI VÀO L P
Ớ 10 NĂM 2021 MÔN TOÁN T N Ỉ H THÁI BÌNH Câu 1. 1 P a) Chứng minh x 1 Đi u ki ề ện : x 0 , x 4 1 2 2 x 7 P x 2 x 1 x x 2
x 1 2 x 2 2 x 7
x 2 x 1
x 1 2 x 4 2 x 7 x 2
x 2 x 1
x 2 x 1 1 x 1 1 P V y ậ v i ớ x 0 , x 4 thì x 1 b) Tính giá tr c ị a bi ủ u t ể h c
ứ P khi x 3 2 2 Đi u ki ề ện x 0 , x 4 x 2 3 2 2 2 1 (tmdk) x 2 3 2 2 2 1 2 1 Ta có : 1 1 1 2 P
Thay x 2 1vào bi u t ể h c P ứ ta đư c ợ x 1 2 11 2 2
2 P V y ậ v i ớ x 3 2 2 thì 2 c) Tìm giá tr l ị n nh ớ c ấ a b ủ i u t ể h c ứ P 1 P Đi u ki ề ện : x 0 , x 4 . Ta có : x 1 1 1 P 1 V i ớ m i ọ x 0 , x 4 x 0 x 1 1 x 1 Dấu " " x y ả ra x 1 1 x 0 x 0( tm) V y ậ v i ớ x 0 thì Max P 1 Câu 2. a) Giải phư ng t ơ rình : 2 x 3x 1 0 2 Phư ng ơ trình 2 x 3x 1 0 có 3 4. 1 13 0 nên phư ng t ơ rình có hai 3 13 x1 2 3 13 x2 nghiệm phân bi t ệ 2 3 13 3 13 S ; 2 2 V y ậ phư ng t ơ rình có t p nghi ậ m ệ b) M t ộ mảnh vư n hì ờ nh ch n ữ h t ậ có chu vi b ng ằ 60 . m N u gi ế ảm chi u dài ề đi
1mvà tăng chi u r ề ng t ộ hêm 1m thì m nh v ả ư n t ờ r t
ở hành hình vuông. Tính chi u dài ề và chi u r ề ng c ộ a m ủ nh v ả ư n đó ờ N a ử chu vi c a m ủ nh ả vư n l ờ à : 60 : 2 3 0 m G i ọ chi u dài ề và chi u r ề ng c ộ a ủ m nh v ả ư n l ờ n l ầ ư t
ợ là x, y m 0 y 15 x x y 3 0 1 N u ế gi m ả chi u dài ề
đi 1mvà tăng chi u r ề ng l ộ ên 1mthì m nh v ả ư n t ờ r t ở hành hình vuông nên ta có phư ng t ơ
rình x 1 y 1 x y 2 2
x y 30 2x 32 x 16 (tm) T ( ừ 1) và (2) ta có h ph ệ ư ng t ơ rình x y 2 y x 2 y 14 V y ậ chi u dài ề m nh ả vư n l ờ à 16m và chi u ề r ng m ộ nh v ả ư n l ờ à 14m Câu 3.
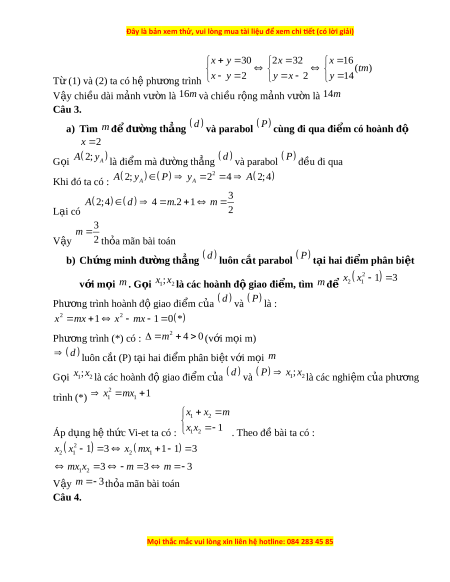
a) Tìm m đ đ ể ư ng t ờ
hẳng d và parabol P cùng đi qua đi m ể có hoành độ x 2 G i ọ A 2; y d P A là đi m ể mà đư ng t ờ h ng
ẳ và parabol đ u đi ề qua 2
Khi đó ta có : A 2; y P y 2 4 A 2;4 A A 3
A 2;4 d 4 .2 m 1 m L i ạ có 2 3 m V y ậ 2 th a m ỏ ãn bài toán
b) Chứng minh đư ng t ờ h ng ẳ
d luôn c t
ắ parabol P tại hai đi m ể phân bi t ệ 2 x x 1 3 v i ớ m i
ọ m . G i ọ x ; x 1 2 là các hoành đ gi ộ ao đi m
ể , tìm m đ ể 2 1 Phư ng ơ trình hoành đ gi ộ ao đi m ể c a
ủ d và P là : 2 2 x m
x 1 x mx 1 0 * Phư ng ơ trình (*) có : 2 m 4 0 (v i ớ m i ọ m) d luôn c t ắ (P) t i ạ hai đi m ể phân bi t ệ v i ớ m i ọ m G i ọ x ; x d
P x ; x 1 2 là các hoành đ gi ộ ao đi m ể c a ủ và 1 2 là các nghi m ệ c a ph ủ ư ng ơ 2 trình (*) x m x 1 1 1 x x m 1 2 Áp d ng ụ h t ệ h c
ứ Vi-et ta có : x x 1 1 2 . Theo đ bài ề ta có : x 2 x 1 3 x mx 1 1 3 2 1 2 1 mx x 3 m 3 m 3 1 2 V y ậ m 3 th a m ỏ ãn bài toán Câu 4.
Đề thi vào 10 môn Toán tỉnh Thái Bình năm 2022
641
321 lượt tải
MUA NGAY ĐỂ XEM TOÀN BỘ TÀI LIỆU
CÁCH MUA:
- B1: Gửi phí vào TK:
1133836868- CT TNHH DAU TU VA DV GD VIETJACK - Ngân hàng MB (QR) - B2: Nhắn tin tới Zalo VietJack Official ( nhấn vào đây ) để xác nhận thanh toán và tải tài liệu - giáo án
Liên hệ ngay Hotline hỗ trợ: 084 283 45 85
Đề thi được cập nhật liên tục trong gói này từ nay đến hết tháng 6/2023. Chúng tôi đảm bảo đủ số lượng đề đã cam kết hoặc có thể nhiều hơn, tất cả có BẢN WORD, LỜI GIẢI CHI TIẾT và tải về dễ dàng.
Để tải tài liệu gốc về máy bạn click vào nút Tải Xuống ở trên!
Thuộc bộ (mua theo bộ để tiết kiệm hơn):
- Tailieugiaovien.com.vn giới thiệu bộ 63 đề thi chính thức vào 10 môn Toán năm 2022 nhằm giúp Giáo viên có thêm tài liệu tham khảo đề luyện thi Toán vào 10.
- File word có lời giải chi tiết 100%.
- Mua trọn bộ sẽ tiết kiệm hơn tải lẻ 50%.
Đánh giá
4.6 / 5(641 )5
4
3
2
1
Trọng Bình
Tài liệu hay
Giúp ích cho tôi rất nhiều
Duy Trần
Tài liệu chuẩn
Rất thích tài liệu bên VJ soạn (bám sát chương trình dạy)
TÀI LIỆU BỘ BÁN CHẠY MÔN Toán Học
Xem thêmTÀI LIỆU BỘ BÁN CHẠY Ôn vào 10
Xem thêmTài liệu bộ mới nhất

Đây là bản xem thử, vui lòng mua tài liệu để xem chi ết (có lời giải)
S GIÁO D C VÀ ĐÀO T OỞ Ụ Ạ
THÁI BÌNH
Đ CHÍNH TH C Ề Ứ
(Đ g m 01 trang)ề ồ
Đ THI TUY N SINH L P 10 THPT NĂM H C 2021 -Ề Ể Ớ Ọ
2022
MÔN THI : TOÁN
Th i gian làm bài : 120 phút (không k th i gian giao đ )ờ ể ờ ề
Câu 1. (2,0 đi m)ể
Cho bi u th c ể ứ
0
1 2 2 7
4
2 1 2
x
x
P
x
x x x x
a) Ch ng minh ứ
1
1
P
x
b) Tính giá tr c a biêu th c ị ủ ứ
P
khi
3 2 2x
c) Tìm giá tr l n nh t c a bi u th c ị ớ ấ ủ ể ứ
P
Câu 2. (2,0 đi m)ể
a) Gi i ph ng trình : ả ươ
2
3 1 0x x
b) M t m nh v n hình ch nh t có chu vi b ng ộ ả ườ ữ ậ ằ
60 .m
N u gi m chi u dài đi ế ả ề
1m
và
tăng chi u r ng thêm 1m thì m nh v n tr thành hình vuông. Tính chi u dài và ề ộ ả ườ ở ề
chi u r ng c a m nh v n đó ề ộ ủ ả ườ
Câu 3. (2,0 đi m) ể
Cho parabol
2
:P y x
và đ ng th ng ườ ẳ
: 1,d y mx
v i ớ
m
là tham s ố
a) Tìm
m
đ đ ng th ng ể ườ ẳ
d
và parabol
P
cùng đi qua đi m có hoành đ ể ộ
2x
b) Ch ng minh đ ng th ng ứ ườ ẳ
d
luôn c t ắ
parabol P
t i hai đi m phân bi t v i ạ ể ệ ớ
m i ọ
.m
G i ọ
1 2
;x x
là các hoành đ giao đi m, tìm ộ ể
m
đ ể
2
2 1
1 3x x
Câu 4. (3,5 đi m) ể Cho tam giác
ABC AB AC
n i ti p đ ng tròn tâm ộ ế ườ
O
đ ng kínhườ
BC
c đ nh, đi m D b t kỳ thu c cung nh ố ị ể ấ ộ ỏ
AC D
không trùng v i ớ
A
và C). Tia
BA
c t ắ
tia
CD
t i đi m ạ ể
.G
Đi m ể
I
là giao đi m c a ể ủ
BD
và
.AC
K ẻ
AE
vuông góc v i ớ
BC
t i ạ
đi m ể
,E
đ ng th ng ườ ẳ
AE
c t đ ng tròn ắ ườ
O
t i đi m th hai là ạ ể ứ
.F
G i ọ
H
là hình
chi u vuông góc c a đi m ế ủ ể
A
trên
,BD K
là giao đi m c a ể ủ
BC
và
DF
. Ch ng minh :ứ
a) T giác ứ
AIDG
n i ti p đ ng trònộ ế ườ
Mọi thắc mắc vui lòng xin liên hệ hotline: 084 283 45 85

Đây là bản xem thử, vui lòng mua tài liệu để xem chi ết (có lời giải)
b)
. .BE BC BH BI
c) Ba đi m ể
, ,G I K
th ng hàngẳ
d) Đ ng tròn ngo i ti p tam giác ườ ạ ế
AKD
luôn đi qua m t đi m c đ nh khác ộ ể ố ị
A
khi
đi m ể
D
di đ ng trên cung nh ộ ỏ
AC
Câu 5. (0,5 đi m)ể
Gi i ph ng trình : ả ươ
2 2
6 1 2 1 2 3 0x x x x x
ĐÁP ÁN Đ THI VÀO L P 10 NĂM 2021 MÔN TOÁNỀ Ớ
T NH THÁI BÌNHỈ
Câu 1.
a) Ch ng minh ứ
1
1
P
x
Đi u ki n : ề ệ
0, 4x x
1 2 2 7
2 1 2
1 2 2 2 7
2 1
1 2 4 2 7 2
2 1 2 1
1
1
x
P
x x x x
x x x
x x
x x x x
x x x x
x
V y v i ậ ớ
0, 4x x
thì
1
1
P
x
b) Tính giá tr c a bi u th c ị ủ ể ứ
P
khi
3 2 2x
Đi u ki n ề ệ
0, 4x x
Ta có :
2
3 2 2 2 1 ( )x tmdk
2
3 2 2 2 1 2 1x
Thay
2 1x
vào bi u th c P ta đ c ể ứ ượ
1 1 1 2
2
1 2 1 1 2
P
x
Mọi thắc mắc vui lòng xin liên hệ hotline: 084 283 45 85

Đây là bản xem thử, vui lòng mua tài liệu để xem chi ết (có lời giải)
V y v i ậ ớ
3 2 2x
thì
2
2
P
c) Tìm giá tr l n nh c a bi u th c ị ớ ấ ủ ể ứ
P
Đi u ki n : ề ệ
0, 4x x
. Ta có :
1
1
P
x
V i m i ớ ọ
0, 4 0 1 1x x x x
1
1 1
1
P
x
D u ấ
" "
x y ra ả
1 1 0 0( )x x x tm
V y v i ậ ớ
0x
thì
1Max P
Câu 2.
a) Gi i ph ng trình : ả ươ
2
3 1 0x x
Ph ng trình ươ
2
3 1 0x x
có
2
3 4. 1 13 0
nên ph ng trình có hai ươ
nghi m phân bi t ệ ệ
1
2
3 13
2
3 13
2
x
x
V y ph ng trình có t p nghi m ậ ươ ậ ệ
3 13 3 13
;
2 2
S
b) M t m nh v n hình ch nh t có chu vi b ng ộ ả ườ ữ ậ ằ
60 .m
N u gi m chi u dài điế ả ề
1m
và tăng chi u r ng thêm 1m thì m nh v n tr thành hình vuông. Tính ề ộ ả ườ ở
chi u dài và chi u r ng c a m nh v n đó ề ề ộ ủ ả ườ
N a chu vi c a m nh v n là : ử ủ ả ườ
60: 2 30 m
G i chi u dài và chi u r ng c a m nh v n l n l t là ọ ề ề ộ ủ ả ườ ầ ượ
, 0 15x y m y x
30 1x y
N u gi m chi u dài đi ế ả ề
1m
và tăng chi u r ng lên ề ộ
1m
thì m nh v n tr thành hình ả ườ ở
vuông nên ta có ph ng trình ươ
1 1 2 2x y x y
Mọi thắc mắc vui lòng xin liên hệ hotline: 084 283 45 85

Đây là bản xem thử, vui lòng mua tài liệu để xem chi ết (có lời giải)
T (1) và (2) ta có h ph ng trình ừ ệ ươ
30 2 32 16
( )
2 2 14
x y x x
tm
x y y x y
V y chi u dài m nh v n là ậ ề ả ườ
16m
và chi u r ng m nh v n là ề ộ ả ườ
14m
Câu 3.
a) Tìm
m
đ đ ng th ng ể ườ ẳ
d
và parabol
P
cùng đi qua đi m có hoành để ộ
2x
G i ọ
2;
A
A y
là đi m mà đ ng th ng ể ườ ẳ
d
và parabol
P
đ u đi qua ề
Khi đó ta có :
2
2; 2 4 2;4
A A
A y P y A
L i có ạ
3
2;4 4 .2 1
2
A d m m
V y ậ
3
2
m
th a mãn bài toán ỏ
b) Ch ng minh đ ng th ng ứ ườ ẳ
d
luôn c t parabol ắ
P
t i hai đi m phân bi t ạ ể ệ
v i m i ớ ọ
m
. G i ọ
1 2
;x x
là các hoành đ giao đi m, tìm ộ ể
m
đ ể
2
2 1
1 3x x
Ph ng trình hoành đ giao đi m c a ươ ộ ể ủ
d
và
P
là :
2 2
1 1 0 *x mx x mx
Ph ng trình (*) có : ươ
2
4 0m
(v i m i m)ớ ọ
d
luôn c t (P) t i hai đi m phân bi t v i m i ắ ạ ể ệ ớ ọ
m
G i ọ
1 2
;x x
là các hoành đ giao đi m c a ộ ể ủ
d
và
1 2
;P x x
là các nghi m c a ph ng ệ ủ ươ
trình (*)
2
1 1
1x mx
Áp d ng h th c Vi-et ta có : ụ ệ ứ
1 2
1 2
1
x x m
x x
. Theo đ bài ta có :ề
2
2 1 2 1
1 2
1 3 1 1 3
3 3 3
x x x mx
mx x m m
V y ậ
3m
th a mãn bài toán ỏ
Câu 4.
Mọi thắc mắc vui lòng xin liên hệ hotline: 084 283 45 85

Đây là bản xem thử, vui lòng mua tài liệu để xem chi ết (có lời giải)
a) Ch ng minh t giác ứ ứ
AIDG
n i ti p đ ng trònộ ế ườ
Ta có:
,BAC BDC
là góc n i ti p ch n n a đ ng tròn ộ ế ắ ử ườ
90O BAC BDC
90GAI GDI
Xét t giác ứ
AIDG
ta có :
90 90 180GAI GDI AIDG
là t giác n i ti p ứ ộ ế
(dhnb)
b) Ch ng minh ứ
. .BE BC BH BI
Xét t giác ứ
ABEH
ta có :
90AEB AHB gt
ABEH
là t giác n i ti p (t giác có hai đ nh k nhau cùng nhìn c nh đ i di n d i ứ ộ ế ứ ỉ ề ạ ố ệ ướ
các góc b ng nhau)ằ
BHE BAE
(hai góc n i ti p cùng ch n cung ộ ế ắ
)BE
Mà
BAE BCA
(hai góc cùng ph ụ
)ABC
BHE BCA BCI
. Xét
BHE
và
BCI
có :
IBC
chung,
( ) ( )BHE BCI cmt BHE BCI g g ∽
. . ( )
BE BH
BE BC BH BI dfcm
BI BC
c) Ch ng minh ba đi m ứ ể
, ,G I K
th ng hàngẳ
Mọi thắc mắc vui lòng xin liên hệ hotline: 084 283 45 85
