Bài tập cuối chương I I. MỤC TIÊU
1. Kiến thức: Ôn lại và củng cố về:
- Góc lượng giác, số đo của góc lượng giác, hệ thức Chales cho các góc lượng giác,
đường tròn lượng giác, giá trị lượng giác của góc lượng giác, hệ thức lượng giác cơ
bản, mối quan hệ giữa các giá trị lượng giác: đối nhau, bù nhau, phụ nhau, hơn kém nhau π.
- Các phép biến đổi lượng giác cơ bản: công thức cộng; công thức góc nhân đôi;
công thức biến đổi tích thành tổng và công thức biến đổi tổng thành tích.
- Hàm số lượng giác và đồ thị.
- Phương trình lượng giác cơ bản và cách giải. 2. Năng lực
• Năng lực chung:
- Năng lực tự chủ và tự học trong tìm tòi khám phá.
- Năng lực giao tiếp và hợp tác trong trình bày, thảo luận và làm việc nhóm.
- Năng lực giải quyết vấn đề và sáng tạo trong thực hành, vận dụng.
• Năng lực riêng:
- Tư duy và lập luận toán học: So sánh, phân tích dữ liệu tìm ra mối liên hệ giữa
các đối tượng đã cho và nội dung bài học về góc lượng giác, giá trị lượng giác của
góc lượng giác, hàm số lượng giác và phương trình lượng giác.
- Mô hình hóa toán học, giải quyết vấn đề toán học: vận dụng các kiến thức toán
học vào các bài toán thực tế.
- Sử dụng công cụ, phương tiện học toán. 3. Phẩm chất
- Có ý thức học tập, ý thức tìm tòi, khám phá và sáng tạo, có ý thức làm việc nhóm,
tôn trọng ý kiến các thành viên khi hợp tác.
- Chăm chỉ tích cực xây dựng bài, có trách nhiệm, chủ động chiếm lĩnh kiến thức
theo sự hướng dẫn của GV.
II. THIẾT BỊ DẠY HỌC VÀ HỌC LIỆU
1. Đối với GV: SGK, Tài liệu giảng dạy, giáo án, đồ dùng dạy học, thước thẳng có
chia khoảng, phiếu học tập.
2. Đối với HS: SGK, SBT, vở ghi, giấy nháp, đồ dùng học tập (bút, thước...), bảng
nhóm, bút viết bảng nhóm, sơ đồ kiến thức chương làm theo nhóm.
III. TIẾN TRÌNH DẠY HỌC
A. HOẠT ĐỘNG KHỞI ĐỘNG (MỞ ĐẦU) a) Mục tiêu:
- HS nhớ lại các kiến thức đã học của chương I.
b) Nội dung: HS suy nghĩ trả lời câu hỏi theo sự hướng dẫn của GV.
c) Sản phẩm: HS trả lời được câu hỏi về góc lượng giác, giá trị lượng giác của góc
lượng giác, hàm số lượng giác và phương trình lượng giác.
d) Tổ chức thực hiện:
Bước 1: Chuyển giao nhiệm vụ:
- GV cho HS trả lời nhanh các câu hỏi trắc nghiệm, yêu cầu HS giải thích các câu
hỏi 1, 2, 3, 4, 5, 6 (SGK – tr42).
Bước 2: Thực hiện nhiệm vụ: HS suy nghĩ trả lời nhanh các câu hỏi, yêu cầu giải thích.
Bước 3: Báo cáo, thảo luận: GV gọi một số HS trả lời, HS khác nhận xét, bổ sung.
Bước 4: Kết luận, nhận định: GV đánh giá kết quả của HS, trên cơ sở đó dẫn dắt HS vào bài học. Đáp án: Bài 1.
Đáp án đúng là: C
Mỗi vòng kim đồng hồ quay là: 2π nên góc lượng giác quét được khi quay vòng là rad.
Khi đó điểm biểu diễn cho các góc lượng giác này có công thức số đo tổng quát là . Xét
. Do đó góc này không tương ứng với góc đã cho. Xét
. Do đó góc này không tương ứng với góc đã cho. Xét
. Do đó góc này tương ứng với góc đã cho. Xét
. Do đó góc này không tương ứng với góc đã cho. Bài 2. Đáp án đúng là: A
+) Xét β = – α, khi đó: cosβ = cos(– α) = cosα;
sinβ = sin(– α) = – sinα hay sinα = – sinβ . Do đó A thỏa mãn.
+) Xét β = π – α, khi đó:
cosβ = cos(π – α) = – cosα;
sinβ = sin(π – α) = sinα. Do đó B không thỏa mãn.
+) Xét β = π + α, khi đó:
cosβ = cos(π + α) = – cosα;
sinβ = sin(π + α) = – sinα. Do đó C không thỏa mãn. +) Xét , khi đó: cosβ = cos( ) = – sinα; sinβ = sin( ) = cosα. Do đó D không thỏa mãn. Bài 3. Đáp án đúng là: B
Ta có tập xác định của hàm số y = cosx là . ℝ
Nếu với x ∈ ℝ thì – x ∈ ℝ và y(– x) = cos(– x) = cosx = y(x).
Vậy hàm số y = cosx là hàm số chẵn. Bài 4. Đáp án đúng là: A
Giáo án Bài tập cuối chương 1 Toán 11 Chân trời sáng tạo
594
297 lượt tải
MUA NGAY ĐỂ XEM TOÀN BỘ TÀI LIỆU
CÁCH MUA:
- B1: Gửi phí vào TK:
1053587071
- NGUYEN VAN DOAN - Ngân hàng Vietcombank (QR) - B2: Nhắn tin tới Zalo VietJack Official ( nhấn vào đây ) để xác nhận thanh toán và tải tài liệu - giáo án
Liên hệ ngay Hotline hỗ trợ: 084 283 45 85
Bộ giáo án Toán 11 Chân trời sáng tạo được cập nhật liên tục trong gói này từ nay đến hết tháng 3/2024.
Để tải tài liệu gốc về máy bạn click vào nút Tải Xuống ở trên!
Thuộc bộ (mua theo bộ để tiết kiệm hơn):
- Bộ giáo án Toán 11 Chân trời sáng tạo 2023 mới, chuẩn nhất được thiết kế theo phong cách hiện đại, đẹp mắt, trình bày chi tiết cho từng bài học và bám sát chương trình Sách giáo khoa Toán 11.
- Mua trọn bộ sẽ tiết kiệm hơn tải lẻ 50%.
Đánh giá
4.6 / 5(594 )5
4
3
2
1

Trọng Bình
Tài liệu hay
Giúp ích cho tôi rất nhiều

Duy Trần
Tài liệu chuẩn
Rất thích tài liệu bên VJ soạn (bám sát chương trình dạy)
TÀI LIỆU BỘ BÁN CHẠY MÔN Toán Học
Xem thêmTÀI LIỆU BỘ BÁN CHẠY Lớp 11
Xem thêmTài liệu bộ mới nhất

Đây là bản xem thử, vui lòng mua tài liệu để xem chi tiết (có lời giải)
Bài tập cuối chương I
I. MỤC TIÊU
1. Kiến thức: Ôn lại và củng cố về:
- Góc lượng giác, số đo của góc lượng giác, hệ thức Chales cho các góc lượng giác,
đường tròn lượng giác, giá trị lượng giác của góc lượng giác, hệ thức lượng giác cơ
bản, mối quan hệ giữa các giá trị lượng giác: đối nhau, bù nhau, phụ nhau, hơn
kém nhau π.
- Các phép biến đổi lượng giác cơ bản: công thức cộng; công thức góc nhân đôi;
công thức biến đổi tích thành tổng và công thức biến đổi tổng thành tích.
- Hàm số lượng giác và đồ thị.
- Phương trình lượng giác cơ bản và cách giải.
2. Năng lực
• Năng lực chung:
- Năng lực tự chủ và tự học trong tìm tòi khám phá.
- Năng lực giao tiếp và hợp tác trong trình bày, thảo luận và làm việc nhóm.
- Năng lực giải quyết vấn đề và sáng tạo trong thực hành, vận dụng.
• Năng lực riêng:
- Tư duy và lập luận toán học: So sánh, phân tích dữ liệu tìm ra mối liên hệ giữa
các đối tượng đã cho và nội dung bài học về góc lượng giác, giá trị lượng giác của
góc lượng giác, hàm số lượng giác và phương trình lượng giác.
- Mô hình hóa toán học, giải quyết vấn đề toán học: vận dụng các kiến thức toán
học vào các bài toán thực tế.
- Sử dụng công cụ, phương tiện học toán.
3. Phẩm chất
- Có ý thức học tập, ý thức tìm tòi, khám phá và sáng tạo, có ý thức làm việc nhóm,
tôn trọng ý kiến các thành viên khi hợp tác.
Mọi thắc mắc vui lòng xin vui lòng: 084 283 45 85

Đây là bản xem thử, vui lòng mua tài liệu để xem chi tiết (có lời giải)
- Chăm chỉ tích cực xây dựng bài, có trách nhiệm, chủ động chiếm lĩnh kiến thức
theo sự hướng dẫn của GV.
II. THIẾT BỊ DẠY HỌC VÀ HỌC LIỆU
1. Đối với GV: SGK, Tài liệu giảng dạy, giáo án, đồ dùng dạy học, thước thẳng có
chia khoảng, phiếu học tập.
2. Đối với HS: SGK, SBT, vở ghi, giấy nháp, đồ dùng học tập (bút, thước...), bảng
nhóm, bút viết bảng nhóm, sơ đồ kiến thức chương làm theo nhóm.
III. TIẾN TRÌNH DẠY HỌC
A. HOẠT ĐỘNG KHỞI ĐỘNG (MỞ ĐẦU)
a) Mục tiêu:
- HS nhớ lại các kiến thức đã học của chương I.
b) Nội dung: HS suy nghĩ trả lời câu hỏi theo sự hướng dẫn của GV.
c) Sản phẩm: HS trả lời được câu hỏi về góc lượng giác, giá trị lượng giác của góc
lượng giác, hàm số lượng giác và phương trình lượng giác.
d) Tổ chức thực hiện:
Bước 1: Chuyển giao nhiệm vụ:
- GV cho HS trả lời nhanh các câu hỏi trắc nghiệm, yêu cầu HS giải thích các câu
hỏi 1, 2, 3, 4, 5, 6 (SGK – tr42).
Bước 2: Thực hiện nhiệm vụ: HS suy nghĩ trả lời nhanh các câu hỏi, yêu cầu giải
thích.
Bước 3: Báo cáo, thảo luận: GV gọi một số HS trả lời, HS khác nhận xét, bổ
sung.
Bước 4: Kết luận, nhận định: GV đánh giá kết quả của HS, trên cơ sở đó dẫn dắt
HS vào bài học.
Đáp án:
Bài 1.
Mọi thắc mắc vui lòng xin vui lòng: 084 283 45 85

Đây là bản xem thử, vui lòng mua tài liệu để xem chi tiết (có lời giải)
Đáp án đúng là: C
Mỗi vòng kim đồng hồ quay là: 2π nên góc lượng giác quét được khi quay
vòng là rad.
Khi đó điểm biểu diễn cho các góc lượng giác này có công thức số đo tổng quát là
.
Xét . Do đó góc này không tương ứng với góc đã cho.
Xét . Do đó góc này không tương
ứng với góc đã cho.
Xét . Do đó góc này tương ứng với
góc đã cho.
Xét . Do đó góc này không tương ứng với góc
đã cho.
Bài 2.
Đáp án đúng là: A
+) Xét β = – α, khi đó:
cosβ = cos(– α) = cosα;
sinβ = sin(– α) = – sinα hay sinα = – sinβ .
Do đó A thỏa mãn.
Mọi thắc mắc vui lòng xin vui lòng: 084 283 45 85

Đây là bản xem thử, vui lòng mua tài liệu để xem chi tiết (có lời giải)
+) Xét β = π – α, khi đó:
cosβ = cos(π – α) = – cosα;
sinβ = sin(π – α) = sinα.
Do đó B không thỏa mãn.
+) Xét β = π + α, khi đó:
cosβ = cos(π + α) = – cosα;
sinβ = sin(π + α) = – sinα.
Do đó C không thỏa mãn.
+) Xét , khi đó:
cosβ = cos( ) = – sinα;
sinβ = sin( ) = cosα.
Do đó D không thỏa mãn.
Bài 3.
Đáp án đúng là: B
Ta có tập xác định của hàm số y = cosx là .ℝ
Nếu với x ∈ thì – x ℝ ∈ và y(– x) = cos(– x) = cosx = y(x). ℝ
Vậy hàm số y = cosx là hàm số chẵn.
Bài 4.
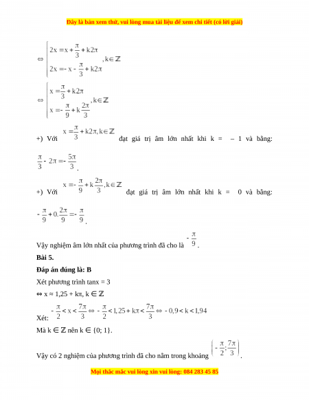
Đáp án đúng là: A
Mọi thắc mắc vui lòng xin vui lòng: 084 283 45 85

Đây là bản xem thử, vui lòng mua tài liệu để xem chi tiết (có lời giải)
+) Với đạt giá trị âm lớn nhất khi k = – 1 và bằng:
.
+) Với đạt giá trị âm lớn nhất khi k = 0 và bằng:
.
Vậy nghiệm âm lớn nhất của phương trình đã cho là .
Bài 5.
Đáp án đúng là: B
Xét phương trình tanx = 3
⇔ x ≈ 1,25 + kπ, k ∈ ℤ
Xét:
Mà k ∈ nên k ℤ ∈ {0; 1}.
Vậy có 2 nghiệm của phương trình đã cho nằm trong khoảng .
Mọi thắc mắc vui lòng xin vui lòng: 084 283 45 85