Đây là bản xem th , vu ử i lòng mua tài li u ệ đ xe ể m chi ti t ế (có l i ờ gi i ả ) S G Ở IÁO D C Ụ & ĐÀO TẠO KỲ THI TUY N Ể SINH L P Ớ 10 THPT BÌNH DƯ N Ơ G Năm h c: o 2023 – 2024 ĐỀ CHÍNH TH C Ứ Môn thi: TOÁN Ngày thi: 02/06/2023 Th i
ờ gian: 120 phút (không k t ê h i ờ gian giao đ ) ê Bài 1 (2 đi m ể ). Gi i ả các phư ng t ơ rình và hệ phư ng t ơ rình sau:
x y 1 1) 2 x x 6 0 2) x 3 x 4 3) 2x 3y 8 Bài 2 (1,5 đi m ể ) Cho Parabol 2
(P) : y 0,5x và đư ng t ờ h ng
ẳ (d) : y 0,5x 2. 1) Vẽ đồ th c ị a ủ hàm s ố 2 y 0,5x . 2) Vi t ế phư ng t ơ rình đư ng t ờ h ng ẳ d d d d 1 bi t ế 1 vuông góc v i
ớ và 1 ti p xúc ế P . Bài 3 (1,5 đi m ể ). Cho phư ng ơ trình: 2 2
x 2(m 1)x m m 0 v i ớ m là tham số. 1) Tìm các giá tr c ị a ủ tham s ố m đ ể phư ng t ơ
rình đã cho có hai nghiệm phân bi t ệ x , x 1 2 . 2) Tìm h t ệ h c ứ liên h g ệ i a ữ x x 1 và 2 mà không ph t ụ hu c vào ộ tham s ố m. Bài 4 (1,5 đi m ể ). Bác Tư đ n ế siêu thị mua m t ộ cái qu t ạ máy và m t ộ m ấ đun siêu t c ố v i ớ tổng số ti n ề theo giá niêm y t ế là 630000 đ ng. ồ Tuy nhiên, trong tu n ầ lễ tri ân khách
hàng nên siêu thị đã gi m ả giá qu t ạ máy 15% và gi m ả giá m ấ đun siêu t c ố 12% so v i ớ giá niêm y t ế c a ủ t ng ừ s n ả ph m ẩ . Nên Bác Tư chỉ ph i ả trả 543000 đ ng ồ khi mua hai s n ả ph m ẩ trên. H i ỏ giá niêm y t ế (khi ch a ư gi m ả giá) c a ủ m t ộ cái qu t ạ máy và m t ộ
ấm đun siêu tốc là bao nhiêu ? Bài 5 (3,5 đi m ể ) Cho đư ng ờ tròn tâm O đư ng ờ kính AB và m t ộ đi m ể C tùy ý trên (O) (C
khác A, B và AC < CB). Các ti p ế tuy n ế c a ủ đư ng ờ tròn (O) t i ạ B và C c t ắ nhau t i ạ D. D ng ự CH vuông góc v i ớ BD t i ạ H (H n m ằ trên BD). Đư ng ờ th ng ẳ DO c t ắ CH và CB lần lư t ợ t i ạ M và N. 1) Ch ng ứ minh t gi ứ ác CNHD n i ộ ti p đ ế ư c ợ trong đư ng t ờ ròn. 2) Ch ng ứ minh CM = CO. 3) Các đư ng t ờ h ng ẳ AB và CD c t ắ nhau t i ạ E. Ch ng m ứ inh 2 E . A EB E C . 4) Khi quay tam giác DNB m t ộ vòng quanh c nh D ạ N ta đư c m ợ t ộ hình nón. Bi t ế OB 6 c , m BD 8 cm . Tính th t ể ích c a hì ủ nh nón t o ạ thành. …………H t ế ……….. 1 M i
o thắc mắc vui lòng xin liên h h
ệ otline: 084 283 45 85
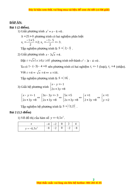
Đây là bản xem th , vu ử i lòng mua tài li u ệ đ xe ể m chi ti t ế (có l i ờ gi i ả ) ĐÁP ÁN: Bài 1 (2 đi m ể ). 1) Gi i ả phư ng t ơ rình 2 x x 6 0 . 2 5 0 phư ng
ơ trình có hai nghiệm phân bi t ệ 1 5 1 5 x 2 ; x 3. 1 2 2 2 T p nghi ậ ệm phư ng t ơ rình là S 2; 3 . 2) Gi i ả phư ng t ơ
rình x 3 x 4 . Đ t
ặ t x x 0 ,t 0 phư ng t ơ rình trở thành 2 t 3t 4 0 . Ta có 1 ( 3) 4 0 nên phư ng
ơ trình có hai nghiệm t 1 t 4 1 (lo i ạ ), 2 (nh n) ậ . V i ớ t 4 x 4 x 1 6 . T p nghi ậ ệm phư ng t ơ rình là S 1 6 .
x y 1 3) Gi i ả h ệ phư ng t ơ
rình 2x 3y 8
x y 1 3
x 3y 3 5 x 5 x 1 x 1 2x 3y 8 2x 3y 8 2x 3y 8 2 3y 8 y 2 T p nghi ậ ệm hệ phư ng t ơ rình là S 1;2 . Bài 2 (1,5 đi m ể ) 1) Vẽ đồ th c ị a ủ hàm s ố 2 y 0,5x . 2 M i
o thắc mắc vui lòng xin liên h h
ệ otline: 084 283 45 85
Đây là bản xem th , vu ử i lòng mua tài li u ệ đ xe ể m chi ti t ế (có l i ờ gi i ả ) 2) d : y a x b
(d) : y 0,5x 2 .
a 0,5 1 a 2 1 vuông góc v i ớ nên có . d : y 2 x b P y x 1 ti p xúc ế 2 ( ) : 0,5 nên phư ng ơ trình 2 2 0,5x 2
x b 0,5x 2x b 0 có nghiệm kép nên 4 2b 0 b 2 . V y ậ phư ng t ơ rình đư ng t ờ h ng ẳ d : y 2 x 2 1 . Bài 3 (1,5 đi m ể ). 1) Phư ng t ơ rình 2 2
x 2(m 1)x m m 0
có hai nghiệm phân bi t ệ khi 2 2 m
2m 1 m m m
1 0 m 1. V y
ậ m 1 thì phư ng t ơ rình 2 2
x 2(m 1)x m m 0
có hai nghiệm phân bi t ệ . 2) 2 2
x 2(m 1)x m m 0 x x 1 2 m 1 x x 2(m 1) 2 Ta có 1 2 2 2 x .x m m x x x x 1 2 1 2 1 2 x x 1 1 1 2 2 2
x x 2 2 x x 4x x 0 ệ ứ
ệ ữ x và x mà không phụ 1 2 1 2 1 2 là h th c liên h gi a 1 2 thu c ộ vào tham s ố m. Bài 4 (1,5 đi m ể ). G i ọ giá ti n ni ề êm y t ế (khi ch a gi ư m ả giá) c a ủ m t ộ cái qu t ạ máy và m t ộ m ấ đun siêu
tốc là x, y x 0, y 0 (đồng). Ta có phư ng t ơ rình x y 6 30000 . Giá ti n qu ề t ạ máy sau khi gi m
ả giá là x 15%x 8 5%x 0 ,85x . Giá ti n ề m ấ siêu t c s ố au khi gi m
ả giá là y 12%y 8 8% y 0 ,88 y . Ta có phư ng t ơ
rình 0,85x 0,88y 5 43000 . 3 M i
o thắc mắc vui lòng xin liên h h
ệ otline: 084 283 45 85
Đây là bản xem th , vu ử i lòng mua tài li u ệ đ xe ể m chi ti t ế (có l i ờ gi i ả ) x y 6 30000 Gi i
ả hệ 0,85x 0,88y 5 43000 x y 6 30000
0,88x 0,88 y 5 54400
0,85x 0,88y 5 43000
0,85x 0,88y 5 43000 0,03x 1 1400 x 3 80000 x 3 80000 x y 630000 380000 y 630000 y 2 50000 Vậy giá ti n ni ề êm y t ế (khi ch a gi ư m ả giá) c a ủ m t ộ cái qu t ạ máy và m t ộ m ấ đun siêu
tốc là 380000 (đồng) và 250000 (đồng). Bài 5 (3,5 đi m ể )
1) Ta có CH BD H nhìn CD dư i ớ m t ộ góc vuông (1) Theo tính ch t ấ hai ti p t ế uy n c ế t
ắ nhau CD và BD, ta có DC = DB Hai bán kính OC = OB OD là trung tr c c ự a ủ BC OD CB N nhìn CD dư i ớ m t ộ góc vuông (2) T ( ừ 1) và (2) t gi ứ ác CNHD n i ộ ti p đ ế ư c ợ trong đư ng t ờ ròn. 2) Theo tính ch t ấ hai ti p t ế uy n c ế t
ắ nhau CD và BD, ta có DC = DB, ta có D D 1 2 Theo tính ch t ấ ti p ế tuy n và gi ế t ả hi t ế , ta có góc
COD DMH (cùng ph v ụ i ớ hai góc b ng ằ nhau D D ) 1 2 M t ặ khác DMH C
MO (đối đỉnh) COD C MO COM có COM C MO cân t i ạ C CM C O .
3) EAC và ECB có góc E chung và góc ECA C
BA (cùng ch n cung ắ AC) EA EC đồng d ng ạ 2 E . A EB E C . EC EB 4) Hình nón đư c ợ t o b ạ i
ở tam giác vuông DNB quay quanh DN
bán kính r NB và chi u
ề cao h ND . 4 M i
o thắc mắc vui lòng xin liên h h
ệ otline: 084 283 45 85
Đề thi vào 10 Toán Tỉnh Bình Dương năm 2023-2024
544
272 lượt tải
MUA NGAY ĐỂ XEM TOÀN BỘ TÀI LIỆU
CÁCH MUA:
- B1: Gửi phí vào TK:
1053587071
- NGUYEN VAN DOAN - Ngân hàng Vietcombank (QR) - B2: Nhắn tin tới Zalo VietJack Official ( nhấn vào đây ) để xác nhận thanh toán và tải tài liệu - giáo án
Liên hệ ngay Hotline hỗ trợ: 084 283 45 85
Đề thi được cập nhật liên tục trong gói này từ nay đến hết tháng 3/2024. Chúng tôi đảm bảo đủ số lượng đề đã cam kết hoặc có thể nhiều hơn, tất cả có BẢN WORD, LỜI GIẢI CHI TIẾT và tải về dễ dàng.
Để tải tài liệu gốc về máy bạn click vào nút Tải Xuống ở trên!
Thuộc bộ (mua theo bộ để tiết kiệm hơn):
- Tailieugiaovien.com.vn giới thiệu Đề thi chính thức môn Toán vào 10 Tỉnh Bình Dương năm 2023-2024 nhằm giúp Giáo viên có thêm tài liệu tham khảo ra đề thi Toán vào 10.
- File word có lời giải chi tiết 100%.
- Mua trọn bộ sẽ tiết kiệm hơn tải lẻ 50%.
Đánh giá
4.6 / 5(544 )5
4
3
2
1

Trọng Bình
Tài liệu hay
Giúp ích cho tôi rất nhiều

Duy Trần
Tài liệu chuẩn
Rất thích tài liệu bên VJ soạn (bám sát chương trình dạy)
TÀI LIỆU BỘ BÁN CHẠY MÔN Toán Học
Xem thêmTÀI LIỆU BỘ BÁN CHẠY Ôn vào 10
Xem thêmTài liệu bộ mới nhất

Đây là b n xem th , vui lòng mua tài li u đ xem chi ti t (có l i gi i)ả ử ệ ể ế ờ ả
S GIÁO D C & ĐÀO T OỞ Ụ Ạ KỲ THI TUY N SINH L P 10 THPT Ể Ớ
BÌNH D NGƯƠ Năm h c: 2023 – 2024o
Đ CHÍNH TH CỀ Ứ Môn thi: TOÁN
Ngày thi: 02/06/2023
Th i gian: 120 phút (không k th i gian giao đ )
Bài 1 (2 đi m). ể Gi i các ả ph ng trình ươ và h ệ ph ng trình ươ sau:
1)
2
6 0x x
2)
3 4x x
3)
1
2 3 8
x y
x y
Bài 2 (1,5 đi m) ể Cho Parabol
2
( ) : 0,5P y x
và đ ng th ng ườ ẳ
( ) : 0,5 2d y x
.
1) V đ th c a hàm s ẽ ồ ị ủ ố
2
0,5y x
.
2) Vi t ế ph ng trình đ ng th ng ươ ườ ẳ
1
d
bi t ế
1
d
vuông góc v i ớ
d
và
1
d
ti p xúcế
P
.
Bài 3 (1,5 đi m).ể Cho ph ngươ trình:
2 2
2( 1) 0x m x m m
v i ớ m là tham s . ố
1) Tìm các giá tr c a tham s ị ủ ố m đ ể ph ng trình ươ đã cho có hai nghi m phân bi tệ ệ
1 2
,x x
.
2) Tìm h th c liên h gi a ệ ứ ệ ữ
1
x
và
2
x
mà không ph thu c vào tham s ụ ộ ố m.
Bài 4 (1,5 đi m). ể Bác T đ n siêu th mua m t cái qu t máy và m t m đun siêu t c v iư ế ị ộ ạ ộ ấ ố ớ
t ng s ti n theo giá niêm y t là 630000 đ ng. Tuy nhiên, trong tu n l tri ân kháchổ ố ề ế ồ ầ ễ
hàng nên siêu th đã gi m giá qu t máy 15% và gi m giá m đun siêu t c 12% so v iị ả ạ ả ấ ố ớ
giá niêm y t c a t ng s n ph m. Nên Bác T ch ph i tr 543000 đ ng khi mua haiế ủ ừ ả ẩ ư ỉ ả ả ồ
s n ph m trên. H i giá niêm y t (khi ch a gi m giá) c a m t cái qu t máy và m tả ẩ ỏ ế ư ả ủ ộ ạ ộ
m đun siêu t c là bao nhiêu ?ấ ố
Bài 5 (3,5 đi m) ể Cho đ ng tròn ườ tâm O đ ng kính AB và m t đi m C tùy ý trên (O) (Cườ ộ ể
khác A, B và AC < CB). Các ti p tuy n c a ế ế ủ đ ng tròn ườ (O) t i B và C c t nhau t i D.ạ ắ ạ
D ng CH vuông góc v i BD t i H (H n m trên BD). ự ớ ạ ằ Đ ng th ng DO c t CH và CBườ ẳ ắ
l n l t t i M và N.ầ ượ ạ
1) Ch ng minh ứ t giác CNHD n i ti p đ c trong đ ng tròn.ứ ộ ế ượ ườ
2) Ch ng minh CM = CO.ứ
3) Các đ ng th ng AB và CD c t nhau t i E. Ch ng minh ườ ẳ ắ ạ ứ
2
.EA EB EC
.
4) Khi quay tam giác DNB m t vòng quanh c nh DN ta đ c m t hình nón. Bi tộ ạ ượ ộ ế
6 , 8OB cm BD cm
. Tính th tích c a hình nón t o thành.ể ủ ạ
…………H t………..ế
1
M i th c m c vui lòng xin liên h hotline: 084 283 45 85o ắ ắ ệ

Đây là b n xem th , vui lòng mua tài li u đ xem chi ti t (có l i gi i)ả ử ệ ể ế ờ ả
ĐÁP ÁN:
Bài 1 (2 đi m).ể
1) Gi i ả ph ng trình ươ
2
6 0x x
.
25 0
ph ng trình ươ có hai nghi m phân bi tệ ệ
1 2
1 5 1 5
2; 3
2 2
x x
.
T p nghi m ậ ệ ph ng trình ươ là
2; 3S
.
2) Gi i ả ph ng trình ươ
3 4x x
.
Đ t ặ
0, 0t x x t
ph ng trình ươ tr thành ở
2
3 4 0t t
.
Ta có
1 ( 3) 4 0
nên ph ng trình ươ có hai nghi m ệ
1
1t
(lo i), ạ
2
4t
(nh n).ậ
V i ớ
4 4 16t x x
.
T p nghi m ậ ệ ph ng trình ươ là
16S
.
3) Gi i h ả ệ ph ng trình ươ
1
2 3 8
x y
x y
1 3 3 3 5 5 1 1
2 3 8 2 3 8 2 3 8 2 3 8 2
x y x y x x x
x y x y x y y y
T p nghi m h ậ ệ ệ ph ng trình ươ là
1;2S
.
Bài 2 (1,5 đi m) ể
1) V đ th c a hàm s ẽ ồ ị ủ ố
2
0,5y x
.
2
M i th c m c vui lòng xin liên h hotline: 084 283 45 85o ắ ắ ệ

Đây là b n xem th , vui lòng mua tài li u đ xem chi ti t (có l i gi i)ả ử ệ ể ế ờ ả
2)
1
:d y ax b
vuông góc v i ớ
( ) : 0,5 2d y x
nên có
. 0,5 1 2a a
.
1
: 2d y x b
ti p xúc ế
2
( ) : 0,5P y x
nên ph ng trìnhươ
2 2
0,5 2 0,5 2 0x x b x x b
có nghi m kép nên ệ
4 2 0 2b b
.
V y ậ ph ng trình đ ng th ng ươ ườ ẳ
1
: 2 2d y x
.
Bài 3 (1,5 đi m).ể
1) Ph ng trình ươ
2 2
2( 1) 0x m x m m
có hai nghi m phân bi t khiệ ệ
2 2
2 1 1 0 1m m m m m m
.
V y ậ
1m
thì ph ng trình ươ
2 2
2( 1) 0x m x m m
có hai nghi m phân bi t.ệ ệ
2)
2 2
2( 1) 0x m x m m
Ta có
1 2
1 2
2
2
1 2 1 2
1 2
1 2
1
2( 1)
2
.
1 1
2 2
x x
m
x x m
x x x x
x x m m
x x
2
1 2 1 2 1 2
2 4 0x x x x x x
là h th c liên h gi a ệ ứ ệ ữ
1
x
và
2
x
mà không ph ụ
thu c vào tham s ộ ố m.
Bài 4 (1,5 đi m).ể
G i giá ti n niêm y t (khi ch a gi m giá) c a m t cái qu t máy và m t m đun siêu ọ ề ế ư ả ủ ộ ạ ộ ấ
t c là ố
, 0, 0x y x y
(đ ng).ồ
Ta có ph ng trình ươ
630000x y
.
Giá ti n qu t máy sau khi gi m giá là ề ạ ả
15% 85% 0,85x x x x
.
Giá ti n m siêu t c sau khi gi m giá là ề ấ ố ả
12% 88% 0,88y y y y
.
Ta có ph ng trình ươ
0,85 0,88 543000x y
.
3
M i th c m c vui lòng xin liên h hotline: 084 283 45 85o ắ ắ ệ

Đây là b n xem th , vui lòng mua tài li u đ xem chi ti t (có l i gi i)ả ử ệ ể ế ờ ả
Gi i h ả ệ
630000
0,85 0,88 543000
x y
x y
630000 0,88 0,88 554400
0,85 0,88 543000 0,85 0,88 543000
x y x y
x y x y
0,03 11400 380000 380000
630000 380000 630000 250000
x x x
x y y y
V y ậ giá ti n niêm y t (khi ch a gi m giá) c a m t cái qu t máy và m t m đun siêu ề ế ư ả ủ ộ ạ ộ ấ
t c là 380000 (đ ng) và 250000 (đ ng).ố ồ ồ
Bài 5 (3,5 đi m) ể
1) Ta có CH BD H nhìn CD d i m t góc vuông (1)ướ ộ
Theo tính ch t hai ti p tuy n c t nhau CD và BD, ta có DC = DBấ ế ế ắ
Hai bán kính OC = OB
OD là trung tr c c a BC ự ủ OD CB
N nhìn CD d i m t góc vuông (2)ướ ộ
T (1) và (2) ừ t giác CNHD n i ti p đ c trong đ ng tròn.ứ ộ ế ượ ườ
2) Theo tính ch t hai ti p tuy n c t nhau CD và BD, ta có DC = DB, ta có ấ ế ế ắ
1 2
D D
Theo tính ch t ti p tuy n và gi thi t, ta có góc ấ ế ế ả ế
COD DMH
(cùng ph v i hai ụ ớ
góc b ng nhauằ
1 2
D D
)
M t khác ặ
DMH CMO
(đ i đ nh) ố ỉ
COD CMO
COM có
COM CMO
cân t i C ạ
CM CO
.
3) EAC và ECB có góc E chung và góc
ECA CBA
(cùng ch n cung AC) ắ
đ ng d ng ồ ạ
2
.
EA EC
EA EB EC
EC EB
.
4) Hình nón đ c t o b i tam giác vuông DNB quay quanh DNượ ạ ở
bán kính
r NB
và chi u cao ề
h ND
.
4
M i th c m c vui lòng xin liên h hotline: 084 283 45 85o ắ ắ ệ

Đây là b n xem th , vui lòng mua tài li u đ xem chi ti t (có l i gi i)ả ử ệ ể ế ờ ả
Theo Pitago cho tam giác vuông BOD:
2 2
36 64 10OD OB BD cm
.
Theo h th c l ng trong tam giác vuông BOD, ta có:ệ ứ ượ
6.8
. . 4,8
10
BN OD OB BD BN cm
.
Và
2
64
. 6,4
10
BD DN DO DN cm
Th tích c a hình nón t o thànhể ủ ạ
2 2 3
1 1 6144
. . .(4,8) .6,4 154,4156
3 3 125
V r h cm
.
Tr ng THPT Tân Bình ườ Bình D ng.ươ
Giáo viên: Lê Hành Pháp.
5
M i th c m c vui lòng xin liên h hotline: 084 283 45 85o ắ ắ ệ