Đây là bản xem th , vu ử i lòng mua tài li u ệ đ xe ể m chi ti t ế (có l i ờ gi i ả ) KỲ THI TUY N Ể SINH VÀO L P Ớ 10 THPT S G Ở IÁO D C Ụ VÀ ĐÀO T O Ạ NĂM H C Ọ : 2023 - 2024 NGHỆ AN Môn thi: TOÁN Ngày thi: 05/06/2023 Th i
ờ gian: 120 phút (không k t ể h i ờ gian phát Đ Ề THI CHÍNH TH C Ứ đ ) ề Câu 1: (2, 5 đi m ể ) a)
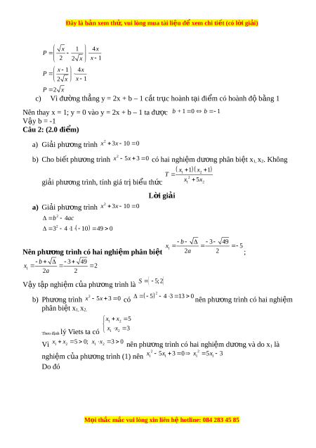
Tính A 4 49 64 x 1 4x P b) Rút g n bi ọ u t ể h c ứ 2 2 x x 1 v i ớ x > 0 và x 1 c) Tìm giá tr c ị a b đ ủ ể đư ng t ờ h ng y = 2x + b – 1 c ẳ t ắ tr c ụ hoành t i ạ đi m ể có hoành đ ộ b ng ằ 1 Câu 2: (2.0 đi m ể ) a) Gi i ả phư ng t ơ rình 2
x 3x 10 0 b) Cho bi t ế phư ng t ơ rình 2 x 5x 3 0 có hai nghiệm dư ng ơ phân bi t ệ x1, x2. Không
x 1 x 1 1 2 T 2 gi i ả phư ng t ơ rình, tính giá tr bi ị u t ể h c ứ x 5x 1 2 Câu 3: (2.0 đi m ể ) a) M t ộ c a ủ hàng kinh doanh xe đ p ạ nh p ậ v ề m t ộ lô hàng g m ồ hai lo i ạ : lo i ạ I có giá trị 2 tri u ệ đ ng/ ồ xe và lo i ạ II có giá tr ị6 tri u ệ đ ng/ ồ xe. Bi t ế r ng
ằ lô hàng trên có 50 xe v i ớ tổng số hàng mà c a ử hàng ph i ả thanh toán là 160 tri u ệ đ ng. ồ H i ỏ c a ử hàng đã nh p ậ về bao nhiêu xe lo i ạ I và bao nhiêu xe lo i ạ II? b) B n ạ An b ỏ m t ộ viên bi đ c ặ không th m ấ nư c ớ vào m t ộ l ọ th y ủ tinh ch a ứ nư c ớ d ng ạ
hình trụ có bán kính đư ng ờ tròn đáy b ng ằ 1,5 cm. Bi t ế r ng
ằ khi viên bi chìm hoàn toàn trong nư c ớ thì nư c
ớ trong lọ dâng lên thêm 0,5 cm. Tính thể tích viên bi bị b n ạ An đã bỏ vào lọ th y ủ tinh ( cho 3 ,14 ; xem độ dày c a
ủ lo không đáng kể và nư c ớ trong lọ không thất thoát ra ngoài M i ọ thắc m c
ắ vui lòng xin liên h h
ệ otline: 084 283 45 85
Đây là bản xem th , vu ử i lòng mua tài li u ệ đ xe ể m chi ti t ế (có l i ờ gi i ả ) AB AC Câu 4 (3,0 đi m
ể ). Cho tam giác nh n ọ ABC , các đư ng cao ờ AD, BE,CF DBC,
E AC,F AB c tắ nhau t iạ H . a) Ch ng ứ minh AEHF là t gi ứ ác n i ộ ti p. ế b) G i ọ O là trung đi m ể c a ủ đo n ạ th ng ẳ BC, M là giao đi m ể c a ủ tia EF và tia CB. · · Ch ng ứ minh r ng ằ FAD O FC và 2 OC O D O M . c) Ch ng ứ minh r ng ằ hai đư ng t ờ h ng ẳ MH và AO vuông góc v i ớ nhau. 2 x 1 2 y 1 4 x, y ¡ 2 2 2 2 x y 1 y x 1 x y 1 Câu 5 (0,5 đi m ể ). Gi i ả h ph ệ ư ng t ơ rình . ------------ H T Ế ------------ Câu 1: (2, 5 đi m ể )
a) Tính A 4 49 64 x 1 4x P b) Rút g n bi ọ u t ể h c ứ 2 2 x x 1 v i ớ x > 0 và x 1 c) Tìm giá tr c ị a b đ ủ đ ể ư ng ờ th ng y = 2x + b – 1 c ẳ t ắ tr c hoành ụ t i ạ đi m ể có hoành đ b ộ ng ằ 1 L i ờ giải a) A 4 49 64 A 2 7 8 A 1 7 x 1 4x P b) 2 2 x x 1 (x > 0 và x 1 ) M i ọ thắc m c
ắ vui lòng xin liên h h
ệ otline: 084 283 45 85
Đây là bản xem th , vu ử i lòng mua tài li u ệ đ xe ể m chi ti t ế (có l i ờ gi i ả ) x 1 4x P 2 2 x x 1 x 1 4x P
2 x x 1 P 2 x c) Vì đư ng ờ th ng y = 2x + b – 1 c ẳ t ắ tr c hoành ụ t i ạ đi m ể có hoành đ b ộ ng ằ 1
Nên thay x = 1; y = 0 vào y = 2x + b – 1 ta đư c ợ b + 1 0 b 1 V y ậ b = -1 Câu 2: (2.0 đi m ể ) a) Gi i ả phư ng t ơ rình 2
x 3x 10 0 b) Cho bi t ế phư ng t ơ rình 2 x 5x 3 0 có hai nghiệm dư ng ơ phân bi t ệ x1, x2. Không
x 1 x 1 1 2 T 2 gi i ả phư ng t ơ rình, tính giá tr bi ị u t ể h c ứ x 5x 1 2 L i ờ giải a) Gi i ả phư ng t ơ rình 2
x 3x 10 0 2 b 4ac 2 3 4 1 10 4 9 0 b 3 49 x 5 Nên phư ng t ơ rình có hai nghi m ệ phân bi t ệ 1 2a 2 ; b 3 49 x 2 1 2a 2 V y ậ t p nghi ậ m ệ c a ph ủ ư ng ơ trình là S 5; 2 b) Phư ng ơ trình 2 x 5x 3 0 có 2 5 4 3 1 3 0 nên phư ng ơ trình có hai nghi m ệ phân biệt x1, x2. x x 5 1 2 x x 3 1 2 Theo đ n ị h lý Viets ta có Vì x x 5 0; x x 3 0 1 2 1 2 nên phư ng ơ trình có hai nghi m ệ dư ng ơ và do x1 là 2 2 nghiệm c a ph ủ ư ng
ơ trình (1) nên x 5x 3 0 x 5 x 3 1 1 1 1 Do đó M i ọ thắc m c
ắ vui lòng xin liên h h
ệ otline: 084 283 45 85
Đây là bản xem th , vu ử i lòng mua tài li u ệ đ xe ể m chi ti t ế (có l i ờ gi i ả )
x 1 x 1 1 2 T 2 x 5x 1 2 x x
x x 1 3 5 1 9 1 2 1 2 T
5 x x 3 5 5 3 22 1 2 Câu 3: (2.0 đi m ể ) a) M t ộ c a ủ hàng kinh doanh xe đ p ạ nh p ậ về m t ộ lô hàng g m ồ hai lo i ạ : lo i ạ I có giá tr ị2 tri u ệ đ ng/ ồ xe và lo i ạ II có giá tr ị6 tri u ệ đ ng/ ồ xe. Bi t ế r ng
ằ lô hàng trên có 50 xe v i ớ t ng ổ số hàng mà c a ử hàng ph i ả thanh toán là 160 tri u ệ đ ng. ồ H i ỏ c a ử hàng đã nh p ậ về bao nhiêu xe lo i ạ I và bao nhiêu xe lo i ạ II? L i ờ giải G i ọ x (xe) là số xe lo i ạ I c a ủ m t ộ c a hàng ( ử x > 0) Số xe lo i ạ II c a ủ m t ộ c a ủ hàng là 50 – x (xe) Số ti n ph ề i ả thanh toán xe lo i ạ I là 2x (tri u đ ệ ng) ồ Số ti n ph ề i ả thanh toán xe lo i ạ II là 6(50-x) (tri u đ ệ ng) ồ T ng s ổ ố ti n ề c a hàng ph ử i
ả thanh toán là 160 tri u đ ệ ng nên t ồ a có phư ng ơ trình :
2x 6 50 – x 160
4x 140 x 3 5(n) V y ậ xe lo i ạ I là 35 xe Xe lo i ạ II là 15 xe b) B n ạ An b ỏ m t ộ viên bi đ c ặ không th m ấ nư c ớ vào m t ộ l ọ th y ủ tinh ch a ứ nư c ớ d ng ạ
hình trụ có bán kính đư ng ờ tròn đáy b ng ằ 1,5 cm. Bi t ế r ng
ằ khi viên bi chìm hoàn toàn trong nư c ớ thì nư c
ớ trong lọ dâng lên thêm 0,5 cm. Tính thể tích viên bi bị b n ạ An đã bỏ vào lọ th y ủ tinh (cho 3 ,14 ; xem độ dày c a
ủ lo không đáng kể và nư c ớ trong lọ không thất thoát ra ngoài L i ờ giải Th t ể ích viên bi b b ị n ạ An đã b vào l ỏ t ọ h y t ủ inh b ng ằ th t ể ích nư c dâng ớ lên trong l ọ so v i ớ ban đầu. 2 V R h 3 ,14 1 ,5 0 ,5 3 , 5325 cm3 Câu 4: (3.0 đi m ể ) Cho tam giác nh n
ọ ABC (AB < AC), các đư ng
ờ cao AD, BE, CF ( (D BC, E AC, F AB) c t ắ nhau t i ạ H. M i ọ thắc m c
ắ vui lòng xin liên h h
ệ otline: 084 283 45 85
Đề thi vào 10 Toán Tỉnh Nghệ An năm 2023-2024
507
254 lượt tải
MUA NGAY ĐỂ XEM TOÀN BỘ TÀI LIỆU
CÁCH MUA:
- B1: Gửi phí vào TK:
1053587071
- NGUYEN VAN DOAN - Ngân hàng Vietcombank (QR) - B2: Nhắn tin tới Zalo VietJack Official ( nhấn vào đây ) để xác nhận thanh toán và tải tài liệu - giáo án
Liên hệ ngay Hotline hỗ trợ: 084 283 45 85
Đề thi được cập nhật liên tục trong gói này từ nay đến hết tháng 3/2024. Chúng tôi đảm bảo đủ số lượng đề đã cam kết hoặc có thể nhiều hơn, tất cả có BẢN WORD, LỜI GIẢI CHI TIẾT và tải về dễ dàng.
Để tải tài liệu gốc về máy bạn click vào nút Tải Xuống ở trên!
Thuộc bộ (mua theo bộ để tiết kiệm hơn):
- Tailieugiaovien.com.vn giới thiệu Đề thi chính thức môn Toán vào 10 Tỉnh Nghệ An năm 2023-2024 nhằm giúp Giáo viên có thêm tài liệu tham khảo ra đề thi Toán vào 10.
- File word có lời giải chi tiết 100%.
- Mua trọn bộ sẽ tiết kiệm hơn tải lẻ 50%.
Đánh giá
4.6 / 5(507 )5
4
3
2
1

Trọng Bình
Tài liệu hay
Giúp ích cho tôi rất nhiều

Duy Trần
Tài liệu chuẩn
Rất thích tài liệu bên VJ soạn (bám sát chương trình dạy)
TÀI LIỆU BỘ BÁN CHẠY MÔN Toán Học
Xem thêmTÀI LIỆU BỘ BÁN CHẠY Ôn vào 10
Xem thêmTài liệu bộ mới nhất

Đây là b n xem th , vui lòng mua tài li u đ xem chi ti t (có l i gi i)ả ử ệ ể ế ờ ả
S GIÁO D C VÀ ĐÀO T O Ở Ụ Ạ
NGH ANỆ
KỲ THI TUY N SINH VÀO L P 10 THPTỂ Ớ
NĂM H CỌ : 2023 - 2024
Môn thi: TOÁN
Ngày thi: 05/06/2023
Th i gian: 120 phút (không k th i gian phátờ ể ờ
đ )ề
Câu 1: (2, 5 đi m)ể
a) Tính
4 49 64A
b) Rút g n bi u th c ọ ể ứ
1 4
2 1
2
x x
P
x
x
v i x > 0 và ớ
1x
c) Tìm giá tr c a b đ đ ng th ng y = 2x + b – 1 c t tr c hoành t i đi m có hoành đ ị ủ ể ườ ẳ ắ ụ ạ ể ộ
b ng 1ằ
Câu 2: (2.0 đi m)ể
a) Gi i ph ng trình ả ươ
2
3 10 0x x
b) Cho bi t ph ng trình ế ươ
2
5 3 0x x
có hai nghi m d ng phân bi t xệ ươ ệ
1,
x
2
. Không
gi i ph ng trình, tính giá tr bi u th c ả ươ ị ể ứ
1 2
2
1 2
1 1
5
x x
T
x x
Câu 3: (2.0 đi m)ể
a) M t c a hàng kinh doanh xe đ p nh p v m t lô hàng g m hai lo i: lo i I có giá trộ ủ ạ ậ ề ộ ồ ạ ạ ị
2 tri u đ ng/xe và lo i II có giá tr 6 tri u đ ng/xe. Bi t r ng lô hàng trên có 50 xe v iệ ồ ạ ị ệ ồ ế ằ ớ
t ng s hàng mà c a hàng ph i thanh toán là 160 tri u đ ng. H i c a hàng đã nh p vổ ố ử ả ệ ồ ỏ ử ậ ề
bao nhiêu xe lo i I và bao nhiêu xe lo i II?ạ ạ
b) B n An b m t viên bi đ c không th m n c vào m t l th y tinh ch a n c d ngạ ỏ ộ ặ ấ ướ ộ ọ ủ ứ ướ ạ
hình tr có bán kính đ ng tròn đáy b ng 1,5 cm. Bi t r ng khi viên bi chìm hoàn toànụ ườ ằ ế ằ
trong n c thì n c trong l dâng lên thêm 0,5 cm. Tính th tích viên bi b b n An đãướ ướ ọ ể ị ạ
b vào l th y tinh ( cho ỏ ọ ủ
3,14
; xem đ dày c a lo không đáng k và n c trong lộ ủ ể ướ ọ
không th t thoát ra ngoàiấ
M i th c m c vui lòng xin liên h hotline: 084 283 45 85ọ ắ ắ ệ
Đ THI CHÍNH TH CỀ Ứ

Đây là b n xem th , vui lòng mua tài li u đ xem chi ti t (có l i gi i)ả ử ệ ể ế ờ ả
Câu 4 (3,0 đi m).ể Cho tam giác nh n ọ
ABC
AB AC
, các đ ng cao ườ
AD,BE,CF
D BC,
E AC,F AB
c t nhau t i ắ ạ
H
.
a) Ch ng minh ứ
AEHF
là t giác n i ti p.ứ ộ ế
b) G i ọ
O
là trung đi m c a đo n th ng ể ủ ạ ẳ
BC
,
M
là giao đi m c a tia ể ủ
EF
và tia
CB
.
Ch ng minh r ng ứ ằ
·
·
FAD OFC
và
2
OC OD OM
.
c) Ch ng minh r ng hai đ ng th ng ứ ằ ườ ẳ
MH
và
AO
vuông góc v i nhau.ớ
Câu 5 (0,5 đi m).ể Gi i h ph ng trình ả ệ ươ
2 2
2 2 2 2
x 1 y 1 4
x, y
x y 1 y x 1 x y 1
¡
.
------------ H TẾ ------------
Câu 1: (2, 5 đi m)ể
a) Tính
4 49 64A
b) Rút g n bi u th c ọ ể ứ
1 4
2 1
2
x x
P
x
x
v i x > 0 và ớ
1x
c) Tìm giá tr c a b đ đ ng th ng y = 2x + b – 1 c t tr c hoành t i đi m có hoành ị ủ ể ườ ẳ ắ ụ ạ ể
đ b ng 1ộ ằ
L i gi iờ ả
a)
4 49 64
2 7 8
17
A
A
A
b)
1 4
2 1
2
x x
P
x
x
(x > 0 và
1x
)
M i th c m c vui lòng xin liên h hotline: 084 283 45 85ọ ắ ắ ệ

Đây là b n xem th , vui lòng mua tài li u đ xem chi ti t (có l i gi i)ả ử ệ ể ế ờ ả
1 4
2 1
2
1 4
1
2
2
x x
P
x
x
x x
P
x
x
P x
c) Vì đ ng th ng y = 2x + b – 1 c t tr c hoành t i đi m có hoành đ b ng 1ườ ẳ ắ ụ ạ ể ộ ằ
Nên thay x = 1; y = 0 vào y = 2x + b – 1 ta đ c ượ
+ 1 0 1b b
V y b = -1 ậ
Câu 2: (2.0 đi m)ể
a) Gi i ph ng trình ả ươ
2
3 10 0x x
b) Cho bi t ph ng trình ế ươ
2
5 3 0x x
có hai nghi m d ng phân bi t xệ ươ ệ
1,
x
2
. Không
gi i ph ng trình, tính giá tr bi u th c ả ươ ị ể ứ
1 2
2
1 2
1 1
5
x x
T
x x
L i gi iờ ả
a) Gi i ph ng trình ả ươ
2
3 10 0x x
2
2
4
3 4 1 10 49 0
b ac
Nên ph ng trình có hai nghi m phân bi t ươ ệ ệ
1
3 49
5
2 2
b
x
a
;
1
3 49
2
2 2
b
x
a
V y t p nghi m c a ph ng trình là ậ ậ ệ ủ ươ
5;2S
b) Ph ng trình ươ
2
5 3 0x x
có
2
5 4 3 13 0
nên ph ng trình có hai nghi m ươ ệ
phân bi t xệ
1,
x
2.
Theo đ nh ị
lý Viets ta có
1 2
1 2
5
3
x x
x x
Vì
1 2 1 2
5 0; 3 0x x x x
nên ph ng trình có hai nghi m d ng và do xươ ệ ươ
1
là
nghi m c a ph ng trình (1) nên ệ ủ ươ
2 2
1 1 1 1
5 3 0 5 3x x x x
Do đó
M i th c m c vui lòng xin liên h hotline: 084 283 45 85ọ ắ ắ ệ

Đây là b n xem th , vui lòng mua tài li u đ xem chi ti t (có l i gi i)ả ử ệ ể ế ờ ả
1 2
2
1 2
1 2 1 2
1 2
1 1
5
1 3 5 1 9
5 3 5 5 3 22
x x
T
x x
x x x x
T
x x
Câu 3: (2.0 đi m)ể
a) M t c a hàng kinh doanh xe đ p nh p v m t lô hàng g m hai lo i: lo i I có giá tr 2ộ ủ ạ ậ ề ộ ồ ạ ạ ị
tri u đ ng/xe và lo i II có giá tr 6 tri u đ ng/xe. Bi t r ng lô hàng trên có 50 xe v i t ngệ ồ ạ ị ệ ồ ế ằ ớ ổ
s hàng mà c a hàng ph i thanh toán là 160 tri u đ ng. H i c a hàng đã nh p v baoố ử ả ệ ồ ỏ ử ậ ề
nhiêu xe lo i I và bao nhiêu xe lo i II?ạ ạ
L i gi iờ ả
G i x (xe) là s xe lo i I c a m t c a hàng (x > 0)ọ ố ạ ủ ộ ử
S xe lo i II c a m t c a hàng là 50 – x (xe)ố ạ ủ ộ ủ
S ti n ph i thanh toán xe lo i I là 2x (tri u đ ng)ố ề ả ạ ệ ồ
S ti n ph i thanh toán xe lo i II là 6(50-x) (tri u đ ng)ố ề ả ạ ệ ồ
T ng s ti n c a hàng ph i thanh toán là 160 tri u đ ng nên ta có ph ng trìnhổ ố ề ử ả ệ ồ ươ :
–
4 140
35( )
x
x n
2x 6 50 x 160
V y xe lo i I là 35 xeậ ạ
Xe lo i II là 15 xeạ
b) B n An b m t viên bi đ c không th m n c vào m t l th y tinh ch a n c d ngạ ỏ ộ ặ ấ ướ ộ ọ ủ ứ ướ ạ
hình tr có bán kính đ ng tròn đáy b ng 1,5 cm. Bi t r ng khi viên bi chìm hoàn toànụ ườ ằ ế ằ
trong n c thì n c trong l dâng lên thêm 0,5 cm. Tính th tích viên bi b b n An đãướ ướ ọ ể ị ạ
b vào l th y tinh (cho ỏ ọ ủ
3,14
; xem đ dày c a lo không đáng k và n c trong lộ ủ ể ướ ọ
không th t thoát ra ngoàiấ
L i gi iờ ả
Th tích viên bi b b n An đã b vào l th y tinh b ng th tích n c dâng lên trong l ể ị ạ ỏ ọ ủ ằ ể ướ ọ
so v i ban đ u.ớ ầ
2
3,14 1,5 0,5 3,5325V R h
cm
3
Câu 4: (3.0 đi m)ể
Cho tam giác nh n ABC (AB < AC), các đ ng cao AD, BE, CF (ọ ườ
( , , )D BC E AC F AB
c t nhau t i H.ắ ạ
M i th c m c vui lòng xin liên h hotline: 084 283 45 85ọ ắ ắ ệ

Đây là b n xem th , vui lòng mua tài li u đ xem chi ti t (có l i gi i)ả ử ệ ể ế ờ ả
a) Ch ng minh AEHF là t giác n i ti p.ứ ứ ộ ế
b) G i O là trung đi m c a đo n th ng BC, M là giao đi m c a tia EF và tia CB. ọ ể ủ ạ ẳ ể ủ
Ch ng minh r ng ứ ằ
FAD OFC
và
2
OC OD OM
c) Ch ng minh r ng hai đ ng th ng MH và AO vuông góc v i nhau.ứ ằ ườ ẳ ớ
L i gi iờ ả
a) T giác AEHF có:ứ
0
0
AEH 90
AFH 90
BE AC
CF AB
0
AEH AFH 180
Suy ra t giác AEHF n i ti p ( t ng hai góc đ i b ng 180ứ ộ ế ổ ố ằ
0
)
M i th c m c vui lòng xin liên h hotline: 084 283 45 85ọ ắ ắ ệ