Dạng 3: Bài tập định luật ôm cho đoạn mạch có các điện trở mắc song song
Bài 1: Cho mạch điện có sơ đồ như hình bên . Hiệu điện thế U = 48V. Biết rằng:-
Khi khóa K1 đóng, khóa K2 mở thì ampe kế chỉ 2,4A - Khi khóa K1 mở, khóa K2
đóng thì ampe kế chỉ 5A Tính điện trở R1, R2? A. B. C. D.
Bài 2: Cho mạch điện có sơ đồ như hình bên . Hiệu điện thế UAB = 48V. Biết R1 =
16 , R2 = 24 . Khi mắc thêm điện trở R3 vào hai điểm C và D thì ampe kế chỉ 6A. Hãy tính điện trở R3? A. R3 = 16 B. R3 = 48 C. R3 = 24 D. R4 = 32
Bài 3: Một đoạn mạch gồm ba điện trở R1 = 9 , R2 = 18 và R3 = 24 được mắc vào
hiệu điện thế U = 3,6V như sơ đồ bên
Số chỉ của ampe kế A và A1 là: A. 0,5A và 0,4A B. 0,6A và 0,35A C. 0,75A và 0,6A D. 0,07A và 0,13A
Bài 4: Cho một hiệu điện thế U = 1,8V và hai điện trở R1, R2. Nếu mắc nối tiếp hai
điện trở vào hiệu điện thế U thì dòng điện đi qua chúng có cường độ I1 = 0,2A; nếu
mắc song song hai điện trở vào hiệu điện thế U thì dòng điện mạch chính có cường độ I2 = 0,9A. Tính R1, R2? A. R1 = 3 , R2 = 6 B. R1 = 2 , R2 = 4 C. R1 = 2 , R2 = 9 D. R1 = 3 , R2 = 9
Bài 5: Cho đoạn mạch gồm điện trở R1 mắc song song với điện trở R2 mắc vào
mạch điện. Gọi U, U1, U2 lần lượt là hiệu điện thế qua R1, R2. Biểu thức nào sau đây đúng? A. U = U1 = U2 B. U = U1 + U2 C. U ≠ U1 = U2 D. U1 ≠ U2
Bài 6: Phát biểu nào dưới đây không đúng đối với đoạn mạch gồm các điện trở mắc song song?
A. Cường độ dòng điện trong mạch chính bằng tổng cường độ dòng điện trong các mạch rẽ.
B. Hiệu điện thế giữa hai đầu đoạn mạch bằng tổng các hiệu điện thế giữa hai
đầu mỗi điện trở mắc trong đoạn mạch.
C. Hiệu điện thế giữa hai đầu đoạn mạch bằng hiệu điện thế giữa hai đầu mỗi
điện trở mắc trong đoạn mạch
D. Hiệu điện thế giữa hai đầu mỗi điện trở mắc trong đoạn mạch tỉ lệ thuận với điện trở đó.
Bài 7: Biểu thức nào sau đây xác định điện trở tương đương của đoạn mạch có hai
điện trở R1, R2 mắc song song? A. B. C. D.
Bài 8: Đặt một hiệu điện thế UAB vào hai đầu đoạn mạch gồm hai điện trở R1 và R2
mắc song song. Hiệu điện thế giữa hai đầu mỗi điện trở tương ứng là U1, U2. Hệ
thức nào sau đây là đúng? A. B. C. D.
Bài 9: Cho hai điện trở R1 = R2 = 20 . Được mắc như sơ đồ
Điện trở tương đương của đoạn mạch AC có giá trị là: A. 20 B. 40 C. 10 D. 80
Bài 10: Cho mạch điện có sơ đồ như hình bên trong đó điện trở R1 = 18 , R2 = 12 . Vôn kế chỉ 36V
Số chỉ của ampe kế A1 là:
A. 1,2A B. 3A C. 5A D. 2A
Bài 11: Cho mạch điện có sơ đồ như hình bên trong đó điện trở R1 = 15 , R2 = 10 . Ampe kế A1 chỉ 0,5A
Số chỉ của vôn kế là: A. 7,5V B. 5V C. 12,5V D. 3V
Bài 12: Cho mạch điện có sơ đồ như hình bên trong đó điện trở R1 = 52,5 . Vôn
kế chỉ 84V. Ampe kế A chỉ 4,2A. Điện trở R2 = ? A. 52,5 B. 32,3 C. 20 D. 21 LỜI GIẢI CHI TIẾT Bài 1:
- Khi khóa K1 đóng , khóa K2 mở thì ampe kế chỉ 2,4A
thì dòng điện chỉ đi qua điện trở R1
Trắc nghiệm Bài tập định luật Ôm cho đoạn mạch có các điện trở mắc song song Vật lí 9
560
280 lượt tải
MUA NGAY ĐỂ XEM TOÀN BỘ TÀI LIỆU
CÁCH MUA:
- B1: Gửi phí vào TK:
1053587071
- NGUYEN VAN DOAN - Ngân hàng Vietcombank (QR) - B2: Nhắn tin tới Zalo VietJack Official ( nhấn vào đây ) để xác nhận thanh toán và tải tài liệu - giáo án
Liên hệ ngay Hotline hỗ trợ: 084 283 45 85
Tài liệu được cập nhật liên tục trong gói này từ nay đến hết tháng 3/2024. Chúng tôi đảm bảo đủ số lượng đề đã cam kết hoặc có thể nhiều hơn, tất cả có BẢN WORD, LỜI GIẢI CHI TIẾT và tải về dễ dàng.
Để tải tài liệu gốc về máy bạn click vào nút Tải Xuống ở trên!
Thuộc bộ (mua theo bộ để tiết kiệm hơn):
- Tailieugiaovien.com.vn giới thiệu Bộ câu hỏi trắc nghiệm Vật lí 9 cả năm mới nhất nhằm giúp Giáo viên có thêm tài liệu tham khảo Trắc nghiệm Vật lí 9.
- File word có lời giải chi tiết 100%.
- Mua trọn bộ sẽ tiết kiệm hơn tải lẻ 50%.
Đánh giá
4.6 / 5(560 )5
4
3
2
1

Trọng Bình
Tài liệu hay
Giúp ích cho tôi rất nhiều

Duy Trần
Tài liệu chuẩn
Rất thích tài liệu bên VJ soạn (bám sát chương trình dạy)
TÀI LIỆU BỘ BÁN CHẠY MÔN Vật Lý
Xem thêmTÀI LIỆU BỘ BÁN CHẠY Lớp 9
Xem thêmTài liệu bộ mới nhất

Đây là bản xem thử, vui lòng mua tài liệu để xem chi tiết (có lời giải)
Dạng 3: Bài tập định luật ôm cho đoạn mạch có các điện trở mắc song song
Bài 1: Cho mạch điện có sơ đồ như hình bên . Hiệu điện thế U = 48V. Biết rằng:-
Khi khóa K
1
đóng, khóa K
2
mở thì ampe kế chỉ 2,4A - Khi khóa K
1
mở, khóa K
2
đóng thì ampe kế chỉ 5A
Tính điện trở R
1
, R
2
?
A. B.
C. D.
Bài 2: Cho mạch điện có sơ đồ như hình bên . Hiệu điện thế U
AB
= 48V. Biết R
1
=
16 , R
2
= 24 . Khi mắc thêm điện trở R
3
vào hai điểm C và D thì ampe kế chỉ 6A.
Hãy tính điện trở R
3
?
A. R
3
= 16 B. R
3
= 48
C. R
3
= 24 D. R
4
= 32
Bài 3: Một đoạn mạch gồm ba điện trở R
1
= 9 , R
2
= 18 và R
3
= 24 được mắc vào
hiệu điện thế U = 3,6V như sơ đồ bên
Mọi thắc mắc vui lòng xin vui lòng: 084 283 45 85

Đây là bản xem thử, vui lòng mua tài liệu để xem chi tiết (có lời giải)
Số chỉ của ampe kế A và A1 là:
A. 0,5A và 0,4A B. 0,6A và 0,35A
C. 0,75A và 0,6A D. 0,07A và 0,13A
Bài 4: Cho một hiệu điện thế U = 1,8V và hai điện trở R
1
, R
2
. Nếu mắc nối tiếp hai
điện trở vào hiệu điện thế U thì dòng điện đi qua chúng có cường độ I
1
= 0,2A; nếu
mắc song song hai điện trở vào hiệu điện thế U thì dòng điện mạch chính có cường
độ I
2
= 0,9A. Tính R
1
, R
2
?
A. R1 = 3 , R2 = 6 B. R1 = 2 , R2 = 4
C. R1 = 2 , R2 = 9 D. R1 = 3 , R2 = 9
Bài 5: Cho đoạn mạch gồm điện trở R
1
mắc song song với điện trở R
2
mắc vào
mạch điện. Gọi U, U
1
, U
2
lần lượt là hiệu điện thế qua R
1
, R
2
. Biểu thức nào sau đây
đúng?
A. U = U
1
= U
2
B. U = U
1
+ U
2
C. U ≠ U
1
= U
2
D. U
1
≠ U
2
Bài 6: Phát biểu nào dưới đây không đúng đối với đoạn mạch gồm các điện trở mắc
song song?
A. Cường độ dòng điện trong mạch chính bằng tổng cường độ dòng điện
trong các mạch rẽ.
B. Hiệu điện thế giữa hai đầu đoạn mạch bằng tổng các hiệu điện thế giữa hai
đầu mỗi điện trở mắc trong đoạn mạch.
C. Hiệu điện thế giữa hai đầu đoạn mạch bằng hiệu điện thế giữa hai đầu mỗi
điện trở mắc trong đoạn mạch
Mọi thắc mắc vui lòng xin vui lòng: 084 283 45 85

Đây là bản xem thử, vui lòng mua tài liệu để xem chi tiết (có lời giải)
D. Hiệu điện thế giữa hai đầu mỗi điện trở mắc trong đoạn mạch tỉ lệ thuận
với điện trở đó.
Bài 7: Biểu thức nào sau đây xác định điện trở tương đương của đoạn mạch có hai
điện trở R
1
, R
2
mắc song song?
A. B.
C. D.
Bài 8: Đặt một hiệu điện thế U
AB
vào hai đầu đoạn mạch gồm hai điện trở R
1
và R
2
mắc song song. Hiệu điện thế giữa hai đầu mỗi điện trở tương ứng là U
1
, U
2
. Hệ
thức nào sau đây là đúng?
A. B.
C. D.
Bài 9: Cho hai điện trở R1 = R2 = 20 . Được mắc như sơ đồ
Điện trở tương đương của đoạn mạch AC có giá trị là:
A. 20 B. 40
C. 10 D. 80
Bài 10: Cho mạch điện có sơ đồ như hình bên trong đó điện trở R
1
= 18 , R
2
= 12
. Vôn kế chỉ 36V
Số chỉ của ampe kế A
1
là:
Mọi thắc mắc vui lòng xin vui lòng: 084 283 45 85

Đây là bản xem thử, vui lòng mua tài liệu để xem chi tiết (có lời giải)
A. 1,2A B. 3A
C. 5A D. 2A
Bài 11: Cho mạch điện có sơ đồ như hình bên trong đó điện trở R
1
= 15 , R
2
= 10
. Ampe kế A
1
chỉ 0,5A
Số chỉ của vôn kế là:
A. 7,5V B. 5V
C. 12,5V D. 3V
Bài 12: Cho mạch điện có sơ đồ như hình bên trong đó điện trở R
1
= 52,5 . Vôn
kế chỉ 84V. Ampe kế A chỉ 4,2A. Điện trở R
2
= ?
A. 52,5 B. 32,3
C. 20 D. 21
LỜI GIẢI CHI TIẾT
Bài 1:
- Khi khóa K
1
đóng , khóa K
2
mở thì ampe kế chỉ 2,4A
thì dòng điện chỉ đi qua điện trở R
1
Mọi thắc mắc vui lòng xin vui lòng: 084 283 45 85

Đây là bản xem thử, vui lòng mua tài liệu để xem chi tiết (có lời giải)
Cho nên điện trở R
1
là
Đáp án: C
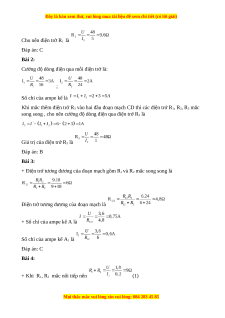
Bài 2:
Cường độ dòng điện qua mỗi điện trở là:
;
Số chỉ của ampe kế là
Khi mắc thêm điện trở R
3
vào hai đầu đoạn mạch CD thì các điện trở R
1
, R
2
, R
3
mắc
song song , cho nên cường độ dòng điện qua điện trở R
3
là
Giá trị của điện trở R
3
là
Đáp án: B
Bài 3:
+ Điện trở tương đương của đoạn mạch gồm R
1
và R
2
mắc song song là
Điện trở tương đương của đoạn mạch là
+ Số chỉ của ampe kế A là
Số chỉ của ampe kế A
1
là
Đáp án: C
Bài 4:
+ Khi R
1
, R
2
mắc nối tiếp nên (1)
Mọi thắc mắc vui lòng xin vui lòng: 084 283 45 85