Đề cương cuối học kì I
Môn Toán lớp 12 – Kết nối tri thức và cuộc sống I. NỘI DUNG ÔN TẬP
Chương I. Ứng dụng đạo hàm để khảo sát và vẽ đồ thị hàm số
Bài 1. Tính đơn điệu và cực trị của hàm số
- Tính đơn điệu của hàm số: Khái niệm, sử dụng bảng biến thiên xét tính đơn điệu của hàm số.
- Cực trị của hàm số: Khái niệm, cách tìm cực trị.
Bài 2. Giá trị lớn nhất và giá trị nhỏ nhất của hàm số
- Định nghĩa giá trị lớn nhất, giá trị nhỏ nhất.
- Cách tìm giá trị lớn nhất và giá trị nhỏ nhất của hàm số trên một đoạn.
Bài 3. Đường tiệm cận của đồ thị hàm số
- Đường tiệm cận ngang.
- Đường tiệm cận đứng.
- Đường tiệm cận xiên.
Bài 4. Khảo sát sự biến thiên và vẽ đồ thị của hàm số
- Sơ đồ khảo sát hàm số.
- Khảo sát và vẽ đồ thị hàm số đa thức bậc ba.
- Khảo sát và vẽ đồ thị hàm số phân thức hữu tỉ.
Bài 5. Ứng dụng đạo hàm để giải quyết một số vấn đề liên quan đến thực tiễn
- Tốc độ thay đổi của một đại lượng.
- Một vài bài toán tối ưu hóa đơn giản.
Chương II. Vectơ và hệ trục tọa độ trong không gian
Bài 6. Vectơ trong không gian
- Vectơ trong không gian: nhận biết vectơ trong không gian, khái niệm hai vectơ cùng phương,
cùng hướng, ngược hướng, hai vectơ bằng nhau.
- Tổng và hiệu của hai vectơ trong không gian.
- Tích của một số với một vectơ trong không gian.
- Tích vô hướng của hai vectơ trong không gian.
Bài 7. Hệ trục tọa độ trong không gian
- Hệ trục tọa độ trong không gian.
- Tọa độ của điểm, tọa độ của vectơ trong không gian.
Bài 8. Biểu thức tọa độ của các phép toán vectơ
- Biểu thức tọa độ của phép cộng hai vectơ, phép trừ hai vectơ, phép nhân một số với một vectơ.
- Biểu thức tọa độ của tích vô hướng.
- Vận dụng tọa độ của vectơ trong một số bài toán có liên quan đến thực tiễn.
Chương III. Các số đặc trưng đo mức độ phân tán của mẫu số liệu ghép nhóm
Bài 9. Khoảng biến thiên và khoảng tứ phân vị - Khoảng biến thiên. - Khoảng tứ phân vị.
Bài 10. Phương sai và độ lệch chuẩn
- Phương sai và độ lệch chuẩn.
- Sử dụng phương sai, độ lệch chuẩn đo độ rủi ro. II. BÀI TẬP ÔN LUYỆN A. TRẮC NGHIỆM
Chương I. Ứng dụng đạo hàm để khảo sát và vẽ đồ thị hàm số
Bài 1. Tính đơn điệu và cực trị của hàm số
Câu 1. Cho hàm số y f x có bảng biến thiên như sau
Hàm số đã cho nghịch biến trên khoảng nào dưới đây? A. 0;2. B. 0;. C. 2;0. D. 2;.
Câu 2. Cho hàm số y f x liên tục trên
và có bảng xét dấu của đạo hàm như hình vẽ.
Hàm số y f x có bao nhiêu điểm cực trị? A. 1. B. 2 . C. 3. D. 4 . Câu 3. Hỏi hàm số 3 5 4 3
y x 3x 4x 2 đồng biến trên khoảng nào? 5 A. ;0.
B. ; . C. 0;2 . D. 2; .
Câu 4. Giá trị cực tiểu của hàm số 4 2
y x 2x 5 là: A. 5. B. 4. C. 0. D. 1.
Câu 5. Biết đồ thị hàm số 3 2
y x 2x ax b có điểm cực trị là A1;3 . Khi đó giá trị của 4a b là: A. 1. B. 2. C. 3. D. 4. Câu 6. Cho hàm số 2 3
y 3x x . Xét tính đúng, sai của các mệnh đề sau
A. Hàm số đồng biến trên khoảng 0;2 .
B. Hàm số đồng biến trên các khoảng ;0 và 2;3.
C. Hàm số nghịch biến trên các khoảng ;0 và 2;3.
D. Đồ thị hàm số có hai cực trị. 2 Câu 7. Cho hàm số x 3x 3 y
có đồ thị C và A , B là hai điểm cực trị của C . Xét tính x 2
đúng, sai của các mệnh đề sau 2 A. x 4x 3 y . x 22
B. A và B nằm ở hai phía của trục tung.
C. Đường thẳng AB có phương trình là y 2x 1.
D. A và B đối xứng nhau qua đường thẳng có phương trình là x 2y 4 0 .
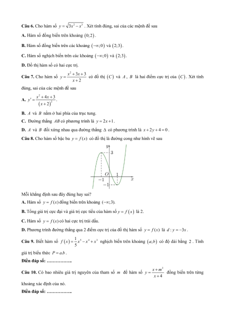
Câu 8. Cho hàm số bậc ba y f (x) có đồ thị là đường cong như hình vẽ sau
Mỗi khẳng định sau đây đúng hay sai?
A. Hàm số y f (x) đồng biến trên khoảng ( ; 3).
B. Tổng giá trị cực đại và giá trị cực tiểu của hàm số y f x là 2.
C. Hàm số y f (x) có hai cực trị trái dấu.
D. Phương trình đường thẳng qua 2 điểm cực trị của đồ thị hàm số y f (x) là d : y 3 x .
Câu 9. Biết hàm số f x 1 5 4 3
x x x nghịch biến trên khoảng a;b có độ dài bằng 2 . Tính 5
giá trị biểu thức P a.b .
Điền đáp số: ……………. 2
Câu 10. Có bao nhiêu giá trị nguyên của tham số m để hàm số x m y đồng biến trên từng x 4
khoảng xác định của nó.
Điền đáp số: …………….
Bài 2. Giá trị lớn nhất và giá trị nhỏ nhất của hàm số
Câu 1. Cho hàm số y f (x) liên tục trên đoạn 1;
3 và có đồ thị như hình vẽ bên.
Gọi M ,m lần lượt là giá trị lớn nhất và nhỏ nhất của hàm số đã cho trên đoạn 1; 3 . Giá trị của M m là A. 2. B. 6. C. 5. D. 2.
Câu 2. Trên đoạn 1;5 , hàm số 4
y x đạt giá trị nhỏ nhất tại điểm x A. x 5. B. x 2 . C. x 1. D. x 4 .
Câu 3. Giá trị lớn nhất của hàm số f x 3 2
x 8x 16x 9 trên đoạn 1; 3 là:
A. max f x 0 . B. f x 13 max . 1; 3 1; 3 27
C. max f x 6 .
D. max f x 5 . 1; 3 1; 3
Câu 4. Tìm giá trị nhỏ nhất của hàm số 2 3 x f x x e . 5 5 A. min e f x . B. min e f x . 2 2 C. 5 min f x e . D. Không tồn tại.
Câu 5. Hàm số y cos 2x 3 đạt giá trị nhỏ nhất trên đoạn 0; bằng: A. −4. B. −3. C. −2. D. 0.
Câu 6. Cho hàm số y f x log 2
x 3x 2 . Xét tính đúng, sai của các mệnh đề sau 2
A. Hàm số có giá trị lớn nhất trên khoảng 2; .
B. Hàm số luôn có giá trị lớn nhất và giá trị nhỏ nhất trên đoạn 1;0.
C. Trên đoạn 1;0 hàm số có giá trị nhỏ nhất bằng 1.
Đề cương ôn tập Cuối kì 1 Toán 12 Kết nối tri thức
1.8 K
0.9 K lượt tải
80.000 ₫
MUA NGAY ĐỂ XEM TOÀN BỘ TÀI LIỆU
CÁCH MUA:
- B1: Gửi phí vào TK:
1133836868- CT TNHH DAU TU VA DV GD VIETJACK - Ngân hàng MB (QR) - B2: Nhắn tin tới Zalo VietJack Official ( nhấn vào đây ) để xác nhận thanh toán và tải tài liệu - giáo án
Liên hệ ngay Hotline hỗ trợ: 084 283 45 85
Chúng tôi đảm bảo đủ số lượng đề đã cam kết hoặc có thể nhiều hơn, tất cả có BẢN WORD, LỜI GIẢI CHI TIẾT và tải về dễ dàng.
Để tải tài liệu gốc về máy bạn click vào nút Tải Xuống ở trên!
- Tailieugiaovien.com.vn giới thiệu bộ đề cương Cuối kì 1 Toán 12 Kết nối tri thức mới nhất nhằm giúp Giáo viên có thêm tài liệu tham khảo ra đề thi Toán 12.
- File word có lời giải chi tiết 100%.
- Mua trọn bộ sẽ tiết kiệm hơn tải lẻ 50%.
Đánh giá
4.6 / 5(1817 )5
4
3
2
1
Trọng Bình
Tài liệu hay
Giúp ích cho tôi rất nhiều
Duy Trần
Tài liệu chuẩn
Rất thích tài liệu bên VJ soạn (bám sát chương trình dạy)
