Đề 56
Bài 1.Phân tích đa thức thành nhân tử : 2
a)x 3x xy 3y 2 2
b)x y 2xy 25
Bài 2. Sắp xếp và thực hiện phép chia : 4 3 2
x x x x 2 3 4 2 2 8 : x 2 Bài 3.Tìm x, biết :
a x x x x x 2 2 ) 3 3 9 2 2 7 b) x
1 x 5 3 0
Bài 4. Cho hình chữ nhật ABCD có O là giao điểm của hai đường chéo. Lấy một
điểm E nằm giữa hai điểm O, .
B Gọi F là điểm đối xứng với điểm Aqua E và I là trung điểm của CF
a) Chứng minh tứ giác OEFC là hình thang và tứ giác OEIC là hình bình hành
b) Gọi H và K lần lượt là hình chiếu của F trên các đường thẳng BC,CD
Chứng minh tứ giác CHFK là hình chữ nhật
c) Chứng minh bốn điểm E, H , I , K thẳng hàng. 2 2
Bài 5. Tìm giá trị lớn nhất của biểu thức : A 2x 10y 4xy 4x 4y 2013 Lời giải
Bài 1.Phân tích đa thức thành nhân tử : 2
a)x 3x xy 3y
x x 3 y x 3
x 3 x y 2 2
b)x y 2xy 25 2 2
x 2xy y 25
x y 2 2 5
x y 5 x y 5
Bài 2. Ta thực hiện phép chia theo cột dọc, được thương: 2 3x 2x 4 Bài 3.Tìm x, biết :
a) x 3 x 3x 9 x x 22 2 27 3
x 27 x 2
x 4x 4 27 x 0 3 3 2
x x 4x 4x 0
4x x 1 0 x 1
b) x 1 x 5 2 3 0
x 6x 5 3 0 2 2 x 6x 8 0
x 4x 2x 8 0 x 4
x x 4 2 x 4 0
x 4 x 2 0 x 2 Bài 4. A B E F O H I C K D
a) Ta có : EA EF (tính chất đối xứng), OA O
C (tính chất hình chữ nhật)
OE là đường trung bình ACF
OE / /CF. Do đó OECF là hình thang 1 OE CF Ta có 2
(tính chất đường trung bình), mà I là trung điểm CF gt Nên OE C
I mà OE / /CI OEIC là hình bình hành
b) Ta có FH BC hay FHC 9 0 ; H CK 90 ; F KC 90 gt
Do đó CHFK là hình chữ nhật (có 3 góc vuông), I là trung điểm của đường chéo
CF(gt) I cũng là trung điểm của HK c) Ta có H
IC cân nên C H 1 1 Tương tự C OB cân nên B C 1 2 Mà OE / /CF B C C H HI / / AC 1 1 (so le trong) 2 1
Lại có EI / /OC (vì OEIC là hình bình hành) EI, HI phải trùng nhau hay 3
điểm E, H , I thẳng hàng. Do đó E, H , I, K thẳng hàng. Bài 5.
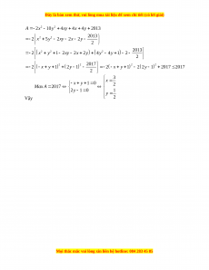
2 2
A 2x 10y 4xy 4x 4 y 2013 2013 2 2 2 x 5y 2xy 2x 2y 2 2 2 x y xy x y 2 y y 2013 2 1 2 2 2 4 4 1 2 2 2017 2 x y 2 1 2y 2 1
2 x y 2 1 2 2y 2 1 2017 2017 2 3 1 0 x x y 2 Max A 2 017 2y 1 0 1 y Vậy 2
Đề thi giữa kì 1 Toán 8 năm 2023 - Đề 56
437
219 lượt tải
MUA NGAY ĐỂ XEM TOÀN BỘ TÀI LIỆU
CÁCH MUA:
- B1: Gửi phí vào TK:
1053587071
- NGUYEN VAN DOAN - Ngân hàng Vietcombank (QR) - B2: Nhắn tin tới Zalo VietJack Official ( nhấn vào đây ) để xác nhận thanh toán và tải tài liệu - giáo án
Liên hệ ngay Hotline hỗ trợ: 084 283 45 85
Đề thi được cập nhật liên tục trong gói này từ nay đến hết tháng 6/2023. Chúng tôi đảm bảo đủ số lượng đề đã cam kết hoặc có thể nhiều hơn, tất cả có BẢN WORD, LỜI GIẢI CHI TIẾT và tải về dễ dàng.
Để tải tài liệu gốc về máy bạn click vào nút Tải Xuống ở trên!
Thuộc bộ (mua theo bộ để tiết kiệm hơn):
- Tailieugiaovien.com.vn giới thiệu bộ 100 đề thi giữa học kì 1 môn Toán lớp 8 mới nhất năm 2022 - 2023 nhằm giúp Giáo viên có thêm tài liệu tham khảo ra đề thi Toán lớp 10.
- File word có lời giải chi tiết 100%.
- Mua trọn bộ sẽ tiết kiệm hơn tải lẻ 50%.
Đánh giá
4.6 / 5(437 )5
4
3
2
1

Trọng Bình
Tài liệu hay
Giúp ích cho tôi rất nhiều

Duy Trần
Tài liệu chuẩn
Rất thích tài liệu bên VJ soạn (bám sát chương trình dạy)
TÀI LIỆU BỘ BÁN CHẠY MÔN Toán Học
Xem thêmTÀI LIỆU BỘ BÁN CHẠY Lớp 8
Xem thêmTài liệu bộ mới nhất

Đây là bản xem thử, vui lòng mua tài liệu để xem chi tiết (có lời giải)
Đề 56
Bài 1.Phân tích đa thức thành nhân tử :
2
2 2
) 3 3
) 2 25
a x x xy y
b x y xy
Bài 2. Sắp xếp và thực hiện phép chia :
4 3 2 2
3 4 2 2 8 : 2x x x x x
Bài 3.Tìm x, biết :
2
2
) 3 3 9 2 27
) 1 5 3 0
a x x x x x
b x x
Bài 4. Cho hình chữ nhật
ABCD
có
O
là giao điểm của hai đường chéo. Lấy một
điểm
E
nằm giữa hai điểm
, .O B
Gọi
F
là điểm đối xứng với điểm
A
qua
E
và
I
là
trung điểm của
CF
a) Chứng minh tứ giác
OEFC
là hình thang và tứ giác
OEIC
là hình bình hành
b) Gọi
H
và
K
lần lượt là hình chiếu của
F
trên các đường thẳng
,BC CD
Chứng minh tứ giác
CHFK
là hình chữ nhật
c) Chứng minh bốn điểm
, , ,E H I K
thẳng hàng.
Bài 5. Tìm giá trị lớn nhất của biểu thức :
2 2
2 10 4 4 4 2013A x y xy x y
Lời giải
Bài 1.Phân tích đa thức thành nhân tử :
2
2 2 2 2
2
2
) 3 3
3 3 3
) 2 25 2 25
5 5 5
a x x xy y
x x y x x x y
b x y xy x xy y
x y x y x y
Bài 2. Ta thực hiện phép chia theo cột dọc, được thương:
2
3 2 4x x
Bài 3.Tìm x, biết :
2
2
3 2
3 3 2
) 3 3 9 2 27
27 4 4 27
0
4 4 0 4 1 0
1
a x x x x x
x x x x
x
x x x x x x
x
Mọi thắc mắc vui lòng xin liên hệ hotline: 084 283 45 85

Đây là bản xem thử, vui lòng mua tài liệu để xem chi tiết (có lời giải)
2
2 2
) 1 5 3 0 6 5 3 0
6 8 0 4 2 8 0
4
4 2 4 0 4 2 0
2
b x x x x
x x x x x
x
x x x x x
x
Bài 4.
K
H
I
F
O
C
A
D
B
E
a) Ta có :
EA EF
(tính chất đối xứng),
OA OC
(tính chất hình chữ nhật)
OE
là đường trung bình
/ / .ACF OE CF
Do đó
OECF
là hình thang
Ta có
1
2
OE CF
(tính chất đường trung bình), mà
I
là trung điểm
CF gt
Nên
OE CI
mà
/ /OE CI OEIC
là hình bình hành
b) Ta có
FH BC
hay
90FHC
;
90 ; 90HCK FKC gt
Do đó
CHFK
là hình chữ nhật (có 3 góc vuông),
I
là trung điểm của đường chéo
( )CF gt
I
cũng là trung điểm của
HK
c) Ta có
HIC
cân nên
1 1
C H
Tương tự
COB
cân nên
1 2
B C
Mà
1 1
/ /OE CF B C
(so le trong)
2 1
/ /C H HI AC
Lại có
/ /EI OC
(vì
OEIC
là hình bình hành)
,EI HI
phải trùng nhau hay 3
điểm
, ,E H I
thẳng hàng. Do đó
, , ,E H I K
thẳng hàng.
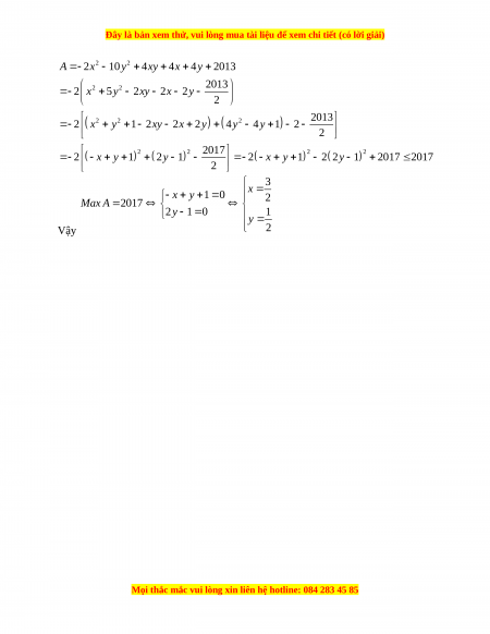
Bài 5.
Mọi thắc mắc vui lòng xin liên hệ hotline: 084 283 45 85

Đây là bản xem thử, vui lòng mua tài liệu để xem chi tiết (có lời giải)
2 2
2 2
2 2 2
2 2 2 2
2 10 4 4 4 2013
2013
2 5 2 2 2
2
2013
2 1 2 2 2 4 4 1 2
2
2017
2 1 2 1 2 1 2 2 1 2017 2017
2
A x y xy x y
x y xy x y
x y xy x y y y
x y y x y y
Vậy
3
1 0
2
2017
2 1 0 1
2
x
x y
Max A
y
y
Mọi thắc mắc vui lòng xin liên hệ hotline: 084 283 45 85