SỞ GIÁO DỤC VÀ ĐÀO TẠO
ĐỀ KIỂM TRA GIỮA HỌC KỲ I
THÀNH PHỐ HỒ CHÍ MINH
NĂM HỌC 2023 – 2024
TRƯỜNG THPT NGUYỄN THỊ MINH KHAI
MÔN TOÁN – KHỐI 11
Thời gian làm bài: 60 phút (không kể thời gian phát đề)
Họ và tên học sinh: ……………………………………………. Số báo danh: ………………………..
Bài 1. Giải các phương trình sau: a) ; (1 điểm) b) ; (1 điểm) c) ; (1 điểm) d) . (2 điểm)
Bài 2. (2 điểm) Chứng minh dãy số với
là cấp số cộng. Xác định công sai, số hạng đầu của .
Bài 3. (2 điểm) Tìm số hạng đầu và công sai của cấp số cộng biết: .
Bài 4. (1 điểm) Cho hai vật dao động điều hòa theo phương trình lần lượt là (cm) và (cm), trong đó
là li độ của hai vật tại thời điểm (giây).
Khi hai vật dao động trong thời gian từ 0 đến 10 giây, hỏi chúng có cùng li độ mấy lần?
----------HẾT----------
LỜI GIẢI CHI TIẾT
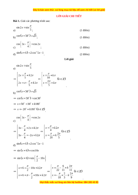
Bài 1. Giải các phương trình sau: a) ; (1 điểm) b) ; (1 điểm) c) ; (1 điểm) d) . (2 điểm) Lời giải a) . b) . c) . d) .
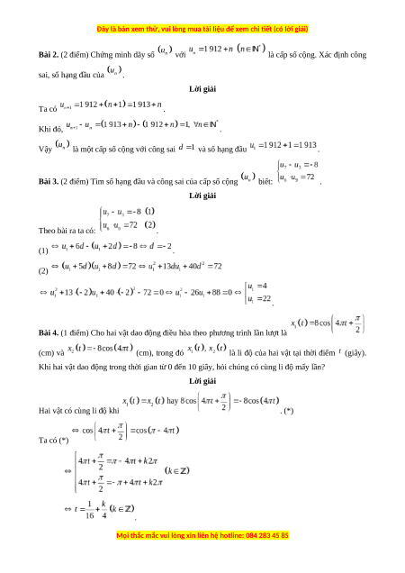
Bài 2. (2 điểm) Chứng minh dãy số với
là cấp số cộng. Xác định công sai, số hạng đầu của . Lời giải Ta có . Khi đó, . Vậy
là một cấp số cộng với công sai và số hạng đầu .
Bài 3. (2 điểm) Tìm số hạng đầu và công sai của cấp số cộng biết: . Lời giải Theo bài ra ta có: . (1) . (2) .
Bài 4. (1 điểm) Cho hai vật dao động điều hòa theo phương trình lần lượt là (cm) và (cm), trong đó
là li độ của hai vật tại thời điểm (giây).
Khi hai vật dao động trong thời gian từ 0 đến 10 giây, hỏi chúng có cùng li độ mấy lần? Lời giải
Hai vật có cùng li độ khi . (*) Ta có (*) .
Đề thi giữa kì 1 Toán 11 trường THPT Nguyễn Thị Minh Khai - TP Hồ Chí Minh năm 2023-2024
395
198 lượt tải
MUA NGAY ĐỂ XEM TOÀN BỘ TÀI LIỆU
CÁCH MUA:
- B1: Gửi phí vào TK:
1053587071
- NGUYEN VAN DOAN - Ngân hàng Vietcombank (QR) - B2: Nhắn tin tới Zalo VietJack Official ( nhấn vào đây ) để xác nhận thanh toán và tải tài liệu - giáo án
Liên hệ ngay Hotline hỗ trợ: 084 283 45 85
Chúng tôi đảm bảo đủ số lượng đề đã cam kết hoặc có thể nhiều hơn, tất cả có BẢN WORD, LỜI GIẢI CHI TIẾT và tải về dễ dàng.
Để tải tài liệu gốc về máy bạn click vào nút Tải Xuống ở trên!
Thuộc bộ (mua theo bộ để tiết kiệm hơn):
- Tailieugiaovien.com.vn giới thiệu bộ 9 đề giữa kì 1 gồm đầy đủ lời giải chi tiết (tặng kèm 10 đề Gk1 của 1 bộ sách mà Giáo viên đang giảng dạy) Toán 11 TP Hồ Chí Minh mới nhất năm 2023-2024 nhằm giúp Giáo viên có thêm tài liệu tham khảo ra đề thi Toán lớp 11.
- File word có lời giải chi tiết 100%.
- Mua trọn bộ sẽ tiết kiệm hơn tải lẻ 50%.
Đánh giá
4.6 / 5(395 )5
4
3
2
1

Trọng Bình
Tài liệu hay
Giúp ích cho tôi rất nhiều

Duy Trần
Tài liệu chuẩn
Rất thích tài liệu bên VJ soạn (bám sát chương trình dạy)