Đây là bản xem th , vu ử i lòng mua tài li u ệ đ xe ể m chi ti t (c ế ó l i ờ gi i ả ) S G Ở IÁO D C Ụ VÀ ĐÀO T O Ạ
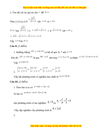
ĐỀ THI TUYỂN SINH VÀO L P Ớ 10 THPT THANH HÓA NĂM H C Ọ 2023 - 2024 MÔN : TOÁN Th i ờ gian: 120 phút Ngày thi : 10/06/2023 x x 1 2 5 x P Câu I. (2đi m ể ) Cho bi u t ể h c : ứ x 2 x 2 x 4 v i ớ x 0 và x 4 1. Rút g n bi ọ u t ể h c ứ 2. Tìm tất c các ả giá tr c ị a ủ x đ ể P 1
Câu II. (2,0 đi m ể ) 1. Trong m t ặ ph ng ẳ t a
ọ độ Oxy , cho đư ng ờ th ng
ằ d có phư ng ơ trình y ax b . Tìm a,b đ đ ể ư ng t ờ h ng
ẳ d có hệ số góc b ng ằ 3 và đi qua đi m ể M 1;2 . 3 x y 6 2. Gi i ả h ph ệ ư ng t ơ
rình x y 2
Câu III. (2 đi m ể ) 1. Gi i ả phư ng ơ trình 2 x 3x 2 0 2. Cho phư ng ơ trình 2 2
x 2mx m 2 0 ( m là tham s ) ố . Tìm các giá trị c a ủ m để phư ng ơ trình có 2 nghi m ệ x ; x x x 1 2 (v i ớ 1 2 ) th a ỏ mãn hệ th c ứ 2
x 2 x 3x x 3
m 3m 4 2 1 1 2
Câu IV. (3 đi m ể ) Cho đư ng
ờ tròn O và đi m ể M n m ằ ngoài đư ng ờ tròn .Từ đi m ể M kẻ hai ti p ế tuy n
ế MA và MB đ n ế O ( v i ớ , A B là hai ti p ế đi m ể ). G i ọ C là đi m ể đ i ố x ng v ứ i
ớ B qua O , đư ng t ờ h ng ẳ MC c t ắ đư ng ờ tròn O t i
ạ D ( D khác C ) 1. Ch ng ứ minh r ng : ằ MAOB n i ộ ti p ế M i ọ thắc m c
ắ vui lòng xin liên h h
ệ otline: 084 283 45 85
Đây là bản xem th , vu ử i lòng mua tài li u ệ đ xe ể m chi ti t (c ế ó l i ờ gi i ả ) 2. G i ọ N là giao c a hai ủ đư ng ờ th ng ẳ
AD và MO . ch ng m ứ inh r ng ằ 2 MN . ND NA 3. G i ọ H là giao đi m ể c a ủ hai đư ng ờ th ng ẳ
MO và AB . Ch ng ứ minh r ng ằ 2 HA AC 1 HD HN 2 2 2
Câu V. (1.0 đi m
ể ) Cho các số th c
ự không âm x, y, z th a m ỏ ãn: 4x y 4z 6 y 1 16 8 2 2 2 Tìm giá tr nh ị nh ỏ t ấ c a bi ủ u t ể h c: ứ M = (z 1) (y 4) (x 3) +2023 S G Ở IÁO D C Ụ VÀ ĐÀO T O Ạ HƯ N
Ớ DẪN GIẢI ĐỀ THI TUYỂN SINH VÀO THANH HÓA L P Ớ 10 THPT NĂM H C Ọ 2023 - 2024 MÔN : TOÁN Th i ờ gian: 120 phút Ngày thi : 10/06/2023 Câu I. (2đi m ể ) 1. Rút g n ọ P . ĐKXĐ : v i ớ x 0 và x 4 x x 1 2 5 x P x 2 x 2 x 4
x ( x 2) ( x 1)( x 2) 2 5 x
( x 2)( x 2)
x 2 x x 3 x 2 2 5 x 2x 4 x
( x 2)( x 2)
( x 2)( x 2) 2 x( x 2) 2 x
( x 2)( x 2) x 2 2 x V y ậ P =
x 2 với x 0 và x 4 M i ọ thắc m c
ắ vui lòng xin liên h h
ệ otline: 084 283 45 85
Đây là bản xem th , vu ử i lòng mua tài li u ệ đ xe ể m chi ti t (c ế ó l i ờ gi i ả ) 2. Tìm tất c các ả giá tr c ị a ủ x đ ể P 1 2 x Theo ý (1) ta có P
x 2 với x 0 và x 4 2 x
P 1 hay x 2 > 1 2 x x 2 ( vì x 2 0 với x 0 ) 2 x x 2
x 2 x 4 V y
ậ x 4 thì P 1
Câu II. (2 đi m ể ) 1. Đư ng ờ th ng ằ
d : y ax b có hệ số góc là 3 nên a 3
Khi đó: d : y 3
x b đi qua M 1;2 nên thay x 1; y 2 ta đư c: ợ 2 3 . 1 b b 5 V y ậ a 3 ;b 5 3 x y 6 4x 4 x 1 x 1 2. x y 2 x y 2 1 y 2 y 3 V y ậ h ph ệ ư ng t ơ rình có nghi m ệ duy nh t ấ là (x; y) ( 1;3)
Câu III. (2 đi m ể )
1. Theo bài ra ta có: a 1
;b 3; c 2 Ta l i
ạ có: a b c 1 3 2 0 c 2 x 2 nên phư ng ơ trình có hai nghi m ệ : x 1 2 1 và a 1 S 1; 2 V y t ậ p ậ nghi m ệ c a ủ phư ng t ơ rình là 2. M i ọ thắc m c
ắ vui lòng xin liên h h
ệ otline: 084 283 45 85
Đây là bản xem th , vu ử i lòng mua tài li u ệ đ xe ể m chi ti t (c ế ó l i ờ gi i ả ) 2 2
x 2mx m 2 0 a 1 0 2 Vì và ac m 2 0 Nên phư ng t ơ rình có 2 nghi m ệ trái d u v ấ i ớ m i ọ m Mà x x x 0 x
x x ; x x 1 2 nên 1 2 suy ra 1 1 2 2 x x 2m 1 2 2 x .x m 2(3) Khi đó theo đ nh l ị í vi- ét ta có: 1 2 2 Thay vào đ r
ề a ta có: x 2 x 3x x 3
m 3m 4 2 1 1 2 2
x 2x 3x x 3
m 3m 4 2 1 1 2 x 2x 3 m 2 2 1 x x 2m (1) 1 2
x 2x 3 m 2 (2) 1 2
Lấy (1) – (2) Suy ra x m 2; x m 2 1 2 Thay vào (3) Ta đư c: ơ 2 2
m 4 m 2 m 1 V y ậ m 1
Câu IV. (3 đi m ể ) M i ọ thắc m c
ắ vui lòng xin liên h h
ệ otline: 084 283 45 85
Đề thi vào 10 Toán Tỉnh Thanh Hóa năm 2023-2024
827
414 lượt tải
MUA NGAY ĐỂ XEM TOÀN BỘ TÀI LIỆU
CÁCH MUA:
- B1: Gửi phí vào TK:
1053587071
- NGUYEN VAN DOAN - Ngân hàng Vietcombank (QR) - B2: Nhắn tin tới Zalo VietJack Official ( nhấn vào đây ) để xác nhận thanh toán và tải tài liệu - giáo án
Liên hệ ngay Hotline hỗ trợ: 084 283 45 85
Đề thi được cập nhật liên tục trong gói này từ nay đến hết tháng 3/2024. Chúng tôi đảm bảo đủ số lượng đề đã cam kết hoặc có thể nhiều hơn, tất cả có BẢN WORD, LỜI GIẢI CHI TIẾT và tải về dễ dàng.
Để tải tài liệu gốc về máy bạn click vào nút Tải Xuống ở trên!
Thuộc bộ (mua theo bộ để tiết kiệm hơn):
- Tailieugiaovien.com.vn giới thiệu Đề thi chính thức môn Toán vào 10 Tỉnh Thanh Hóa năm 2023-2024 nhằm giúp Giáo viên có thêm tài liệu tham khảo ra đề thi Toán vào 10.
- File word có lời giải chi tiết 100%.
- Mua trọn bộ sẽ tiết kiệm hơn tải lẻ 50%.
Đánh giá
4.6 / 5(827 )5
4
3
2
1

Trọng Bình
Tài liệu hay
Giúp ích cho tôi rất nhiều

Duy Trần
Tài liệu chuẩn
Rất thích tài liệu bên VJ soạn (bám sát chương trình dạy)
TÀI LIỆU BỘ BÁN CHẠY MÔN Toán Học
Xem thêmTÀI LIỆU BỘ BÁN CHẠY Ôn vào 10
Xem thêmTài liệu bộ mới nhất

Đây là b n xem th , vui lòng mua tài li u đ xem chi ti t (có l i gi i)ả ử ệ ể ế ờ ả
S GIÁO D C VÀ ĐÀO T OỞ Ụ Ạ
THANH HÓA
Đ THI TUY N SINH VÀO L P 10 THPTỀ Ể Ớ
NĂM H C 2023 - 2024Ọ
MÔN : TOÁN
Th i gian: 120 phútờ
Ngày thi : 10/06/2023
Câu I. (2đi m)ể Cho bi u th c : ể ứ
1 2 5
4
2 2
x x x
P
x
x x
v i ớ
0x
và
4x
1. Rút g n bi u th cọ ể ứ
2. Tìm t t c các giá tr c a ấ ả ị ủ
x
đ ể
1P
Câu II. (2,0 đi m)ể
1. Trong m t ph ng t a đ ặ ẳ ọ ộ
Oxy
, cho đ ng th ng ườ ằ
d
có ph ng trình ươ
y ax b
.
Tìm
,a b
đ đ ng th ng ể ườ ẳ
d
có h s góc b ng ệ ố ằ
3
và đi qua đi m ể
1;2M
.
2. Gi i h ph ng trình ả ệ ươ
3 6
2
x y
x y
Câu III. (2 đi m)ể
1. Gi i ph ng trình ả ươ
2
3 2 0x x
2. Cho ph ng trình ươ
2 2
2 2 0x mx m
(
m
là tham s ). Tìm các giá tr c a ố ị ủ
m
để
ph ng trình có 2 nghi m ươ ệ
1 2
;x x
(v i ớ
1 2
x x
) th a mãn h th cỏ ệ ứ
2
2 1 1 2
2 3 3 3 4x x x x m m
Câu IV. (3 đi m)ể Cho đ ng tròn ườ
O
và đi m ể
M
n m ngoài đ ng tròn .T đi m ằ ườ ừ ể
M
k hai ti p tuy n ẻ ế ế
MA
và
MB
đ n ế
O
( v iớ
,A B
là hai ti p đi m ). G i ế ể ọ
C
là đi m đ iể ố
x ng v i ứ ớ
B
qua
O
, đ ng th ng ườ ẳ
MC
c t đ ng tròn ắ ườ
O
t i ạ
D
(
D
khác
C
)
1. Ch ng minh r ng : ứ ằ
MAOB
n i ti p ộ ế
M i th c m c vui lòng xin liên h hotline: 084 283 45 85ọ ắ ắ ệ

Đây là b n xem th , vui lòng mua tài li u đ xem chi ti t (có l i gi i)ả ử ệ ể ế ờ ả
2. G i N là giao c a hai đ ng th ng ọ ủ ườ ẳ
AD
và
MO
. ch ng minh r ngứ ằ
2
.MN ND NA
3. G i ọ
H
là giao đi m c a hai đ ng th ng ể ủ ườ ẳ
MO
và
AB
. Ch ng minh r ngứ ằ
2
1
HA AC
HD HN
Câu V. (1.0 đi m)ể Cho các s th c không âm ố ự
, ,x y z
th a mãn: ỏ
2 2 2
4x y 4z 6y
Tìm giá tr nh nh t c a bi u th c: M =ị ỏ ấ ủ ể ứ
2 2 2
1 16 8
(z 1) (y 4) (x 3)
+2023
S GIÁO D C VÀ ĐÀO T OỞ Ụ Ạ
THANH HÓA
H N D N GI I Đ THI TUY N SINH VÀOƯỚ Ẫ Ả Ề Ể
L P 10 THPTỚ
NĂM H C 2023 - 2024Ọ
MÔN : TOÁN
Th i gian: 120 phútờ
Ngày thi : 10/06/2023
Câu I. (2đi m)ể
1. Rút g n ọ
P
. ĐKXĐ : v i ớ
0x
và
4x
1 2 5
4
2 2
( 2) ( 1)( 2) 2 5
( 2)( 2)
x x x
P
x
x x
x x x x x
x x
2 3 2 2 5 2 4
( 2)( 2) ( 2)( 2)
2 ( 2) 2
( 2)( 2) 2
x x x x x x x
x x x x
x x x
x x x
V y P = ậ
2
2
x
x
với
0x
và
4x
M i th c m c vui lòng xin liên h hotline: 084 283 45 85ọ ắ ắ ệ

Đây là b n xem th , vui lòng mua tài li u đ xem chi ti t (có l i gi i)ả ử ệ ể ế ờ ả
2. Tìm t t c các giá tr c a ấ ả ị ủ
x
đ ể
1P
Theo ý (1) ta có P
2
2
x
x
với
0x
và
4x
1P
hay
2
2
x
x
> 1
2 2x x
( vì
2 0 x
với
0x
)
2 2 2 4x x x x
V y ậ
4x
thì
1P
Câu II. (2 đi m)ể
1. Đ ng th ng ườ ằ
: d y ax b
có h s góc là ệ ố
3
nên
3a
Khi đó:
: 3 d y x b
đi qua
1;2M
nên thay
1; 2 x y
ta đ c: ượ
2 3. 1 5 b b
V y ậ
3; 5 a b
2.
3 6 4 4 1 1
2 2 1 2 3
x y x x x
x y x y y y
V y h ph ng trình có nghi m duy nh t là ậ ệ ươ ệ ấ
( ; ) (1;3)x y
Câu III. (2 đi m)ể
1. Theo bài ra ta có:
1; 3; 2 a b c
Ta l i có: ạ
1 3 2 0 a b c
nên ph ng trình có hai nghi m: ươ ệ
1
1x
và
2
2
2
1
c
x
a
V y t p nghi m c a ph ng trình là ậ ậ ệ ủ ươ
1;2S
2.
M i th c m c vui lòng xin liên h hotline: 084 283 45 85ọ ắ ắ ệ

Đây là b n xem th , vui lòng mua tài li u đ xem chi ti t (có l i gi i)ả ử ệ ể ế ờ ả
2 2
2 2 0 x mx m
Vì
1 0a
và
2
2 0ac m
Nên ph ng trình có 2 nghi m trái d u v i m i ươ ệ ấ ớ ọ
m
Mà
1 2
x x
nên
1 2
0x x
suy ra
1 1 2 2
;x x x x
Khi đó theo đ nh lí vi- ét ta có: ị
1 2
2
1 2
2
. 2(3)
x x m
x x m
Thay vào đ ra ta có:ề
2
2 1 1 2
2 3 3 3 4x x x x m m
2
2 1 1 2
2 3 3 3 4x x x x m m
2 1
2 3 2x x m
1 2
1 2
2 (1)
2 3 2 (2)
x x m
x x m
L y (1) – (2) Suy ra ấ
1 2
2; 2x m x m
Thay vào (3) Ta đ c: ươ
2 2
4 2m m
1m
V y ậ
1m
Câu IV. (3 đi m)ể
M i th c m c vui lòng xin liên h hotline: 084 283 45 85ọ ắ ắ ệ

Đây là b n xem th , vui lòng mua tài li u đ xem chi ti t (có l i gi i)ả ử ệ ể ế ờ ả
1. Vì
MA
và
MB
là hai ti p tuy n c a đ ng tròn ế ế ủ ườ
O
Nên
0
90MAO
và
0
90MBO
Xét t giácứ
MAOB
có :
0 0 0
90 90 180 MAO MBO
. Hai góc này đ i nhauố
Suy ra t giác ứ
MAOB
n i ti p ộ ế
2. Nh n th y ậ ấ
/ /MN AC
(vì cùng vuông góc v i ớ
AH
)
Do đó
DMN ACM
(so le trong)
Mà
MAD ACM
(cùng ch n cung ắ
AD
)
Suy ra
DMN MAD
Xét
MND
và
ANM
có:
N
là góc chung
DMN MAN MAD
Suy ra
MND
ANM
(g.g)
MN NA
ND MN
2
.MN ND NA
3. D th y ễ ấ
2
.MA MD MC
và
2
.MA MH MO
(h th c v c nh và đ ng cao trong tam giác vuông ệ ứ ề ạ ườ
MAO
)
M i th c m c vui lòng xin liên h hotline: 084 283 45 85ọ ắ ắ ệ