Đây là bản xem th , vu ử i lòng mua tài li u ệ đ xe ể m chi ti t (c ế ó l i ờ gi i ả ) SỞ GIÁO D C Ụ VÀ ĐÀO T O Ạ KỲ THI TUY N Ể SINH TRUNG H C Ọ PH Ổ THÔNG T N Ỉ H TI N Ề GIANG
NĂM HỌC 2023 – 2024 Môn thi: TOÁN Đ Ề THI CHÍNH TH C Ứ
Thời gian làm bài: 90 phút (không kể thời gian phát đ ) ề
(Đề thi có 01 trang, g m ồ 06 bài) Ngày thi: 05/6/2023
Bài 1: (2,5 điểm) 3 A 27 3 1. Tính giá trị c a ủ bi u ể th c ứ : 3 . 2. Giải các phư ng ơ trình và h ph ệ ư ng t ơ rình sau: 3 x y 2 4 2 a) 2
x 3x 10 0
b) x 8x 9 0
c) x y 6
Bài 2: (2,0 điểm) 2 Trong mặt phẳng t a ọ đ O
ộ xy, cho parabol (P): y x và đư ng ờ thẳng (d): y 2 x 3 . 1. V pa ẽ rabol (P) và đư ng ờ th ng (d) t ẳ rên cùng một m t ặ ph ng t ẳ a ọ đ . ộ
2. Bằng phép tính, tìm tọa đ c ộ ác giao đi m ể c a ủ (P) và (d).
Bài 3: (1,5 điểm) 1. G i ọ x x 2 1 và 2 là hai nghiệm c a ủ phư ng t ơ
rình x x 10 0 . Không giải phư ng ơ 2 2 trình, tính giá tr c ị ủa bi u t
ể hức Ax x 3x x 1 2 1 2 2 1
x m 2 1 x m 1 0 2. Tìm tất c c ả ác giá trị c a ủ tham s ố m để phư ng ơ trình 4 có hai nghi m ệ phân bi t ệ .
Bài 4: (1,0 điểm) M t ộ khu vư n ờ hình ch nh ữ ật có di n t ệ ích bằng 150 m2. H i ỏ khu vư n ờ có chi u dà ề i và chiều r ng b ộ ằng bao nhiêu mét, bi t ế rằng chi u dà ề i l n h ớ n ơ chi u r ề ng 5m ộ ?
Bài 5: (2,0 điểm) Cho n a ử đư ng ờ tròn tâm O đư ng kí ờ nh AB. Trên n a ử đư ng ờ tròn đó l y đi ấ m ể C (C
khác A và B), kẻ CH vuông góc v i ớ AB tại H. G i ọ K là đi m ể n m ằ giữa C và H , tia AK cắt đư ng ờ tròn tại đi m ể th ha ứ i là D. 1. Ch ng m ứ
inh BHKD là một tứ giác n i ộ ti p. ế 2. Ch ng m ứ inh tam giác ACK đ ng ồ d ng v ạ i ớ tam giác ADC và ch ng m ứ inh 2
AK. AD AC .
Bài 6: (1,0 điểm) M t
ộ hình trụ có bán kính đáy bằng 4cm, chiều cao bằng 12 cm. Tính di n t ệ ích xung
quanh và thể tích của hình tr đã ụ cho.
-------------------------------------------------H T
Ế ------------------------------------------------------- Thí sinh đư c ợ s d ử n ụ g các lo i
ạ máy tính b t
ỏ úi không có ch c ứ năng so n ạ th o v ả ăn b n
ả , không có th n ẻ h . ớ M i
ọ thắc mắc vui lòng xin liên h h
ệ otline: 084 283 45 85
Đây là bản xem th , vu ử i lòng mua tài li u ệ đ xe ể m chi ti t (c ế ó l i ờ gi i ả )
Thí sinh không đư c ợ s d ử n ụ g tài li u ệ . Cán b c
ộ oi thi không đư c ợ gi i
ả thích gì thêm. H và ọ
tên thí sinh: ……………………………….Số báo danh: …………………………….. M i
ọ thắc mắc vui lòng xin liên h h
ệ otline: 084 283 45 85
Đây là bản xem th , vu ử i lòng mua tài li u ệ đ xe ể m chi ti t (c ế ó l i ờ gi i ả ) HƯỚNG D N Ẫ GI I Ả .
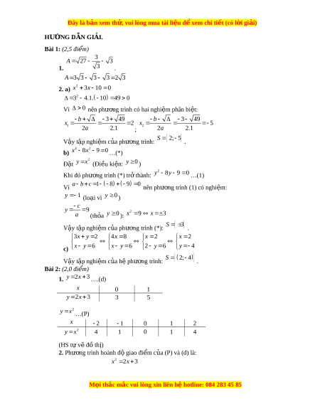
Bài 1: (2,5 điểm) 3 A 27 3 1. 3 . A 3 3 3 3 2 3 2. a) 2
x 3x 10 0 2 3 4.1. 10 4 9 0 Vì 0 nên phư ng ơ trình có hai nghi m ệ phân bi t ệ : b 3 49 b 3 49 x 2 x 5 1 2a 2.1 2 ; 2a 2.1 S 2; 5 Vậy tập nghiệm c a ủ phư ng ơ trình: . 4 2
b) x 8x 9 0 …(*) 2
Đặt y x (Đi u ề ki n: ệ y 0 ) 2 Khi đó phư ng t ơ
rình (*) trở thành: y 8y 9 0 …(1)
a b c 1 8 9 0 Vì nên phư ng t ơ rình (1) có nghi m ệ :
y 1 (loại vì y 0 ) c y 9 a 2 (thỏa y 0 ): x 9 x 3 S Vậy tập nghiệm c a ủ phư ng ơ trình (*): 3 . 3 x y 2 4x 8 x 2 x 2
c) x y 6 x y 6 2 y 6 y 4 S 2; 4 Vậy tập nghiệm c a ủ h ph ệ ư ng ơ trình: .
Bài 2: (2,0 điểm) 1. y 2 x 3 ….(d) x 0 1 y 2 x 3 3 5 2 y x …(P) x 2 1 0 1 2 2 y x 4 1 0 1 4 (HS tự v đ ẽ t ồ h ) ị 2. Phư ng t ơ rình hoành đ gi ộ ao đi m ể của (P) và (d) là: 2 x 2 x 3 M i
ọ thắc mắc vui lòng xin liên h h
ệ otline: 084 283 45 85
Đây là bản xem th , vu ử i lòng mua tài li u ệ đ xe ể m chi ti t (c ế ó l i ờ gi i ả ) 2
x 2x 3 0 …(*)
a b c 1 2 3 0 Vì nên phư ng ơ trình (*) có nghiệm:
x 1 y 2. 1 3 1 1 c x 3 y 2 . 3 3 9 2 2 a
A 1;1 , B 3;9 Vậy t a ọ đ gi ộ ao đi m ể c a ủ (P) và (d) là:
Bài 3: (1,5 điểm) 1. 2 x x 10 0 . a c 1 . 10 10 0 Vì nên phư ng
ơ trình đã cho có hai nghi m
ệ phân biệt x ; x 1 2 . Theo đ nh ị lý Vi – ét, ta có: b
S x x 1 1 2 a c
P x x 10 1 2 a 2 2 2 2 2
Ax x 3x x S 2P 3P S 5P 1 5. 10 5 1 Ta có: 1 2 1 2 2 1
x m 2 1 x m 1 0 2. 4 1 m 2 2 1 4.1. m 1 2 m 3 4 3
0 2m 3 0 m Phư ng t ơ rình đã cho có hai nghi m ệ phân bi t ệ 2 . 3 m Vậy
2 thỏa yêu cầu bài toán.
Bài 4: (1,0 điểm) x 0; m G i ọ x là chiều r ng c ộ a ủ khu vư n hì ờ nh ch nh ữ t ậ . x 5 m Suy ra: chiều dài c a ủ khu vư n hì ờ nh ch a ữ nh t ậ là: .
x x 2 5 m Di n t ệ ích khu vư n hì ờ nh ch nh ữ ật: . x x 5 1 50
Theo đề bài ta có phư ng t ơ rình: 2
x 5x 150 0 x 1
0 n ; x 15 l Giải phư ng t ơ rình thu đư c ợ : 1 2 Vậy: Chiều r ng c ộ a ủ khu vư n hì ờ nh ch nh ữ t ậ là 10 m. x 5 1 0 5 15 m Chiều dài c a ủ khu vư n ờ hình ch a ữ nhật là: . M i
ọ thắc mắc vui lòng xin liên h h
ệ otline: 084 283 45 85
Đề thi vào 10 Toán Tỉnh Tiền Giang năm 2023-2024
697
349 lượt tải
MUA NGAY ĐỂ XEM TOÀN BỘ TÀI LIỆU
CÁCH MUA:
- B1: Gửi phí vào TK:
1053587071
- NGUYEN VAN DOAN - Ngân hàng Vietcombank (QR) - B2: Nhắn tin tới Zalo VietJack Official ( nhấn vào đây ) để xác nhận thanh toán và tải tài liệu - giáo án
Liên hệ ngay Hotline hỗ trợ: 084 283 45 85
Đề thi được cập nhật liên tục trong gói này từ nay đến hết tháng 3/2024. Chúng tôi đảm bảo đủ số lượng đề đã cam kết hoặc có thể nhiều hơn, tất cả có BẢN WORD, LỜI GIẢI CHI TIẾT và tải về dễ dàng.
Để tải tài liệu gốc về máy bạn click vào nút Tải Xuống ở trên!
Thuộc bộ (mua theo bộ để tiết kiệm hơn):
- Tailieugiaovien.com.vn giới thiệu Đề thi chính thức môn Toán vào 10 Tỉnh Tiền Giang năm 2023-2024 nhằm giúp Giáo viên có thêm tài liệu tham khảo ra đề thi Toán vào 10.
- File word có lời giải chi tiết 100%.
- Mua trọn bộ sẽ tiết kiệm hơn tải lẻ 50%.
Đánh giá
4.6 / 5(697 )5
4
3
2
1

Trọng Bình
Tài liệu hay
Giúp ích cho tôi rất nhiều

Duy Trần
Tài liệu chuẩn
Rất thích tài liệu bên VJ soạn (bám sát chương trình dạy)
TÀI LIỆU BỘ BÁN CHẠY MÔN Toán Học
Xem thêmTÀI LIỆU BỘ BÁN CHẠY Ôn vào 10
Xem thêmTài liệu bộ mới nhất

Đây là b n xem th , vui lòng mua tài li u đ xem chi ti t (có l i gi i)ả ử ệ ể ế ờ ả
S GIÁO D C VÀ ĐÀO T OỞ Ụ Ạ
T NH TI N GIANGỈ Ề
(Đ thi có 01 trang, g m 06 bài)ề ồ
KỲ THI TUY N SINH TRUNG H C PH THÔNGỂ Ọ Ổ
NĂM H C 2023 – 2024Ọ
Môn thi: TOÁN
Th i gian làm bài: 90 phút ờ (không k th i gian phát đ )ể ờ ề
Ngày thi: 05/6/2023
Bài 1: (2,5 đi m) ể
1. Tính giá tr c a bi u th c: ị ủ ể ứ
3
27 3
3
A
.
2. Gi i các ph ng trình và h ph ng trình sau:ả ươ ệ ươ
a)
2
3 10 0 x x
b)
4 2
8 9 0 x x
c)
3 2
6
x y
x y
Bài 2: (2,0 đi m) ể
Trong m t ph ng t a đ Oxy, cho parabol (P): ặ ẳ ọ ộ
2
y x
và đ ng th ng (d): ườ ẳ
2 3 y x
.
1. V parabol (P) và đ ng th ng (d) trên cùng m t m t ph ng t a đ .ẽ ườ ẳ ộ ặ ẳ ọ ộ
2. B ng phép tính, tìm t a đ các giao đi m c a (P) và (d).ằ ọ ộ ể ủ
Bài 3: (1,5 đi mể )
1. G i ọ
1
x
và
2
x
là hai nghi m c a ph ng trình ệ ủ ươ
2
10 0 x x
. Không gi i ph ng ả ươ
trình, tính giá tr c a bi u th c ị ủ ể ứ
2 2
1 2 1 2
3 A x x x x
2. Tìm t t c các giá tr c a tham s ấ ả ị ủ ố
m
đ ph ng trình ể ươ
2 2
1
1 1 0
4
x m x m
có hai nghi m phân bi t.ệ ệ
Bài 4: (1,0 đi mể )
M t khu v n hình ch nh t có di n tích b ng 150 mộ ườ ữ ậ ệ ằ
2
. H i khu v n có chi u dài vàỏ ườ ề
chi u r ng b ng bao nhiêu mét, bi t r ng chi u dài l n h n chi u r ng 5m?ề ộ ằ ế ằ ề ớ ơ ề ộ
Bài 5: (2,0 đi mể )
Cho n a đ ng tròn tâm O đ ng kính AB. Trên n a đ ng tròn đó l y đi m C (C ử ườ ườ ử ườ ấ ể
khác A và B), k CH vuông góc v i AB t i H. G i K là đi m n m gi a C và H , tia ẻ ớ ạ ọ ể ằ ữ
AK c t đ ng tròn t i đi m th hai là D.ắ ườ ạ ể ứ
1. Ch ng minh BHKD là m t t giác n i ti p.ứ ộ ứ ộ ế
2. Ch ng minh tam giác ACK đ ng d ng v i tam giác ADC và ch ng minhứ ồ ạ ớ ứ
2
. AK AD AC
.
Bài 6: (1,0 đi mể )
M t hình tr có bán kính đáy b ng 4cm, chi u cao b ng 12 cm. Tính di n tích xung ộ ụ ằ ề ằ ệ
quanh và th tích c a hình tr đã cho.ể ủ ụ
-------------------------------------------------H T-------------------------------------------------------Ế
Thí sinh đ c s d ng các lo i máy tính b túi không có ch c năng so n th o văn ượ ử ụ ạ ỏ ứ ạ ả
b n, không có th nh .ả ẻ ớ
M i th c m c vui lòng xin liên h hotline: 084 283 45 85ọ ắ ắ ệ
Đ THI CHÍNH TH CỀ Ứ

Đây là b n xem th , vui lòng mua tài li u đ xem chi ti t (có l i gi i)ả ử ệ ể ế ờ ả
Thí sinh không đ c s d ng tài li u. Cán b coi thi không đ c gi i thích gì thêm.ượ ử ụ ệ ộ ượ ả
H và tên thí sinh: ……………………………….S báo danh: ……………………………..ọ ố
M i th c m c vui lòng xin liên h hotline: 084 283 45 85ọ ắ ắ ệ

Đây là b n xem th , vui lòng mua tài li u đ xem chi ti t (có l i gi i)ả ử ệ ể ế ờ ả
H NG D N GI I.ƯỚ Ẫ Ả
Bài 1: (2,5 đi m) ể
1.
3
27 3
3
A
.
3 3 3 3 2 3 A
2. a)
2
3 10 0 x x
2
3 4.1. 10 49 0
Vì
0
nên ph ng trình có hai nghi m phân bi t:ươ ệ ệ
1
3 49
2
2 2.1
b
x
a
;
2
3 49
5
2 2.1
b
x
a
V y t p nghi m c a ph ng trình: ậ ậ ệ ủ ươ
2; 5 S
.
b)
4 2
8 9 0 x x
…(*)
Đ t ặ
2
y x
(Đi u ki n: ề ệ
0y
)
Khi đó ph ng trình (*) tr thành: ươ ở
2
8 9 0 y y
…(1)
Vì
1 8 9 0 a b c
nên ph ng trình (1) có nghi m:ươ ệ
1y
(lo i vì ạ
0y
)
9
c
y
a
(th a ỏ
0y
):
2
9 3 x x
V y t p nghi m c a ph ng trình (*): ậ ậ ệ ủ ươ
3 S
.
c)
3 2
6
x y
x y
4 8 2 2
6 2 6 4
x x x
x y y y
V y t p nghi m c a h ph ng trình: ậ ậ ệ ủ ệ ươ
2; 4 S
.
Bài 2: (2,0 đi m) ể
1.
2 3 y x
….(d)
2
y x
…(P)
(HS t v đ th )ự ẽ ồ ị
2. Ph ng trình hoành đ giao đi m c a (P) và (d) là:ươ ộ ể ủ
2
2 3 x x
M i th c m c vui lòng xin liên h hotline: 084 283 45 85ọ ắ ắ ệ
x
0
1
2 3 y x
3
5
x
2
1
0
1
2
2
y x
4
1
0
1
4

Đây là b n xem th , vui lòng mua tài li u đ xem chi ti t (có l i gi i)ả ử ệ ể ế ờ ả
2
2 3 0 x x
…(*)
Vì
1 2 3 0 a b c
nên ph ng trình (*) có nghi m:ươ ệ
1
1 2. 1 3 1 x y
2 2
3 2. 3 3 9
c
x y
a
V y t a đ giao đi m c a (P) và (d) là: ậ ọ ộ ể ủ
1;1 , 3;9A B
Bài 3: (1,5 đi mể )
1.
2
10 0 x x
Vì
. 1. 10 10 0 a c
nên ph ng trình đã cho có hai nghi m phân bi t ươ ệ ệ
1 2
;x x
.
Theo đ nh lý Vi – ét, ta có:ị
1 2
1 2
1
10
b
S x x
a
c
P x x
a
Ta có:
2
2 2 2 2
1 2 1 2
3 2 3 5 1 5. 10 51 A x x x x S P P S P
2.
2 2
1
1 1 0
4
x m x m
2
2
1
1 4.1. 1 2 3
4
m m m
Ph ng trình đã cho có hai nghi m phân bi t ươ ệ ệ
3
0 2 3 0
2
m m
.
V y ậ
3
2
m
th a yêu c u bài toán.ỏ ầ
Bài 4: (1,0 đi mể )
G i ọ
x
0;x m
là chi u r ng c a khu v n hình ch nh t. ề ộ ủ ườ ữ ậ
Suy ra: chi u dài c a khu v n hình ch a nh t là: ề ủ ườ ữ ậ
5x m
.
Di n tích khu v n hình ch nh t: ệ ườ ữ ậ
2
5x x m
.
Theo đ bài ta có ph ng trình: ề ươ
5 150 x x
2
5 150 0 x x
Gi i ph ng trình thu đ c: ả ươ ượ
1 2
10 ; 15 x n x l
V y:ậ
Chi u r ng c a khu v n hình ch nh t là 10 m.ề ộ ủ ườ ữ ậ
Chi u dài c a khu v n hình ch a nh t là: ề ủ ườ ữ ậ
5 10 5 15 x m
.
M i th c m c vui lòng xin liên h hotline: 084 283 45 85ọ ắ ắ ệ

Đây là b n xem th , vui lòng mua tài li u đ xem chi ti t (có l i gi i)ả ử ệ ể ế ờ ả
Bài 5: (2,0 đi mể )
Ta có:
0
90 ACB ADB
(góc n i ti p ch n n a đ ng tròn đ ng kính AB).ộ ế ắ ử ườ ườ
Suy ra:
0
90KDB
Vì
CH AB
nên
0 0
90 90 CHB KHB
.
1. Ch ng minh BHKD là m t t giác n i ti p.ứ ộ ứ ộ ế
T giác ứ
BHKD
có:
0 0 0
90 90 180 KHB KDB
T giác ứ
BHKD
là t giác n i ti p.ứ ộ ế
2. Ch ng minh tam giác ACK đ ng d ng v i tam giác ADC và ch ng minh ứ ồ ạ ớ ứ
2
. AK AD AC
.
Ta có:
1 1
1
2
D B sd AC
(góc n i ti p cùng ch n cung AC)ộ ế ắ
M t khác ặ
1 1
C B
(cùng ph ụ
2
C
)
Do đó
1 1
C D
Xét tam giác ACK và tam giác ADC có:
CAD
: góc chung.
1 1
C D
(ch ng minh trên)ứ
V y: tam giác ACK đ ng d ng v i tam giác ADC (g – g)ậ ồ ạ ớ
AC AK
AD AC
2
. AK AD AC
.
Bài 6: (1,0 đi mể )
G iọ
R
;
h
l n l t là chi u cao c a hình tr đã cho. Suy ra: R = 4cm; h = 12cmầ ượ ề ủ ụ
Di n tích xung quanh c a hình tr : ệ ủ ụ
2
2 . 2 .4.12 96
xq
S R h cm
Th tích c a hình tr :ể ủ ụ
2 2 3
.4 .12 192 V R h cm
M i th c m c vui lòng xin liên h hotline: 084 283 45 85ọ ắ ắ ệ