UBND QUẬN HAI BÀ TRƯNG
ĐỀ KIỂM TRA CHẤT LƯỢNG HỌC KÌ I
PHÒNG GIÁO DỤC VÀ ĐÀO TẠO MÔN: TOÁN – Lớp 9 ĐỀ CHÍNH THỨC
Thời gian làm bài: 90 phút; không kể thời gian phát đề Mục tiêu:
+) Đề thi gồm 6 câu hỏi trắc nghiệm và 5 bài tập tự luận với đầy đủ kiến thức đã học trong chương
trình HK1 môn Toán lớp 9. Các bài tập ở các mức độ từ NB – TH – VD và VDC.
+) Đề thi giúp các em có thể ôn tập và kiểm tra lại kiến thức đã được học trong học kì vừa qua.
Bài 1 (VD): (2,0 điểm) 1) Thực hiện phép tính: a) b)
2) Một cột cờ vuông góc với mặt đất có bóng dài 12m, tia nắng của mặt trời tạo với mặt đất một góc là
(hình vẽ bên). Tính chiều cao của cột cờ.
Bài 2 (VD): (2,0 điểm) Cho các biểu thức ; (với )
a) Tính giá trị của biểu thức A khi . b) Rút gọn B.
c) Tìm các giá trị nguyên của x để biểu thức
có giá trị là số nguyên
Bài 3 (VD): (2,0 điểm) Cho hàm số bậc nhất có đồ thị (m là tham số và ) a) Vẽ khi .
b) Xác định m để đường thẳng
song song với đường thẳng . Trang 1
c) Xác định m để
cắt hai trục Ox, Oy tại A và B sao cho tam giác AOB có diện tích bằng 2 (đơn vị diện tích).
Bài 4 (VD): (3,5 điểm)
Cho nửa đường tròn tâm O, đường kính
. Trên nửa mặt phẳng có bờ là AB chứa nửa đường tròn,
vẽ tiếp tuyến Ax, By. Từ điểm M tùy ý thuộc đường tròn (M khác A, B) vẽ tiếp tuyến tại M cắt Ax, By lần
lượt tại C, D. Gọi E là giao điểm của CO và AM, F là giao điểm của DO và BM.
a) Chứng minh 4 điểm A, C, M, O cùng thuộc một đường tròn. b) Chứng minh
và tứ giác MEOF là hình chữ nhật.
c) Chứng minh tích AC.BD không đổi khi M di động trên nửa đường tròn.
d) Tìm vị trí của M trên nửa đường tròn sao cho diện tích tứ giác ABDC nhỏ nhất.
Bài 5 (VDC): (0,5 điểm)
Tìm giá trị lớn nhất của biểu thức: . Trang 2
LỜI GIẢI CHI TIẾT Bài 1: Phương pháp
1) a) Sử dụng công thức đưa thừa số ra ngoài dấu căn: Với ta có:
b) Sử dụng hằng đẳng thức
và trục căn thức ở mẫu:
2) Sử dụng quan hệ giữa cạnh và góc trong tam giác.
Trong tam giác vuông, cạnh góc vuông này bằng cạnh góc vuông còn lại nhân tan góc đối. Cách giải
1) Thực hiện phép tính: a) b)
2) Một cột cờ vuông góc với mặt đất có bóng dài 12m, tia nắng của mặt trời tạo với mặt đất một góc là
(hình vẽ bên). Tính chiều cao của cột cờ.
Ta đưa về bài toán. Cho tam giác ABC vuông tại A có , . Tính AB.
Chiều cao cột cờ là AB. Do
vuông tại A nên ta có: Trang 3
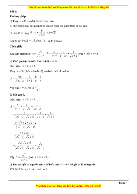
Bài 2: Phương pháp a) Thay
(tmđk) vào rồi tính toán.
b) Quy đồng mẫu các phân thức sau đó cộng các phân thức để rút gọn. c) Đưa P về dạng . Khi đó để từ đó tìm ra x. Cách giải:
Cho các biểu thức ; (với )
a) Tính giá trị của biểu thức A khi . Điều kiện: . Thay
(thỏa mãn đkxđ) vào biểu thức A ta được: Vậy với thì .
b) Rút gọn B. Điều kiện: . Vậy (với ).
c) Tìm các giá trị nguyên của x để biểu thức
có giá trị là số nguyên Với ĐKXĐ: và ta có: Trang 4
Đề thi học kì Toán 9 năm 2023 Quận Hai Bà Trưng
CÁCH MUA:
- B1: Gửi phí vào TK:
1053587071
- NGUYEN VAN DOAN - Ngân hàng Vietcombank (QR) - B2: Nhắn tin tới Zalo VietJack Official ( nhấn vào đây ) để xác nhận thanh toán và tải tài liệu - giáo án
Liên hệ ngay Hotline hỗ trợ: 084 283 45 85
Đề thi được cập nhật liên tục trong gói này từ nay đến hết tháng 6/2023. Chúng tôi đảm bảo đủ số lượng đề đã cam kết hoặc có thể nhiều hơn, tất cả có BẢN WORD, LỜI GIẢI CHI TIẾT và tải về dễ dàng.
Để tải tài liệu gốc về máy bạn click vào nút Tải Xuống ở trên!
Thuộc bộ (mua theo bộ để tiết kiệm hơn):
- Bộ 14 Đề thi học kì Toán 9 năm 2023 chọn lọc từ các trường bản word có lời giải chi tiết:
+ Đề thi học kì 1 Toán 8 năm 2023 Sở GD và ĐT An Giang;
+ Đề thi học kì 1 Toán 8 năm 2023 Sở GD và ĐT Thừa Thiên Huế;
+ Đề thi học kì 1 Toán 8 năm 2023 Sở GD và ĐT Nam Định;
...............................
- Mua trọn bộ sẽ tiết kiệm hơn tải lẻ 50%.
Đánh giá
4.6 / 5(697 )
Trọng Bình
Giúp ích cho tôi rất nhiều

Duy Trần
Rất thích tài liệu bên VJ soạn (bám sát chương trình dạy)
TÀI LIỆU BỘ BÁN CHẠY MÔN Toán Học
Xem thêmTÀI LIỆU BỘ BÁN CHẠY Lớp 9
Xem thêmTài liệu bộ mới nhất




