CHÀO MỪNG CÁC EM
ĐẾN VỚI TIẾT HỌC HÔM NAY! . KHỞI ĐỘNG
Bài 1: Giải các phương trình sau:
a) �2 − 1 + 2� � − 1 = 0 b) 2�2 − 1 1 �2 − � + �3 + 1
� + 1 = 2� 1 − �2 − � + 1
Bài 2: Hai xí nghiệp theo kế hoạch phải làm tổng cộng 360 dụng cụ. Trên thực
tế, xí nghiệp 1 vượt mức 12%, xí nghiệp 2 vượt mức 10% do đó cả hai xí
nghiệp làm tổng cộng 400 dụng cụ. Tính số dụng cụ mỗi xí nghiệp phải làm. Giải: Bài 1:
a) �2 − 1 + 2� � − 1 = 0
� − 1 � + 1 + 2� � − 1 = 0 � − 1 � + 1 + 2� = 0 � − 1 3� + 1 = 0
� − 1 = 0 hoặc 3� + 1 = 0 � − 1 = 0, suy ra � = 1. 1
3� + 1 = 0, suy ra � =− 3
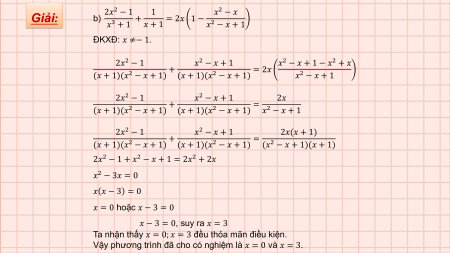
Vậy phương trình đã cho có nghiệm là 1 � = 1 và � =− 3. Giải: b) 2�2 − 1 1 �2 − � + �3 + 1
� + 1 = 2� 1 − �2 − � + 1 ĐKXĐ: � ≠− 1. 2�2 − 1 �2 − � + 1
�2 − � + 1 − �2 + � + = 2�
� + 1 �2 − � + 1 � + 1 �2 − � + 1 �2 − � + 1 2�2 − 1 �2 − � + 1 2� + =
� + 1 �2 − � + 1 � + 1 �2 − � + 1 �2 − � + 1 2�2 − 1 �2 − � + 1 2� � + 1 + =
� + 1 �2 − � + 1 � + 1 �2 − � + 1 �2 − � + 1 � + 1
2�2 − 1 + �2 − � + 1 = 2�2 + 2� �2 − 3� = 0 � � − 3 = 0 � = 0 hoặc � − 3 = 0
� − 3 = 0, suy ra � = 3
Ta nhận thấy � = 0; � = 3 đều thỏa mãn điều kiện.
Vậy phương trình đã cho có nghiệm là � = 0 và � = 3.
Giáo án Powerpoint Bài tập cuối chương 1 Toán 9 Chân trời sáng tạo
184
92 lượt tải
MUA NGAY ĐỂ XEM TOÀN BỘ TÀI LIỆU
CÁCH MUA:
- B1: Gửi phí vào TK:
1053587071
- NGUYEN VAN DOAN - Ngân hàng Vietcombank (QR) - B2: Nhắn tin tới Zalo VietJack Official ( nhấn vào đây ) để xác nhận thanh toán và tải tài liệu - giáo án
Liên hệ ngay Hotline hỗ trợ: 084 283 45 85
Bộ bài giảng điện tử Toán 9 Chân trời sáng tạo đã cập nhật đủ Cả năm.
Để tải tài liệu gốc về máy bạn click vào nút Tải Xuống ở trên!
Thuộc bộ (mua theo bộ để tiết kiệm hơn):
- Bộ bài giảng điện tử Toán 9 Chân trời sáng tạo Học kì 1 năm 2024 mới, chuẩn nhất được thiết kế theo phong cách hiện đại, đẹp mắt, trình bày chi tiết cho từng bài học và bám sát chương trình Sách giáo khoa Toán 9 Chân trời sáng tạo.
- Mua trọn bộ sẽ tiết kiệm hơn tải lẻ 50%.
Đánh giá
4.6 / 5(184 )5
4
3
2
1

Trọng Bình
Tài liệu hay
Giúp ích cho tôi rất nhiều

Duy Trần
Tài liệu chuẩn
Rất thích tài liệu bên VJ soạn (bám sát chương trình dạy)