111Equation Chapter 1 Section 1SỞ KỲ THI TUY N Ể SINH L P Ớ 10 THPT GIÁO D C Ụ VÀ ĐÀO T O Ạ
NĂM HỌC 2021 – 2022 VĨNH LONG Môn thi: TOÁN
Khóa thi ngày : 29/05/2021 Đ C Ề HÍNH TH C Ứ
Thời gian làm bài : 120 phút (không k t ể h i ờ gian giao đ ) ề
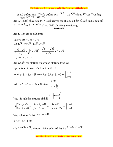
Bài 1. Tính giá tr các bi ị u t ể h c : ứ a A b B 2 3 6 ) 3 18 2 8 72 ) 2 3 1 2 Bài 2. Gi i ả các phư ng t ơ rình và h ph ệ ư ng t ơ rình sau : 2 2
a)x 8x 15 0
b)2x 5x 0 2x y 5 4 2 c)
d)9x 8x 1 0 5x 2y 8 Bài 3. 1 2 y x a) Trong m t ặ ph ng t ẳ a ọ đ ộ Oxy, cho hàm số 4
có đồ thị P và đư ng ờ 1
d : y x 2 th ng ẳ 2 . Vẽ đồ th
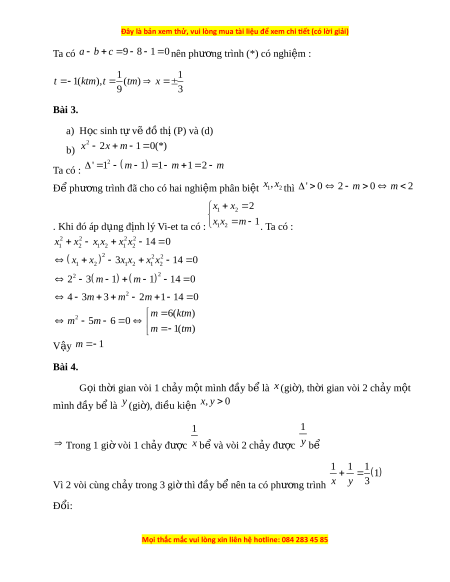
ị P và d trên cùng m t ộ m t ặ ph ng ẳ t a đ ọ ộ b) Cho phư ng t ơ rình 2
x 2x m 1 0
x là ẩn số, m là tham số). Tìm m đ ể phư ng ơ trình có hai nghi m ệ phân bi t ệ x , x 1 2 th a m ỏ ãn 2 2 2 2
x x x x x x 14 0 1 2 1 2 1 2
Bài 4. Hai vòi nư c cùng ớ ch y vào m ả t ộ b không có n ể ư c t ớ hì sau 3 gi đ ờ y b ầ . N ể u ế m vòi ở m t ộ ch y m ả t ộ mình trong 20 phút, r i ồ khóa l i ạ , m t ở i p vòi ế 2 ch y ả trong 30 1
phút thì cả hai vòi ch y đ ả ư c ợ 8 b . ể Tính th i ờ gian m i ỗ vòi ch y m ả t ộ mình đ y b ầ ể
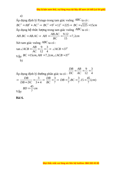
Bài 5. Cho tam giác ABC vuông t i ạ , A đư ng cao ờ AH.Bi t ế AB 9 c , m AC 1 2cm a) Tính đ dài ộ
BC, AH và số đo ACB (làm tròn đ n phút ế ) b) Phân giác c a ủ BAC c t ắ BC t i ạ D . Tính đ dài ộ đo n t ạ h ng ẳ BD Bài 6. T m ừ t ộ đi m ể A n m ằ ngoài đư ng ờ tròn ; O R v i ớ OA 2 . R Vẽ hai ti p t ế uy n ế AD, AE v i ớ đư ng ờ tròn O (v i ớ D, E là các ti p đi ế m ể ) a) Ch ng ứ minh t gi ứ ác ADOE n i ộ ti p đ ế ược đư ng t ờ ròn b) Lấy đi m ể M thu c cung nh ộ
ỏ DE M D,M E,MD ME .Tia AM c t ắ đư ng ờ tròn O t i ạ đi m ể th hai ứ N.Đo n t ạ h ng ẳ AO c t ắ cung nh ỏ DE t i ạ K. Ch ng
ứ minh NK là tia phân giác c a ủ DNE
c) Kẻ đư ng ờ kính KQ c a đ ủ ư ng ờ tròn ;
O R . Tia QN c t ắ tia ED t i ạ C.Ch ng ứ minh M . D CE M E.CD
Bài 7. Tìm tất c các ả giá tr
ị m là số nguyên sao cho giao đi m ể c a đ ủ t ồ h hai ị hàm số 2 y m
x 1và y x 2mcó t a ọ đ l
ộ à các số nguyên dư ng. ơ ĐÁP ÁN Bài 1. Tính giá tr b ị i u ể th c : ứ a)A 3 18 2 8 72 3 .3 2 2.2 2 6 2 7 2 2 3. 1 2 3 6 b) 2 3 2 3 1 2 1 2 3 2 3 2 Bài 2. Gi i ả các phư ng t ơ rình và h ph ệ ư ng t ơ rình sau : 2 2
a)x 8x 15 0
x 5x 3x 15 0 x 3
x x 5 3 x 5 0
x 3 x 5 0 x 5 x 0 2 b)2x 5x 0 x 2x 5 0 5 x 2 5 S 0; V y ậ t p nghi ậ m ệ phư ng t ơ rình là 2 2x y 5 4x 2 y 10 9 x 18 x 2 c) 5x 2 y 8 5x 2 y 8 y 5 2x y 1 V y ậ nghi m ệ c a h ủ ệ ; x y 2; 1 4
d)9x 8x 1 0 2 2 Đ t
ặ t x t 0 . Phư ng t ơ
rình đã cho trở thành : 9t 8t 1 0 *
Ta có a b c 9 8 1 0 nên phư ng ơ trình (*) có nghi m ệ : 1 1
t 1(ktm),t (tm) x 9 3 Bài 3. a) H c ọ sinh t v ự đ ẽ t ồ h ( ị P) và (d) 2
b) x 2x m 1 0 (*) 2 Ta có : ' 1 m 1 1 m 1 2 m Để phư ng t ơ rình đã cho có hai nghi m ệ phân bi t ệ x , x 1
2 thì ' 0 2 m 0 m 2 x x 2 1 2 . Khi đó áp d ng ụ đ nh l ị ý Vi-et ta có : x x m 1 1 2 . Ta có : 2 2 2 2
x x x x x x 14 0 1 2 1 2 1 2
x x 2 2 2
3x x x x 14 0 1 2 1 2 1 2
2 3 m 1 m 2 2 1 14 0 2
4 3m 3 m 2m 1 14 0 m 6( ktm) 2
m 5m 6 0
m 1(tm) V y ậ m 1 Bài 4. G i ọ th i ờ gian vòi 1 ch y m ả t ộ mình đ y b ầ l ể à x (gi ) ờ , th i ờ gian vòi 2 ch y m ả t ộ mình đ y b ầ l ể à y (gi ) ờ , đi u ki ề n ệ x, y 0 1 1
Trong 1 giờ vòi 1 ch y đ ả ư c ợ x b và vòi ể 2 ch y ả đư c ợ y bể 1 1 1 1 Vì 2 vòi cùng ch y t ả rong 3 giờ thì đ y b ầ nên ể ta có phư ng t ơ rình x y 3 Đổi:
1 1 1 1 . Trong 20 phút 3 gi vòi ờ 1 ch y đ ả ư c ợ 3 x 3x (b ) ể 1 1 1 . Trong 30 phút 2 gi t ờ i p t ế heo vòi 2 ch y đ ả ư c ợ 2 y (b ) ể Vì n u m ế ở vòi 1 ch y m ả t ộ mình trong 20 phút, r i ồ khóa l i ạ , m t ở i p vòi ế 2 ch y ả trong 1
30 phút thì cả hai vòi ch y đ ả ư c ợ 8 b nên t ể a có phư ng ơ trình : 1 1 1 2 3x 2 y 8 T ( ừ 1) và (2) ta có h ph ệ ư ng t ơ rình : 1 1 1 1 1 x y 3 x 4 x 4 (tm) 1 1 1 1 1 y 12 3x 2y 8 y 12 V y ậ vòi 1 ch y đ ả y b ầ h ể t ế 4 gi , ờ vòi 2 ch y đ ả y b ầ h ể t ế 12 gi . ờ Bài 5.
Đề thi vào 10 môn Toán tỉnh Vĩnh Long năm 2022
583
292 lượt tải
MUA NGAY ĐỂ XEM TOÀN BỘ TÀI LIỆU
CÁCH MUA:
- B1: Gửi phí vào TK:
1133836868- CT TNHH DAU TU VA DV GD VIETJACK - Ngân hàng MB (QR) - B2: Nhắn tin tới Zalo VietJack Official ( nhấn vào đây ) để xác nhận thanh toán và tải tài liệu - giáo án
Liên hệ ngay Hotline hỗ trợ: 084 283 45 85
Đề thi được cập nhật liên tục trong gói này từ nay đến hết tháng 6/2023. Chúng tôi đảm bảo đủ số lượng đề đã cam kết hoặc có thể nhiều hơn, tất cả có BẢN WORD, LỜI GIẢI CHI TIẾT và tải về dễ dàng.
Để tải tài liệu gốc về máy bạn click vào nút Tải Xuống ở trên!
Thuộc bộ (mua theo bộ để tiết kiệm hơn):
- Tailieugiaovien.com.vn giới thiệu bộ 63 đề thi chính thức vào 10 môn Toán năm 2022 nhằm giúp Giáo viên có thêm tài liệu tham khảo đề luyện thi Toán vào 10.
- File word có lời giải chi tiết 100%.
- Mua trọn bộ sẽ tiết kiệm hơn tải lẻ 50%.
Đánh giá
4.6 / 5(583 )5
4
3
2
1
Trọng Bình
Tài liệu hay
Giúp ích cho tôi rất nhiều
Duy Trần
Tài liệu chuẩn
Rất thích tài liệu bên VJ soạn (bám sát chương trình dạy)
TÀI LIỆU BỘ BÁN CHẠY MÔN Toán Học
Xem thêmTÀI LIỆU BỘ BÁN CHẠY Ôn vào 10
Xem thêmTài liệu bộ mới nhất

Đây là bản xem thử, vui lòng mua tài liệu để xem chi ết (có lời giải)
111Equation Chapter 1 Section 1SỞ
GIÁO D C VÀ ĐÀO T OỤ Ạ
VĨNH LONG
Đ CHÍNH TH C Ề Ứ
KỲ THI TUY N SINH L P 10 THPTỂ Ớ
NĂM H C 2021 – 2022 Ọ
Môn thi: TOÁN
Khóa thi ngày : 29/05/2021
Th i gian làm bài : 120 phút (không k th i gian giao đ )ờ ể ờ ề
Bài 1. Tính giá tr các bi u th c :ị ể ứ
2
3 6
) 3 18 2 8 72 ) 2 3
1 2
a A b B
Bài 2. Gi i các ph ng trình và h ph ng trình sau :ả ươ ệ ươ
2 2
4 2
) 8 15 0 )2 5 0
2 5
) )9 8 1 0
5 2 8
a x x b x x
x y
c d x x
x y
Bài 3.
a) Trong m t ph ng t a đ ặ ẳ ọ ộ
,Oxy
cho hàm s ố
2
1
4
y x
có đ th ồ ị
P
và đ ng ườ
th ng ẳ
1
: 2
2
d y x
. V đ th ẽ ồ ị
P
và
d
trên cùng m t m t ph ng t a đ ộ ặ ẳ ọ ộ
b) Cho ph ng trình ươ
2
2 1 0x x m
x
là n s , ẩ ố
m
là tham s ). Tìmố
m
đ ể
ph ng trình có hai nghi m phân bi t ươ ệ ệ
1 2
,x x
th a mãnỏ
2 2 2 2
1 2 1 2 1 2
14 0x x x x x x
Bài 4. Hai vòi n c cùng ch y vào m t b không có n c thì sau 3 gi đ y b . N u ướ ả ộ ể ướ ờ ầ ể ế
m vòi m t ch y m t mình trong 20 phút, r i khóa l i, m ti p vòi 2 ch y trong 30 ở ộ ả ộ ồ ạ ở ế ả
phút thì c hai vòi ch y đ c ả ả ượ
1
8
b . Tính th i gian m i vòi ch y m t mình đ y bể ờ ỗ ả ộ ầ ể
Bài 5. Cho tam giác
ABC
vuông t i ạ
,A
đ ng cao ườ
.AH
Bi t ế
9 , 12AB cm AC cm
a) Tính đ dài ộ
,BC AH
và s đo ố
ACB
(làm tròn đ n phút)ế
b) Phân giác c a ủ
BAC
c t ắ
BC
t i ạ
D
. Tính đ dài đo n th ng ộ ạ ẳ
BD
Bài 6. T m t đi m ừ ộ ể
A
n m ngoài đ ng tròn ằ ườ
;O R
v i ớ
2 .OA R
V hai ti p tuy nẽ ế ế
,AD AE
v i đ ng tròn ớ ườ
O
(v i D, E là các ti p đi m)ớ ế ể
a) Ch ng minh t giác ứ ứ
ADOE
n i ti p đ c đ ng trònộ ế ượ ườ
b) L y đi m ấ ể
M
thu c cung nh ộ ỏ
, , .DE M D M E MD ME
Tia
AM
c t ắ
đ ng tròn ườ
O
t i đi m th hai ạ ể ứ
.N
Đo n th ng ạ ẳ
AO
c t cung nh ắ ỏ
DE
t i K. ạ
Ch ng minh ứ
NK
là tia phân giác c a ủ
DNE
Mọi thắc mắc vui lòng xin liên hệ hotline: 084 283 45 85

Đây là bản xem thử, vui lòng mua tài liệu để xem chi ết (có lời giải)
c) K đ ng kính ẻ ườ
KQ
c a đ ng tròn ủ ườ
;O R
. Tia
QN
c t tia ắ
ED
t i ạ
.C
Ch ng ứ
minh
. .MD CE ME CD
Bài 7. Tìm t t c các giá tr ấ ả ị
m
là s nguyên sao cho giao đi m c a đ th hai hàm số ể ủ ồ ị ố
2
1y m x
và
2y x m
có t a đ là các s nguyên d ng.ọ ộ ố ươ
ĐÁP ÁN
Bài 1. Tính giá tr bi u th c :ị ể ứ
2
) 3 18 2 8 72
3.3 2 2.2 2 6 2 7 2
3. 1 2
3 6
) 2 3 2 3
1 2 1 2
3 2 3 2
a A
b
Bài 2. Gi i các ph ng trình và h ph ng trình sau :ả ươ ệ ươ
2 2
2
) 8 15 0 5 3 15 0
3
5 3 5 0 3 5 0
5
0
)2 5 0 2 5 0
5
2
a x x x x x
x
x x x x x
x
x
b x x x x
x
V y t p nghi m ph ng trình là ậ ậ ệ ươ
5
0;
2
S
2 5 4 2 10 9 18 2
)
5 2 8 5 2 8 5 2 1
x y x y x x
c
x y x y y x y
V y nghi m c a h ậ ệ ủ ệ
; 2;1x y
4
)9 8 1 0d x x
Đ t ặ
2
0t x t
. Ph ng trình đã cho tr thành : ươ ở
2
9 8 1 0 *t t
Mọi thắc mắc vui lòng xin liên hệ hotline: 084 283 45 85

Đây là bản xem thử, vui lòng mua tài liệu để xem chi ết (có lời giải)
Ta có
9 8 1 0a b c
nên ph ng trình (*) có nghi m :ươ ệ
1 1
1( ), ( )
9 3
t ktm t tm x
Bài 3.
a) H c sinh t v đ th (P) và (d)ọ ự ẽ ồ ị
b)
2
2 1 0(*)x x m
Ta có :
2
' 1 1 1 1 2m m m
Đ ph ng trình đã cho có hai nghi m phân bi t ể ươ ệ ệ
1 2
,x x
thì
' 0
2 0 2m m
. Khi đó áp d ng đ nh lý Vi-et ta có :ụ ị
1 2
1 2
2
1
x x
x x m
. Ta có :
2 2 2 2
1 2 1 2 1 2
14 0x x x x x x
2
2 2
1 2 1 2 1 2
2
2
2
2
3 14 0
2 3 1 1 14 0
4 3 3 2 1 14 0
6( )
5 6 0
1( )
x x x x x x
m m
m m m
m ktm
m m
m tm
V y ậ
1m
Bài 4.
G i th i gian vòi 1 ch y m t mình đ y b là ọ ờ ả ộ ầ ể
x
(gi ), th i gian vòi 2 ch y m t ờ ờ ả ộ
mình đ y b là ầ ể
y
(gi ), đi u ki n ờ ề ệ
, 0x y
Trong 1 gi vòi 1 ch y đ c ờ ả ượ
1
x
b và vòi 2 ch y đ c ể ả ượ
1
y
bể
Vì 2 vòi cùng ch y trong 3 gi thì đ y b nên ta có ph ng trình ả ờ ầ ể ươ
1 1 1
1
3x y
Đ i:ổ
Mọi thắc mắc vui lòng xin liên hệ hotline: 084 283 45 85

Đây là bản xem thử, vui lòng mua tài liệu để xem chi ết (có lời giải)
Trong 20 phút
1
3
gi vòi 1 ch y đ c ờ ả ượ
1 1 1
.
3 3x x
(b )ể
Trong 30 phút
1
2
gi ti p theo vòi 2 ch y đ c ờ ế ả ượ
1 1
.
2 y
(b )ể
Vì n u m vòi 1 ch y m t mình trong 20 phút, r i khóa l i, m ti p vòi 2 ch y trong ế ở ả ộ ồ ạ ở ế ả
30 phút thì c hai vòi ch y đ c ả ả ượ
1
8
b nên ta có ph ng trình :ể ươ
1 1 1
2
3 2 8x y
T (1) và (2) ta có h ph ng trình :ừ ệ ươ
1 1 1
1 1
4
3
4
( )
1 1
1 1 1 12
12
3 2 8
x
x y
x
tm
y
y
x y
V y vòi 1 ch y đ y b h t 4 gi , vòi 2 ch y đ y b h t 12 gi .ậ ả ầ ể ế ờ ả ầ ể ế ờ
Bài 5.
Mọi thắc mắc vui lòng xin liên hệ hotline: 084 283 45 85

Đây là bản xem thử, vui lòng mua tài liệu để xem chi ết (có lời giải)
a)
Áp d ng đ nh lý Pytago trong tam giác vuông ụ ị
ABC
ta có :
2 2 2 2 2 2
9 12 225 225 15BC AB AC BC BC cm
Áp d ng h th c l ng trong tam giác vuông ụ ệ ứ ượ
ABC
ta có :
. 9.12
. . 7,2
15
AB AC
AH BC AB AC AH cm
BC
Xét tam giác vuông
ABC
ta có :
9 3
tan 37
12 4
AB
ACB ACB
AC
V y ậ
15 , 7,2 , 37BC cm AH cm ACB
b)
Áp d ng đ nh lý đ ng phân giác ta có : ụ ị ườ
9 3
12 4
DB AB
DC AC
3 3 3 3 45
. .15 ( )
3 4 7 7 7 7
DB DB
DB BC cm
DB DC BC
V y ậ
45
7
BD cm
Bài 6.
Mọi thắc mắc vui lòng xin liên hệ hotline: 084 283 45 85
