Ngày soạn: …/…/… Ngày dạy: …/…/…
Bài tập cuối chương II I. MỤC TIÊU
1. Kiến thức: Học xong bài này, HS đạt các yêu cầu sau:
– Nắm vững bảy hằng đẳng thức đáng nhớ, từ đó mô tả được các hẳng đẳng thức đó,
vận dụng tính nhanh, rút gọn biểu thức và phân tích đa thức thành nhân tử.
– Thực hiện được phân tích đa thức thành nhân tử bằng các cách: đặt nhân tử chung;
dùng hằng đẳng thức; nhóm hạng tử.
– Vận dụng kiến thức đã học để giải quyết một số bài toán liên quan (tìm giá trị chưa
biết trong một đẳng thức, ...) và một số bài toán thực tế. 2. Năng lực Năng lực chung:
– Năng lực tự chủ và tự học trong tìm tòi khám phá.
– Năng lực giao tiếp và hợp tác trong trình bày, thảo luận và làm việc nhóm.
– Năng lực giải quyết vấn đề và sáng tạo trong thực hành, vận dụng.
Năng lực riêng:
– Năng lực tư duy và lập luận toán học.
– Năng lực giao tiếp toán học.
– Năng lực mô hình hóa toán học.
– Năng lực giải quyết vấn đề toán học. 3. Phẩm chất
– Có ý thức học tập, ý thức tìm tòi, khám phá và sáng tạo, có ý thức làm việc nhóm.
– Chăm chỉ tích cực xây dựng bài, có trách nhiệm, chủ động chiếm lĩnh kiến thức theo sự hướng dẫn của GV.
– Hình thành tư duy logic, lập luận chặt chẽ, và linh hoạt trong quá trình suy nghĩ.
II. THIẾT BỊ DẠY HỌC VÀ HỌC LIỆU
1. Đối với GV: SGK, Tài liệu giảng dạy, giáo án powerpoint, đồ dùng dạy học, thước thẳng có chia khoảng.
2. Đối với HS: SGK, SBT, vở ghi, giấy nháp, đồ dùng học tập (bút, thước...), bảng
nhóm, bút viết bảng nhóm, tổng hợp kiến thức chương II đã làm theo phân công của GV buổi trước.
III. TIẾN TRÌNH DẠY HỌC
A. HOẠT ĐỘNG KHỞI ĐỘNG (MỞ ĐẦU) a) Mục tiêu:
‒ HS nhớ lại các kiến thức đã học của chương II. b) Nội dung: c) Sản phẩm: d) Tổ chức thực hiện:
Bước 1: Chuyển giao nhiệm vụ:
– GV đưa ra câu hỏi: “Ở chương II chúng ta đã được học nội dung về gì?”
HS trả lời câu hỏi của GV.
– GV dẫn dắt vào bài ôn tập chương II.
GV cho HS trả lời nhanh một số câu hỏi trắc nghiệm (Bài 2.28, 2.29, 2.30, 2.31) qua trò chơi:
Câu 1. (Bài 2.29) Khẳng định nào dưới đây là đúng? A. . B. . C. . D. .
Câu 2. (Bài 2.30) Biểu thức
viết dưới dạng bình phương của một tổng là A. . B. . C. . D. .
Câu 3. (Bài 2.31) Rút gọn biểu thức ta được A. . B. . C. . D. .
Câu 4. (Bài 2.28) Đa thức
được phân tích thành tích của hai đa thức A. và . B. và . C. và . D. và .
Bước 2: Thực hiện nhiệm vụ:
– HS suy nghĩ và giơ tay phát biểu.
Bước 3: Báo cáo, thảo luận:
– GV mời một số HS nêu ý kiến cá nhân cho câu hỏi tình huống mở đầu.
– HS khác nhận xét và bổ sung.
Bước 4: Kết luận, nhận định:
– GV đánh giá kết quả của HS, trên cơ sở đó dẫn dắt vào bài học “Bài tập cuối chương II”. Kết quả:
Đáp án trắc nghiệm: Câu 1 2 3 4 Đáp án D D C B
B. HÌNH THÀNH KIẾN THỨC MỚI
Hoạt động: Tổng hợp lại kiến thức đã học của chương II. a) Mục tiêu:
– HS nhắc lại và tổng hợp được các kiến thức đã học theo một sơ đồ nhất định. b) Nội dung:
– HS tổng hợp lại kiến thức dựa theo SGK và ghi chép trên lớp theo nhóm đã được phân công của buổi trước.
c) Sản phẩm: Sơ đồ mà HS đã vẽ.
d) Tổ chức thực hiện:
HOẠT ĐỘNG CỦA GV VÀ HS
SẢN PHẨM DỰ KIẾN
Bước 1. Chuyển giao nhiệm vụ:
Sơ đồ tư duy về tổng hợp kiến
– GV mời đại diện từng nhóm lên trình bày về sơ thức của chương II đồ tư duy của nhóm.
– GV có thể đặt các câu hỏi thêm về nội dung kiến thức.
– GV có thể đưa ra sơ đồ chung để HS điền thêm các ý chính vào sơ đồ.
Bước 2. Thực hiện nhiệm vụ:
– HS tự phân công nhóm trưởng và nhiệm vụ phải
làm để hoàn thành sơ đồ.
– GV hỗ trợ, hướng dẫn thêm.
Bước 3. Báo cáo, thảo luận:
– Đại diện nhóm trình bày, các HS chú ý lắng nghe và cho ý kiến.
– HS trả lời câu hỏi của GV.
Bước 4. Kết luận, nhận định:
– GV nhận xét các sơ đồ, nêu ra điểm tốt và chưa tốt, cần cải thiện.
– GV chốt lại kiến thức của chương.
C. HOẠT ĐỘNG LUYỆN TẬP a) Mục tiêu:
– Học sinh củng cố lại kiến thức của chương II và áp dụng các kiến thức đó giải quyết
các bài toán tính toán, bài toán thực tế.
b) Nội dung: HS vận dụng các kiến thức đã học và kĩ năng làm bài tập, tham gia thảo
luận nhóm hoàn thành các bài tập.
c) Sản phẩm học tập: HS giải quyết được các bài tập
d) Tổ chức thực hiện:
Bước 1. Chuyển giao nhiệm vụ:
– GV tổ chức cho HS hoạt động nhóm 4 theo phương pháp khăn trải bàn làm Bài 2.32,
Bài 2.33, Bài 2.34 (SGK – tr47).
– GV hướng dẫn nêu các câu hỏi gợi mở nếu cần.
Bước 2. Thực hiện nhiệm vụ:
– HS suy nghĩ, thảo luận nhóm 4, hoàn thành các bài tập GV yêu cầu.
– GV quan sát và hỗ trợ, hướng dẫn HS.
Bước 3. Báo cáo, thảo luận:
– Mỗi bài tập mời đại diện các nhóm trình bày, giải thích cách làm.
– Các HS khác quan sát, theo dõi để nhận xét cho ý kiến.
Bước 4. Kết luận, nhận định:
– GV chữa bài, chốt đáp án.
– GV nhận xét thái độ làm việc, phương án trả lời của các nhóm học sinh, ghi nhận và tuyên dương. Kết quả: Bài 2.32: a) Ta có Thay vào biểu thức , ta được:
Giáo án Bài tập cuối chương 2 Toán 8 Kết nối tri thức
1 K
484 lượt tải
MUA NGAY ĐỂ XEM TOÀN BỘ TÀI LIỆU
CÁCH MUA:
- B1: Gửi phí vào TK:
1053587071
- NGUYEN VAN DOAN - Ngân hàng Vietcombank (QR) - B2: Nhắn tin tới Zalo VietJack Official ( nhấn vào đây ) để xác nhận thanh toán và tải tài liệu - giáo án
Liên hệ ngay Hotline hỗ trợ: 084 283 45 85
Bộ giáo án Toán 8 Kết nối tri thức được cập nhật liên tục trong gói này từ nay đến hết tháng 03/2024.
Để tải tài liệu gốc về máy bạn click vào nút Tải Xuống ở trên!
Thuộc bộ (mua theo bộ để tiết kiệm hơn):
- Bộ giáo án Toán 8 Kết nối tri thức năm 2023 mới, chuẩn nhất được thiết kế theo phong cách hiện đại, đẹp mắt, trình bày chi tiết cho từng bài học và bám sát chương trình Sách giáo khoa Toán 8 Kết nối tri thức.
- Mua trọn bộ sẽ tiết kiệm hơn tải lẻ 50%.
Đánh giá
4.6 / 5(968 )5
4
3
2
1

Trọng Bình
Tài liệu hay
Giúp ích cho tôi rất nhiều

Duy Trần
Tài liệu chuẩn
Rất thích tài liệu bên VJ soạn (bám sát chương trình dạy)
TÀI LIỆU BỘ BÁN CHẠY MÔN Toán Học
Xem thêmTÀI LIỆU BỘ BÁN CHẠY Lớp 8
Xem thêmTài liệu bộ mới nhất

Đây là bản xem thử, vui lòng mua tài liệu để xem chi tiết (có lời giải)
Ngày soạn: …/…/…
Ngày dạy: …/…/…
Bài tập cuối chương II
I. MỤC TIÊU
1. Kiến thức: Học xong bài này, HS đạt các yêu cầu sau:
– Nắm vững bảy hằng đẳng thức đáng nhớ, từ đó mô tả được các hẳng đẳng thức đó,
vận dụng tính nhanh, rút gọn biểu thức và phân tích đa thức thành nhân tử.
– Thực hiện được phân tích đa thức thành nhân tử bằng các cách: đặt nhân tử chung;
dùng hằng đẳng thức; nhóm hạng tử.
– Vận dụng kiến thức đã học để giải quyết một số bài toán liên quan (tìm giá trị chưa
biết trong một đẳng thức, ...) và một số bài toán thực tế.
2. Năng lực
Năng lực chung:
– Năng lực tự chủ và tự học trong tìm tòi khám phá.
– Năng lực giao tiếp và hợp tác trong trình bày, thảo luận và làm việc nhóm.
– Năng lực giải quyết vấn đề và sáng tạo trong thực hành, vận dụng.
Năng lực riêng:
– Năng lực tư duy và lập luận toán học.
– Năng lực giao tiếp toán học.
– Năng lực mô hình hóa toán học.
– Năng lực giải quyết vấn đề toán học.
3. Phẩm chất
– Có ý thức học tập, ý thức tìm tòi, khám phá và sáng tạo, có ý thức làm việc nhóm.
– Chăm chỉ tích cực xây dựng bài, có trách nhiệm, chủ động chiếm lĩnh kiến thức theo
sự hướng dẫn của GV.
– Hình thành tư duy logic, lập luận chặt chẽ, và linh hoạt trong quá trình suy nghĩ.
II. THIẾT BỊ DẠY HỌC VÀ HỌC LIỆU
1. Đối với GV: SGK, Tài liệu giảng dạy, giáo án powerpoint, đồ dùng dạy học, thước
thẳng có chia khoảng.
Mọi thắc mắc vui lòng xin liên hệ hotline: 084 283 45 85

Đây là bản xem thử, vui lòng mua tài liệu để xem chi tiết (có lời giải)
2. Đối với HS: SGK, SBT, vở ghi, giấy nháp, đồ dùng học tập (bút, thước...), bảng
nhóm, bút viết bảng nhóm, tổng hợp kiến thức chương II đã làm theo phân công của GV
buổi trước.
III. TIẾN TRÌNH DẠY HỌC
A. HOẠT ĐỘNG KHỞI ĐỘNG (MỞ ĐẦU)
a) Mục tiêu:
‒ HS nhớ lại các kiến thức đã học của chương II.
b) Nội dung:
c) Sản phẩm:
d) Tổ chức thực hiện:
Bước 1: Chuyển giao nhiệm vụ:
– GV đưa ra câu hỏi: “Ở chương II chúng ta đã được học nội dung về gì?”
HS trả lời câu hỏi của GV.
– GV dẫn dắt vào bài ôn tập chương II.
GV cho HS trả lời nhanh một số câu hỏi trắc nghiệm (Bài 2.28, 2.29, 2.30, 2.31) qua trò
chơi:
Câu 1. (Bài 2.29) Khẳng định nào dưới đây là đúng?
A. .
B. .
C. .
D. .
Câu 2. (Bài 2.30) Biểu thức viết dưới dạng bình phương của một
tổng là
A. . B. .
C. . D. .
Câu 3. (Bài 2.31) Rút gọn biểu thức ta được
A. . B. . C. . D. .
Mọi thắc mắc vui lòng xin liên hệ hotline: 084 283 45 85

Đây là bản xem thử, vui lòng mua tài liệu để xem chi tiết (có lời giải)
Câu 4. (Bài 2.28) Đa thức được phân tích thành tích của hai đa thức
A. và . B. và .
C. và . D. và .
Bước 2: Thực hiện nhiệm vụ:
– HS suy nghĩ và giơ tay phát biểu.
Bước 3: Báo cáo, thảo luận:
– GV mời một số HS nêu ý kiến cá nhân cho câu hỏi tình huống mở đầu.
– HS khác nhận xét và bổ sung.
Bước 4: Kết luận, nhận định:
– GV đánh giá kết quả của HS, trên cơ sở đó dẫn dắt vào bài học “Bài tập cuối chương
II”.
Kết quả:
Đáp án trắc nghiệm:
Câu 1 2 3 4
Đáp án D D C B
B. HÌNH THÀNH KIẾN THỨC MỚI
Hoạt động: Tổng hợp lại kiến thức đã học của chương II.
a) Mục tiêu:
– HS nhắc lại và tổng hợp được các kiến thức đã học theo một sơ đồ nhất định.
b) Nội dung:
– HS tổng hợp lại kiến thức dựa theo SGK và ghi chép trên lớp theo nhóm đã được phân
công của buổi trước.
c) Sản phẩm: Sơ đồ mà HS đã vẽ.
d) Tổ chức thực hiện:
HOẠT ĐỘNG CỦA GV VÀ HS SẢN PHẨM DỰ KIẾN
Bước 1. Chuyển giao nhiệm vụ:
– GV mời đại diện từng nhóm lên trình bày về sơ
đồ tư duy của nhóm.
– GV có thể đặt các câu hỏi thêm về nội dung kiến
thức.
– GV có thể đưa ra sơ đồ chung để HS điền thêm
các ý chính vào sơ đồ.
Bước 2. Thực hiện nhiệm vụ:
– HS tự phân công nhóm trưởng và nhiệm vụ phải
Sơ đồ tư duy về tổng hợp kiến
thức của chương II
Mọi thắc mắc vui lòng xin liên hệ hotline: 084 283 45 85

Đây là bản xem thử, vui lòng mua tài liệu để xem chi tiết (có lời giải)
làm để hoàn thành sơ đồ.
– GV hỗ trợ, hướng dẫn thêm.
Bước 3. Báo cáo, thảo luận:
– Đại diện nhóm trình bày, các HS chú ý lắng
nghe và cho ý kiến.
– HS trả lời câu hỏi của GV.
Bước 4. Kết luận, nhận định:
– GV nhận xét các sơ đồ, nêu ra điểm tốt và chưa
tốt, cần cải thiện.
– GV chốt lại kiến thức của chương.
C. HOẠT ĐỘNG LUYỆN TẬP
a) Mục tiêu:
– Học sinh củng cố lại kiến thức của chương II và áp dụng các kiến thức đó giải quyết
các bài toán tính toán, bài toán thực tế.
b) Nội dung: HS vận dụng các kiến thức đã học và kĩ năng làm bài tập, tham gia thảo
luận nhóm hoàn thành các bài tập.
c) Sản phẩm học tập: HS giải quyết được các bài tập
d) Tổ chức thực hiện:
Bước 1. Chuyển giao nhiệm vụ:
– GV tổ chức cho HS hoạt động nhóm 4 theo phương pháp khăn trải bàn làm Bài 2.32,
Bài 2.33, Bài 2.34 (SGK – tr47).
– GV hướng dẫn nêu các câu hỏi gợi mở nếu cần.
Bước 2. Thực hiện nhiệm vụ:
– HS suy nghĩ, thảo luận nhóm 4, hoàn thành các bài tập GV yêu cầu.
– GV quan sát và hỗ trợ, hướng dẫn HS.
Bước 3. Báo cáo, thảo luận:
– Mỗi bài tập mời đại diện các nhóm trình bày, giải thích cách làm.
– Các HS khác quan sát, theo dõi để nhận xét cho ý kiến.
Bước 4. Kết luận, nhận định:
– GV chữa bài, chốt đáp án.
– GV nhận xét thái độ làm việc, phương án trả lời của các nhóm học sinh, ghi nhận và
tuyên dương.
Kết quả:
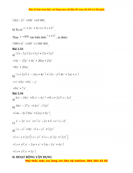
Bài 2.32:
a) Ta có
Thay vào biểu thức , ta được:
Mọi thắc mắc vui lòng xin liên hệ hotline: 084 283 45 85

Đây là bản xem thử, vui lòng mua tài liệu để xem chi tiết (có lời giải)
.
b) Ta có .
Thay vào biểu thức , ta được:
.
Bài 2.33:
a)
.
b)
.
Bài 2.34:
a) .
b)
.
c) .
d)
.
D. HOẠT ĐỘNG VẬN DỤNG
Mọi thắc mắc vui lòng xin liên hệ hotline: 084 283 45 85