Đề 92
Bài 1.Phân tích các đa thức sau thành nhân tử :
a)a a c a b abc b) x 2 3 2 2 2 2 1 4x 2 2 2
c)x 10x 9y 25
d )4x 36x 56 Bài 2.Tìm x, biết :
a) 3x 42 3x 1 3x 2 1 4 9
b)x 4x 4 9 x 2 c)x 25 3 x 15 d) x 3 1 3 x 2 2 1 2
x 2x 4 x 2
Bài 3.Thực hiện phép chia : a) 3 2 2 4 3
10x y 5x y 25x y : 5xy
b) 15 x y5 9 x y4 12 y x2
: y x 2 c) 3 3
27x y : 3x y d) 4 3 2
15x 4x 11x 14x 8 : 2
5x 3x 2 Bài 4.Cho AB
C vuông tại A. AH BC H BC .Điểm E đối xứng với H qua
AB,điểm F đối xứng với H qua AC, AB cắt EH tại M. AC cắt HF tại N
a) Tứ giác AMHN là hình gì ? Vì sao ?
b) Chứng minh E đối xứng với F qua A
c) Kẻ trung tuyến AI của AB
C.Chứng minh AI MN 3 A
Bài 5. Tìm GTLN của 2 2x 2x 3 Lời giải
Bài 1.Phân tích đa thức thành nhân tử : 3 2 2 2
a)a a c a b abc a
a c ab a c a
a b a c b) x 2 1 4x x 2 1 2x2 2 2 2
x 2x
1 x 2x 1 x 2 1 x 2 2 2 1 2 2
c)x 10x 9 y 25 2
x 10x 25 2 9 y
x 5 2 3y 2
x 5 3y x 5 3y 2
d )4x 36x 56 4 2
x 9x 14 4 2
x 2x 7x 14 4
x x 2 7 x 2 4
x 2 x 7
Bài 2.Tìm x, biết :
a) 3x 42 3x 1 3x 1 49 2 2 4
9x 24x 16 9x 1 49
24x 32 x 3 x 2 2
b)x 4x 4 9
x 2 x 2 x 2 9 0 x 11 2 c)x 25 3
x 15 x 5 x 5 3 x 5 x 5
x 5 x 5 3 0 x 2 d) x 3 1 3 x 2 1 2
x 2x 4 x 2 3 2 2 3
x 3x 3x 1 3x 6x 3 x 8 10
9x 10 x 9
Bài 3.Thực hiện phép chia : a) 1 3 2 2 4 3
10x y 5x y x y : 5xy 2 3 2
2x xy x y 5
b) 15 x y5 9 x y4 12 y x2
: x y2 1
5 x y3 9 x y 2 12 c) 3 3
27x y : 3x y
3x y 2 2
9x 3xy y : 3x y 2 2 9
x 3xy y
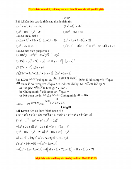
a) Ta đặt chia cột dọc , được thương: 2 3x x 4 Bài 4.
F A N E M H I C B
a)HE AB, HF AC, B AC 9
0 AMHN là hình chữ nhật
b) Dễ dàng chứng minh được E MA H M ; A N AH N AF E AM M AH
BAH HAC EAM NAF 9 0 H AN N AF E, ,
A F thẳng hàng. Mà M AH NH A EM A ANF
Khi đó EA FA hay E đối xứng với F qua A
c) AI là đường trung tuyến của A BC vuông tại A Khi đó AI B I C I ; I BA B
AI ;MHA∽ H BA Nên I BA M HA M EA . Ta lại có : M EA EA M 9 0 EA M BA I E AI 9 0
Hay AI EF AI MN (do MN / /EF ) Bài 5. 2 3 1 5 2 2
2x 2x 3 2 x x 2 x 2 2 2 3 6 1 Max A x 5 5 2 2
Đề thi giữa kì 1 Toán 8 năm 2023 - Đề 92
554
277 lượt tải
MUA NGAY ĐỂ XEM TOÀN BỘ TÀI LIỆU
CÁCH MUA:
- B1: Gửi phí vào TK:
1053587071
- NGUYEN VAN DOAN - Ngân hàng Vietcombank (QR) - B2: Nhắn tin tới Zalo VietJack Official ( nhấn vào đây ) để xác nhận thanh toán và tải tài liệu - giáo án
Liên hệ ngay Hotline hỗ trợ: 084 283 45 85
Đề thi được cập nhật liên tục trong gói này từ nay đến hết tháng 6/2023. Chúng tôi đảm bảo đủ số lượng đề đã cam kết hoặc có thể nhiều hơn, tất cả có BẢN WORD, LỜI GIẢI CHI TIẾT và tải về dễ dàng.
Để tải tài liệu gốc về máy bạn click vào nút Tải Xuống ở trên!
Thuộc bộ (mua theo bộ để tiết kiệm hơn):
- Tailieugiaovien.com.vn giới thiệu bộ 100 đề thi giữa học kì 1 môn Toán lớp 8 mới nhất năm 2022 - 2023 nhằm giúp Giáo viên có thêm tài liệu tham khảo ra đề thi Toán lớp 10.
- File word có lời giải chi tiết 100%.
- Mua trọn bộ sẽ tiết kiệm hơn tải lẻ 50%.
Đánh giá
4.6 / 5(554 )5
4
3
2
1

Trọng Bình
Tài liệu hay
Giúp ích cho tôi rất nhiều

Duy Trần
Tài liệu chuẩn
Rất thích tài liệu bên VJ soạn (bám sát chương trình dạy)
TÀI LIỆU BỘ BÁN CHẠY MÔN Toán Học
Xem thêmTÀI LIỆU BỘ BÁN CHẠY Lớp 8
Xem thêmTài liệu bộ mới nhất

Đây là bản xem thử, vui lòng mua tài liệu để xem chi tiết (có lời giải)
Đề 92
Bài 1.Phân tích các đa thức sau thành nhân tử :
2
3 2 2 2 2
2 2 2
) ) 1 4
) 10 9 25 )4 36 56
a a a c a b abc b x x
c x x y d x x
Bài 2.Tìm x, biết :
2
2
3 2
2 2
) 3 4 3 1 3 1 49 ) 4 4 9 2
) 25 3 15 ) 1 3 1 2 4 2
a x x x b x x x
c x x d x x x x x
Bài 3.Thực hiện phép chia :
3 2 2 4 3
5 4 2 2
3 3
4 3 2 2
) 10 5 25 : 5
) 15 9 12 :
) 27 : 3
) 15 4 11 14 8 : 5 3 2
a x y x y x y xy
b x y x y y x y x
c x y x y
d x x x x x x
Bài 4.Cho
ABC
vuông tại A.
.AH BC H BC
Điểm E đối xứng với
H
qua
,AB
điểm
F
đối xứng với
H
qua AC,
AB
cắt
EH
tại M.
AC
cắt
HF
tại N
a) Tứ giác
AMHN
là hình gì ? Vì sao ?
b) Chứng minh
E
đối xứng với
F
qua
A
c) Kẻ trung tuyến
AI
của
.ABC
Chứng minh
AI MN
Bài 5. Tìm
GTLN
của
2
3
2 2 3
A
x x
Lời giải
Bài 1.Phân tích đa thức thành nhân tử :
3 2 2 2
2 2
2
2 2 2
2 2
2 2
)
) 1 4 1 2
2 1 2 1 1 1
a a a c a b abc a a c ab a c a a b a c
b x x x x
x x x x x x
2 2 2 2
2 2
2 2
2
) 10 9 25 10 25 9
5 3 5 3 5 3
)4 36 56 4 9 14
4 2 7 14 4 2 7 2 4 2 7
c x x y x x y
x y x y x y
d x x x x
x x x x x x x x
Mọi thắc mắc vui lòng xin liên hệ hotline: 084 283 45 85

Đây là bản xem thử, vui lòng mua tài liệu để xem chi tiết (có lời giải)
Bài 2.Tìm x, biết :
2
2 2
2
) 3 4 3 1 3 1 49
4
9 24 16 9 1 49 24 32
3
2
) 4 4 9 2 2 2 9 0
11
a x x x
x x x x x
x
b x x x x x
x
2
3 2
2
3 2 2 3
) 25 3 15 5 5 3 5
5
5 5 3 0
2
) 1 3 1 2 4 2
3 3 1 3 6 3 8
10
9 10
9
c x x x x x
x
x x
x
d x x x x x
x x x x x x
x x
Bài 3.Thực hiện phép chia :
3 2 2 4 3 2 3 2
5 4 2 2
3 2
3 3 2 2
2 2
1
) 10 5 : 5 2
5
) 15 9 12 :
15 9 12
) 27 : 3 3 9 3 : 3
9 3
a x y x y x y xy x xy x y
b x y x y y x x y
x y x y
c x y x y x y x xy y x y
x xy y
a) Ta đặt chia cột dọc , được thương:
2
3 4x x
Bài 4.
Mọi thắc mắc vui lòng xin liên hệ hotline: 084 283 45 85

Đây là bản xem thử, vui lòng mua tài liệu để xem chi tiết (có lời giải)
I
F
N
E
M
H
A
B
C
) , , 90a HE AB HF AC BAC AMHN
là hình chữ nhật
b) Dễ dàng chứng minh được
;EMA HMA NAH NAF
90
EAM MAH
BAH HAC EAM NAF
HAN NAF
, ,E A F
thẳng hàng. Mà
MAH NHA EMA ANF
Khi đó
EA FA
hay E đối xứng với F qua A
c) AI là đường trung tuyến của
ABC
vuông tại A
Khi đó
;AI BI CI IBA BAI
;
MHA HBA ∽
Nên
IBA MHA MEA
. Ta lại có :
90 90MEA EAM EAM BAI EAI
Hay
( / / )AI EF AI MN do MN EF
Bài 5.
2
2 2
3 1 5
2 2 3 2 2
2 2 2
3 6 1
5
5 2
2
x x x x x
Max A x
Mọi thắc mắc vui lòng xin liên hệ hotline: 084 283 45 85

Đây là bản xem thử, vui lòng mua tài liệu để xem chi tiết (có lời giải)
Mọi thắc mắc vui lòng xin liên hệ hotline: 084 283 45 85

Đây là bản xem thử, vui lòng mua tài liệu để xem chi tiết (có lời giải)
Mọi thắc mắc vui lòng xin liên hệ hotline: 084 283 45 85