Đây là bản xem th , vu ử i lòng mua tài li u ệ đ xe ể m chi ti t ế (có l i ờ gi i ả ) SỞ GIÁO D C Ụ ĐÀO T O Ạ KỲ THI TUY N Ể SINH L P Ớ 10 BÌNH THU N Ậ
NĂM HỌC: 2023 – 2024
Môn: TOÁN (chung)
Khoá thi ngày: 06/6/2022 Th i
ờ gian làm bài: 120 phút (không kể thời gian giao đề) Bài 1. (2,0 đi m) ể Giải phư ng ơ trình và h ph ệ ư ng t ơ rình sau: 2 a) x +2x - 3 = 0 ìï - x +3y = 5 ïíï b) x + y = 3 ïî Bài 2. (1,5 đi m) ể Rút g n c ọ ác bi u t ể h c ứ sau: A =( 27 - 12 + 48) 3 a) æ x 1 ö ç ÷ x 1 + B =ç - : ÷ ç ÷ ç ÷ è - - b) x 1 x x ø 3 x v i
ớ 0 < x và x 1 . 2 Bài 3. (1,5 đi m) ể Cho hàm s
ố y = x có đ t ồ hị (P) . a) V đ ẽ t
ồ hị (P) trên mặt phẳng t a ọ độ Oxy . 2
b) Tìm giá trị nguyên của tham số m để đư ng ờ th ng
ẳ (d) : y = 2mx - m 1 + cắt (P) tại hai điểm phân bi t ệ có hoành đ l ộ ần lư t ợ là x , x
x < 2024 < x 1 2 th a ỏ mãn 1 2 . Bài 4. (1,0 đi m) ể M t ộ công ty dự đ nh ị thuê m t ộ số xe l n ớ cùng lo i ạ đ ể ch ở v a ừ h t ế 210 ngư i ờ đi du l c ị h Mũi Né. Nh ng ư th c ự t , ế công ty l i ạ thuê toàn b ộ xe nh ỏ h n ơ cùng lo i ạ . Bi t ế r ng ằ số xe nh ph ỏ ải thuê nhi u h ề n ơ s xe ố l n ớ là 2 chi c ế thì m i ớ chở v a ừ h t ế s ng ố ư i ờ trên và m i ỗ xe nh c ỏ hở ít h n ơ m i ỗ xe l n
ớ là 12 người. Tính s xe ố nh đã ỏ thuê. Bài 5. (0,5 đi m) ể M t ộ cái chai có ch a ứ một lư ng ợ nước, ph n ầ ch a ứ nư c ớ là hình trụ có chi u ề cao 10 cm, khi l t ậ ngư c ợ chai l i ạ thì phần không ch a ứ nư c ớ cũng là m t ộ hình tr ụ có chiều cao 8 cm (như hình vẽ bên. Bi t ế thể tích c a ủ chai là 450π 3
cm . Tính bán kính của đáy chai (giả sử đ dà ộ
y của thành chai và đáy chai không đáng kể). 1 M i ọ thắc m c
ắ vui lòng xin liên h h
ệ otline: 084 283 45 85
Đây là bản xem th , vu ử i lòng mua tài li u ệ đ xe ể m chi ti t ế (có l i ờ gi i ả ) Bài 6. (2,0 đi m) ể Cho đư ng ờ tròn (O) và đi m
ể A nằm bên ngoài đư ng
ờ tròn từ A , vẽ hai ti p ế
tuyến AB , AC ( B , C là hai ti p đi ế m ể ). a) Ch ng m ứ
inh tứ giác ABOC n i ộ tiếp. b) V đ ẽ ư ng
ờ kính CE , nối AE cắt đư ng t ờ
ròn (O) tại điểm th ha ứ i là F . Ch ng m ứ inh 2 AB = A · E AF .
c) Cho OA cắt BC tại H , BF cắt OA tại I . Ch ng m ứ inh I là trung đi m ể c a ủ AH . Bài 7. (0,5 đi m)
ể Từ hình vuông đ u ầ tiên, b n
ạ Hùng vẽ hình vuông thứ hai có các đ nh ỉ là trung điểm của các c nh ạ hình vuông th ứ nh t ấ , v t ẽ i p ế hình vuông th ứ ba có các đ nh ỉ là trung đi m ể c a ủ các c nh
ạ hình vuông thứ hai và cứ ti p ế t c ụ như v y ậ (xem hình minh h a ọ bên). Gi ả sử 2
hình vuông thứ bảy có di n t
ệ ích bằng 32 cm . Tính di n t
ệ ích hình vuông thứ năm.
---------------------------------@H t
ế @--------------------------------- 2 M i ọ thắc m c
ắ vui lòng xin liên h h
ệ otline: 084 283 45 85
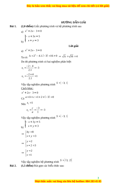
Đây là bản xem th , vu ử i lòng mua tài li u ệ đ xe ể m chi ti t ế (có l i ờ gi i ả ) HƯỚNG D N Ẫ GI I Ả Bài 1. (2,0 đi m) ể Giải phư ng ơ trình và h ph ệ ư ng t ơ rình sau 2 a) x +2x - 3 = 0 ìï - x +3x =5 ïíï b) x + y = 3 ïî L i ờ giải 2 a) x +2x - 3 = 0 2 2 4.1. 3 1 6 0 Ta có: 16 4 Do đó phư ng
ơ trình có hai nghiệm phân biệt 2 4 x 3 1 2.1 2 4 x 1 2 2.1 S 3; 1 Vậy tập nghiệm phư ng t ơ rình Cách khác: 2 x +2x - 3 = 0
a b c 1 2 3 0 Có Nên x 1 1 c 3 x 3 2 a 1 S 3; 1 Vậy tập nghiệm phư ng t ơ rình ìï - x +3y = 5 ïíï b) x + y = 3 ïî 4 y 8 x y 3 y 2 x 2 3 y 2 x 1 S 1; 2 Vậy tập nghiệm h ph ệ ư ng t ơ rình Bài 2. (1,5 đi m) ể Rút g n c ọ ác bi u t ể h c ứ sau: 3 M i ọ thắc m c
ắ vui lòng xin liên h h
ệ otline: 084 283 45 85
Đây là bản xem th , vu ử i lòng mua tài li u ệ đ xe ể m chi ti t ế (có l i ờ gi i ả ) A =( 27 - 12 + 48) 3 a) æ x 1 ö ç ÷ x 1 + B =ç - : ÷ ç ÷ ç ÷ è - - b) x 1 x x ø 3 x v i
ớ 0 < x và x 1 . L i ờ giải A =( 27 - 12 + 48) 3 a) A 9.3 4.3 16.3 3 A 3 3 2 3 4 3 3 A 5 3. 3 A 1 5 æ x 1 ö ç ÷ x 1 + B =ç - : ÷ ç ÷ ç ÷ è - - b) x 1 x x ø 3 x v i
ớ 0 < x và x 1 . æ ö ç x 1 ÷ ç ÷ x 1 + B =ç - ÷ ç ÷ x ç x è ( x ) : 1 1 ÷ ç - - ÷ 3 x ÷ ø æ ö ç x - 1 ÷ ç ÷ 3 x B =ç ÷ ç ÷ ç x è ( x - ) . 1 ÷ ç ÷ x ÷ +1 ø
( x - )1( x + )1 3 x B = x ( x - ) . 1 x +1 B = 3 2 Bài 3. (1,5 đi m) ể Cho hàm s
ố y = x có đ t ồ hị (P) . a) V đ ẽ t
ồ hị (P) trên mặt phẳng t a ọ độ Oxy . 2
b) Tìm giá trị nguyên của tham số m để đư ng ờ th ng
ẳ (d) : y = 2mx - m 1 + cắt (P) t i ạ hai điểm phân bi t ệ có hoành đ l ộ ần lư t ợ là x , x
x < 2024 < x 1 2 th a ỏ mãn 1 2 . L i ờ giải a) V đ ẽ t
ồ hị (P) trên mặt phẳng t a ọ độ Oxy . Bảng giá trị: x 2 1 0 1 2 2 y x 4 1 0 1 4 4 M i ọ thắc m c
ắ vui lòng xin liên h h
ệ otline: 084 283 45 85
Đề thi vào 10 Toán Tỉnh Bình Thuận năm 2023-2024
557
279 lượt tải
MUA NGAY ĐỂ XEM TOÀN BỘ TÀI LIỆU
CÁCH MUA:
- B1: Gửi phí vào TK:
1053587071
- NGUYEN VAN DOAN - Ngân hàng Vietcombank (QR) - B2: Nhắn tin tới Zalo VietJack Official ( nhấn vào đây ) để xác nhận thanh toán và tải tài liệu - giáo án
Liên hệ ngay Hotline hỗ trợ: 084 283 45 85
Đề thi được cập nhật liên tục trong gói này từ nay đến hết tháng 3/2024. Chúng tôi đảm bảo đủ số lượng đề đã cam kết hoặc có thể nhiều hơn, tất cả có BẢN WORD, LỜI GIẢI CHI TIẾT và tải về dễ dàng.
Để tải tài liệu gốc về máy bạn click vào nút Tải Xuống ở trên!
Thuộc bộ (mua theo bộ để tiết kiệm hơn):
- Tailieugiaovien.com.vn giới thiệu Đề thi chính thức môn Toán vào 10 Tỉnh Bình Thuận năm 2023-2024 nhằm giúp Giáo viên có thêm tài liệu tham khảo ra đề thi Toán vào 10.
- File word có lời giải chi tiết 100%.
- Mua trọn bộ sẽ tiết kiệm hơn tải lẻ 50%.
Đánh giá
4.6 / 5(557 )5
4
3
2
1

Trọng Bình
Tài liệu hay
Giúp ích cho tôi rất nhiều

Duy Trần
Tài liệu chuẩn
Rất thích tài liệu bên VJ soạn (bám sát chương trình dạy)
TÀI LIỆU BỘ BÁN CHẠY MÔN Toán Học
Xem thêmTÀI LIỆU BỘ BÁN CHẠY Ôn vào 10
Xem thêmTài liệu bộ mới nhất

Đây là b n xem th , vui lòng mua tài li u đ xem chi ti t (có l i gi i)ả ử ệ ể ế ờ ả
S GIÁO D C ĐÀO T O Ở Ụ Ạ KỲ THI TUY N SINH L P 10Ể Ớ
BÌNH THU NẬ NĂM H C: 2023 – 2024Ọ
Môn: TOÁN (chung)
Khoá thi ngày: 06/6/2022
Th i gian làm bài: 120 phút ờ (không k th i gian giao để ờ ề)
Bài 1. (2,0 đi m)ể Gi i ph ng trình và h ph ng trình sauả ươ ệ ươ :
a)
2
2 3 0x x+ - =
b)
3 5
3
x y
x y
ì
- + =
ï
ï
í
ï
+ =
ï
î
Bài 2. (1,5 đi m)ể Rút g n các bi u th c sau: ọ ể ứ
a)
( )
27 12 48 3A = - +
b)
1 1
:
1 3
x x
B
x x x x
æ ö
+
÷
ç
÷
= -
ç
÷
ç
÷
÷
ç
- -
è ø
v i ớ
0 x<
và
1x
.
Bài 3. (1,5 đi m) ể Cho hàm s ố
2
y x=
có đ thồ ị
( )P
.
a) V đ th ẽ ồ ị
( )P
trên m t ph ng t a đặ ẳ ọ ộ
Oxy
.
b) Tìm giá tr ị nguyên của tham số
m
đ đ ng th ng ể ườ ẳ
2
( ) : 2 1d y mx m= - +
c tắ
( )P
t i haiạ
đi m phân bi t có hoành đ l n l t là ể ệ ộ ầ ượ
1 2
,x x
th a mãn ỏ
1 2
2024x x< <
.
Bài 4. (1,0 đi m)ể M t công ty d đ nh thuê m t s xe l n cùng lo i đ ch v a h t 210 ng i điộ ự ị ộ ố ớ ạ ể ở ừ ế ườ
du l ch Mũi Né. Nh ng th c t , công ty l i thuê toàn b xe nh h n cùng lo i. Bi t r ng sị ư ự ế ạ ộ ỏ ơ ạ ế ằ ố
xe nh phỏ ải thuê nhi u h n s xe l n là 2 chi c thì m i ch v a h t s ng i trên và m i xeề ơ ố ớ ế ớ ở ừ ế ố ườ ỗ
nh chỏ ở ít h n m i xe l n là 12 ng i. Tính s xe nh đã thuê. ơ ỗ ớ ườ ố ỏ
Bài 5. (0,5 đi m)ể M t cái chai có ch a mộ ứ ột l ng n c, ph n ch a n c là hình tr có chi u caoượ ướ ầ ứ ướ ụ ề
10 cm, khi l t ng c chai l i thậ ượ ạ ì ph n không ch a n c cũng là m t hình tr có chiầ ứ ướ ộ ụ ều cao 8
cm (nh hình v bênư ẽ . Bi t th tích c a chai là ế ể ủ
450π
3
cm
. Tính bán kính c a đáy chai (gi sủ ả ử
đ dày c a thành chai và đáy chai không đáng k ).ộ ủ ể
1
M i th c m c vui lòng xin liên h hotline: 084 283 45 85ọ ắ ắ ệ

Đây là b n xem th , vui lòng mua tài li u đ xem chi ti t (có l i gi i)ả ử ệ ể ế ờ ả
Bài 6. (2,0 đi m)ể Cho đ ng tròn ườ
( )O
và đi m ể
A
n m bên ngoài đ ng tròn t ằ ườ ừ
A
, v hai ti pẽ ế
tuy nế
AB
,
AC
(
B
,
C
là hai ti p đi m). ế ể
a) Ch ng minh t giác ứ ứ
ABOC
n i ti p. ộ ế
b) V đ ng kínhẽ ườ
CE
, n i ố
AE
c t đ ng tròn ắ ườ
( )O
t i đi m th hai là ạ ể ứ
F
.
Ch ng minh ứ
2
·AB AE AF=
.
c) Cho
OA
c t ắ
BC
t iạ
H
,
BF
c t ắ
OA
t i ạ
I
. Ch ng minh ứ
I
là trung đi m c aể ủ
AH
.
Bài 7. (0,5 đi m)ể T hình vuông đ u tiên, b n Hùng v hình vuông th hai có các đ nh là trungừ ầ ạ ẽ ứ ỉ
đi m c a các c nh hình vuông th nh t, v ti p hình vuông th ba có các đ nh là trung đi mể ủ ạ ứ ấ ẽ ế ứ ỉ ể
c a các c nh hình vuông th hai và c ti p t c nh v y (xem hình minh h a bên). Gi sủ ạ ứ ứ ế ụ ư ậ ọ ả ử
hình vuông th b y có di n tích b ng ứ ả ệ ằ 32
2
cm
. Tính di n tích hình vuông th năm.ệ ứ
---------------------------------@H tế @---------------------------------
2
M i th c m c vui lòng xin liên h hotline: 084 283 45 85ọ ắ ắ ệ

Đây là b n xem th , vui lòng mua tài li u đ xem chi ti t (có l i gi i)ả ử ệ ể ế ờ ả
H NG D N GI IƯỚ Ẫ Ả
Bài 1. (2,0 đi m)ể Gi i ph ng trình và h ph ng trình sauả ươ ệ ươ
a)
2
2 3 0x x+ - =
b)
3 5
3
x x
x y
ì
- + =
ï
ï
í
ï
+ =
ï
î
L i gi iờ ả
a)
2
2 3 0x x+ - =
Ta có:
2
2 4.1. 3 16 0
16 4
Do đó ph ng trình có hai nghi m phân bi tươ ệ ệ
1
2 4
3
2.1
x
2
2 4
1
2.1
x
V y t p nghi m ph ng trình ậ ậ ệ ươ
3; 1S
Cách khác:
2
2 3 0x x+ - =
Có
1 2 3 0a b c
Nên
1
1x
2
3
3
1
c
x
a
V y t p nghi m ph ng trình ậ ậ ệ ươ
3; 1S
b)
3 5
3
x y
x y
ì
- + =
ï
ï
í
ï
+ =
ï
î
4 8
3
y
x y
2
2 3
y
x
2
1
y
x
V y t p nghi m h ph ng trình ậ ậ ệ ệ ươ
1; 2S
Bài 2. (1,5 đi m)ể Rút g n các bi u th c sau: ọ ể ứ
3
M i th c m c vui lòng xin liên h hotline: 084 283 45 85ọ ắ ắ ệ

Đây là b n xem th , vui lòng mua tài li u đ xem chi ti t (có l i gi i)ả ử ệ ể ế ờ ả
a)
( )
27 12 48 3A = - +
b)
1 1
:
1 3
x x
B
x x x x
æ ö
+
÷
ç
÷
= -
ç
÷
ç
÷
÷
ç
- -
è ø
v i ớ
0 x<
và
1x
.
L i gi iờ ả
a)
( )
27 12 48 3A = - +
9.3 4.3 16.3 3A
3 3 2 3 4 3 3A
5 3. 3A
15A
b)
1 1
:
1 3
x x
B
x x x x
æ ö
+
÷
ç
÷
= -
ç
÷
ç
÷
÷
ç
- -
è ø
v i ớ
0 x<
và
1x
.
( )
1 1
:
1 3
1
x x
B
x x
x x
æ ö
÷
ç
+
÷
ç
÷
= -
ç
÷
ç
÷
ç -
-
÷
÷
ç
è ø
( )
1 3
.
1
1
x x
B
x
x x
æ ö
÷
ç
-
÷
ç
÷
=
ç
÷
ç
÷
ç +
-
÷
÷
ç
è ø
( ) ( )
( )
1 1
3
.
1
1
x x
x
B
x
x x
- +
=
+
-
3B =
Bài 3. (1,5 đi m) ể Cho hàm s ố
2
y x=
có đ thồ ị
( )P
.
a) V đ th ẽ ồ ị
( )P
trên m t ph ng t a đặ ẳ ọ ộ
Oxy
.
b) Tìm giá tr ị nguyên của tham số
m
đ đ ng th ng ể ườ ẳ
2
( ) : 2 1d y mx m= - +
c tắ (P) t i haiạ
đi m phân bi t có hoành đ l n l t là ể ệ ộ ầ ượ
1 2
,x x
th a mãn ỏ
1 2
2024x x< <
.
L i gi iờ ả
a) V đ th ẽ ồ ị
( )P
trên m t ph ng t a đặ ẳ ọ ộ
Oxy
.
B ng giá tr :ả ị
2
2 1 0 1 2
4 1 0 1 4y x
x
4
M i th c m c vui lòng xin liên h hotline: 084 283 45 85ọ ắ ắ ệ

Đây là b n xem th , vui lòng mua tài li u đ xem chi ti t (có l i gi i)ả ử ệ ể ế ờ ả
Đ th hàm s ồ ị ố
2
y x=
là m t Parabol ộ
( )P
đi qua các đi m ể
2; 4
,
1; 1
;
0; 0
;
1; 1
,
2; 4
b) Tìm giá tr ị nguyên của tham số
m
đ đ ng th ng ể ườ ẳ
2
( ) : 2 1d y mx m= - +
c tắ
( )P
t i haiạ
đi m phân bi t có hoành đ l n l t là ể ệ ộ ầ ượ
1 2
,x x
th a mãn ỏ
1 2
2024x x< <
.
Hoành đ giao đi m c a ộ ể ủ
( )d
và
( )P
là nghi m ph ng trình:ệ ươ
22
2 1mxx m
2 2
2 1 0x mx m
1
Đ ng th ng ườ ẳ
( )d
c t ắ
( )P
t i 2 đi m phân bi t khi và ch khi ph ng trình ạ ể ệ ỉ ươ
1
có hai
nghi m phân bi tệ ệ
' 0
2
2
1. 1 0m m
2 2
1 0m m
1 0
(Hi n nhiên)ể
Ph ng trình ươ
1
luôn có 2 nghi m phân bi t ệ ệ
1 2
,x x
hay đ ng th ng ườ ẳ
( )d
luôn c tắ
( )P
t i ạ
hai đi m phân bi t có hoành đ l n l t là ể ệ ộ ầ ượ
1 2
,x x
v i m i giá tr ớ ọ ị
m
.
1
1
1
1
m
x m
1
1
1
1
m
x m
5
M i th c m c vui lòng xin liên h hotline: 084 283 45 85ọ ắ ắ ệ